Find Your Style
Women
Men
Accessories
Search for clothing, brands, styles...
×
Women
Men
Accessories
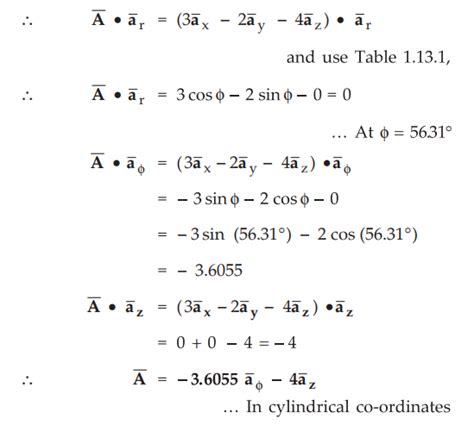
Euclidean Unit Vectors
Search
Loading...
No suggestions found
the standard unit vectors in a three-dimensional Euclidean space
scoop.eduncle.com
Matrices and vectors math for AI with Python examples - DataChild
datachild.net
Objectives_template
archive.nptel.ac.in
Objectives_template
archive.nptel.ac.in
Representation of a Vector
eee.poriyaan.in
Cylindrical Co-ordinate System - represent field vectors, Solved ...
eee.poriyaan.in
Spherical Co-ordinate System - represent field vectors, Solved Example ...
eee.poriyaan.in
Cartesian Co-ordinate System - represent field vectors, Solved Example ...
eee.poriyaan.in
Objectives_template
archive.nptel.ac.in
Transformation of Vectors - from one coordinate system to other
eee.poriyaan.in
Let i^,j^ and k^ denote the standard unit vectors in R³ along the x ...
brainly.in
Scalar or Dot Product of Vectors - Properties, Applications, Solved ...
eee.poriyaan.in
Electric Field due to Charged Circular - Solved Example Problems
eee.poriyaan.in
Electric Field due to Charged Circular - Solved Example Problems
eee.poriyaan.in
Find the unit vector in the direction of sum of vectors
esaral.com
Electric Field Intensity - Statement, Definition, Formula, Steps to ...
eee.poriyaan.in
The x-y plane is the boundary between two transparent media. Medium-1 ...
tardigrade.in
Gram-Schmidt Orthogonalisation Process
archive.nptel.ac.in
Oblique Incidence of Uniform Plane Waves - Electromagnetic Waves
eee.poriyaan.in
Types of Integral Related to Electromagnetic Theory - Line, Surface, Volume
eee.poriyaan.in
For a particle describing circular motion, the position is (r, θ ) then ...
tardigrade.in
Cylindrical Co-ordinate System - represent field vectors, Solved ...
eee.poriyaan.in
Cartesian Co-ordinate System - represent field vectors, Solved Example ...
eee.poriyaan.in
Gram-Schmidt Orthogonalisation Process
archive.nptel.ac.in
Electric Field due to Infinite Line Charge - Solved Example Problems
eee.poriyaan.in
Vectors Chapter Notes - Mathematics for Grade 10 PDF Download
edurev.in
Vector or Cross Product of Vectors - Properties, Applications, Solved ...
eee.poriyaan.in
find a unit vector in direction of the resultant of vectors A=2i-3j+k ...
brainly.in
If veca and veca are two unit vectors and θ is the angle between them ...
tardigrade.in
An Electric Dipole
eee.poriyaan.in
RESOLUTION OF VECTORS
edu.keralites.in
Gauss Law or Gauss Theorem : Solid Angle and Electric Flux|Chemistry Page
chemistrypage.in
identify the unit vector in the following - Brainly.in
brainly.in
Oblique Incidence of Uniform Plane Waves - Electromagnetic Waves
eee.poriyaan.in
Q1 For given vectors i+j+kand b=î-2j+k find a unit vector in the ...
brainly.in
The x-y plane is the boundary between two transparent media. Medium-1 ...
tardigrade.in
Oblique Incidence of Uniform Plane Waves - Electromagnetic Waves
eee.poriyaan.in
Biot-Savart Law - Definition, Equation, Solved Example Problems
eee.poriyaan.in
Find a unit vector in the direction of the vector:
esaral.com
write the unit vector in the direction of any vector A - Brainly.in
brainly.in
Representation of a Vector
eee.poriyaan.in
Potential Gradient - Electrostatics
eee.poriyaan.in
Oblique Incidence of Uniform Plane Waves - Electromagnetic Waves
eee.poriyaan.in
Angle Between Two Vectors- Meaning, Formula, Examples
adda247.com
what is a unit vector in the direction of the vector A=4i+3j. - Brainly.in
brainly.in
Gram-Schmidt Orthogonalisation Process
archive.nptel.ac.in
If a question asks find the unit vector in direction of vector of 2i+3j ...
brainly.in
Resolution of Vector Addition and Subtraction Using Component | AESL
aakash.ac.in
Fig 1.9 : Unit Vectors in Cartesian and Cylindrical Coordinates
archive.nptel.ac.in
Electric Field due to Charged Circular - Solved Example Problems
eee.poriyaan.in
If A, B and C represent unit vectors in each case, which vector ...
brainly.in
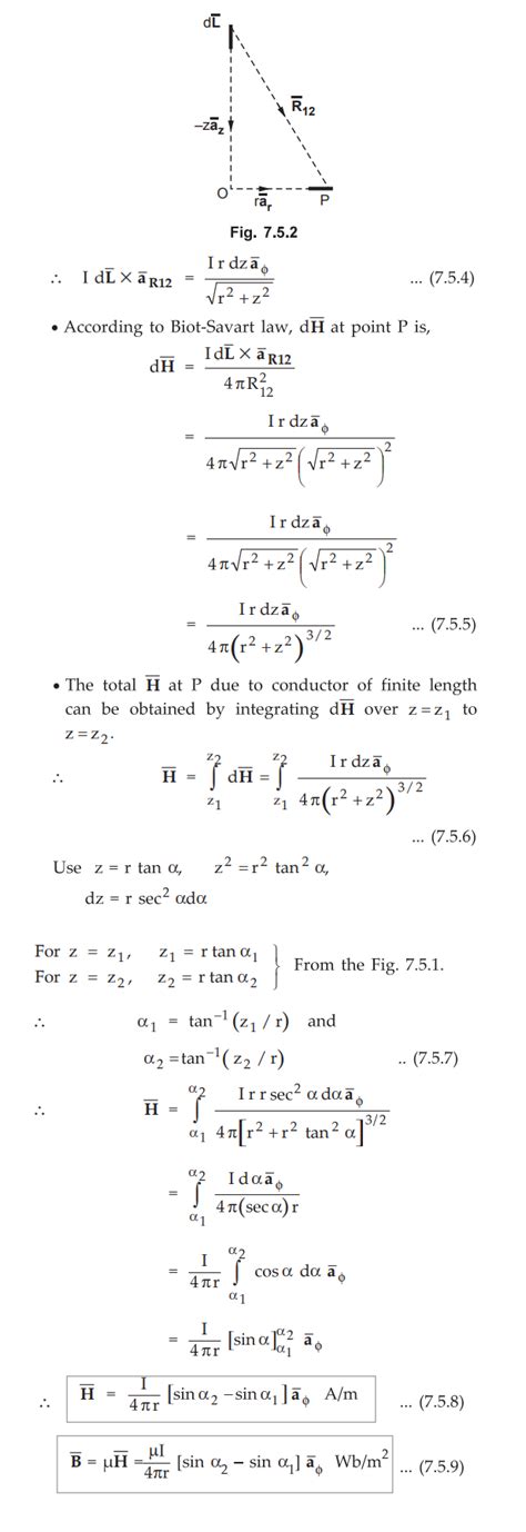
Magnetic field intensity (H) due to Straight Conductor of Finite Length
eee.poriyaan.in
Oblique Incidence of Uniform Plane Waves - Electromagnetic Waves
eee.poriyaan.in
Scalar or Dot Product of Vectors - Properties, Applications, Solved ...
eee.poriyaan.in
Convert the vector r vector = 3 i cap +2 j cap into a unit vector ...
brainly.in
If veca and vecb are two unit vectors and θ is the angle between them ...
tardigrade.in
The unit vector in x y-plane, making an angle of 30° is anticlockwise ...
tardigrade.in
Scalar or Dot Product of Vectors - Properties, Applications, Solved ...
eee.poriyaan.in
Vector or Cross Product of Vectors - Properties, Applications, Solved ...
eee.poriyaan.in
Find a unit vector in the direction of the vector:
esaral.com
NPTEL PHASE -II :Transport Phenomena
archive.nptel.ac.in
Find a unit vector that is orthogonal to both i + j and i + k - Home ...
ask.learncbse.in
PARAGRAPH 1 Let O be the origin, and O X, O Y, O Z be three unit ...
tardigrade.in
Oblique Incidence of Uniform Plane Waves - Electromagnetic Waves
eee.poriyaan.in
state three standard unit vector with their direction. - Brainly.in
brainly.in
Scalar or Dot Product of Vectors - Properties, Applications, Solved ...
eee.poriyaan.in
Biot-Savart Law - Definition, Equation, Solved Example Problems
eee.poriyaan.in
find a unit vector in direction of the resultant of vectors A=2i-3j+k ...
brainly.in
Potential Gradient - Electrostatics
eee.poriyaan.in
Find the unit vector in the directon of the vector 5î+ 4ĵ+3. - Brainly.in
brainly.in
Objectives_template
archive.nptel.ac.in
if a question in board exam of 2 marks is find unit vector in direction ...
brainly.in
Magnetic field intensity (H) due to Straight Conductor of Finite Length
eee.poriyaan.in
Scalar or Dot Product of Vectors - Properties, Applications, Solved ...
eee.poriyaan.in
Find the unit vector in the direction of the vector î+4j-2k - Brainly.in
brainly.in
Fig 1.5: Moment about an inclined axis
archive.nptel.ac.in
Vector or Cross Product of Vectors - Properties, Applications, Solved ...
eee.poriyaan.in
CHAPTER 1 : FIELDS
home.iitk.ac.in
Force between Differential Current Elements - with Example Solved Problems
eee.poriyaan.in
(j x k) Find the cross product of the unit vectors and sketch your ...
ask.learncbse.in
a , b , c are three mutually perpendicular unit vectors in the right ...
tardigrade.in
Find a unit vector in the direction of the resultant of vector a=2i_3j ...
brainly.in
Oblique Incidence of Uniform Plane Waves - Electromagnetic Waves
eee.poriyaan.in
Spherical Co-ordinate System - represent field vectors, Solved Example ...
eee.poriyaan.in
Potential Gradient - Electrostatics
eee.poriyaan.in
Solved Example & Practice Problems: Equilibrium, Concurrent Force ...
mech.poriyaan.in
ا Let k, l, m, n are four distinct unit vectors in a three-dimensional ...
brainly.in
If A, B and ĉ represent unit vectors in each case, whích vector ...
brainly.in
Cartesian Co-ordinate System - represent field vectors, Solved Example ...
eee.poriyaan.in
Scalar or Dot Product of Vectors - Properties, Applications, Solved ...
eee.poriyaan.in
Convert the vector r = 3i + 2j into a unit vector. - Brainly.in
brainly.in
Euclidean Space and vectors - Economics - Mathematical Method - Studocu
studocu.com
Two Marks Questions with Answers - Coulomb's Law and Electric Field ...
eee.poriyaan.in
Vectors: Unit Vector & Component Form - GeoGebra
aghandoura.com
the value of a unit vector in the direction of vector A=5i^-12j^ is ...
brainly.in
Cylindrical Co-ordinate System - represent field vectors, Solved ...
eee.poriyaan.in
Magnetic field intensity (H) due to Straight Conductor of Finite Length
eee.poriyaan.in
Find the unit vector in the direction of the vector î+4j-2k - Brainly.in
brainly.in
Identify the unit vector in the following. - Brainly.in
brainly.in
Spherical Co-ordinate System - represent field vectors, Solved Example ...
eee.poriyaan.in
The two adjacent sides of a parallelogram are 2î +4j-5k and i +2j+3k ...
brainly.in
Direction Cosines of a Line - Mathematics for NDA PDF Download
edurev.in
E.M. Waves in Free Space, in Dielectrics and in Conductors: Assignment ...
edurev.in
Types of Integral Related to Electromagnetic Theory - Line, Surface, Volume
eee.poriyaan.in
OABC is a current-carrying square loop. An electron is projected from ...
tardigrade.in
If a vector equals to 3i^ + 2j^ and b vector is equals to 2i^+ 3 j^ - k ...
brainly.in
If all the unit vectors in x y-plane is written as r, then r is equal to
tardigrade.in
Position Vector in Two Dimensional Plane - r r r r ˆ ˆ j r ˆ i ˆ r → ˆ ...
studocu.com
the unit vector in the direction of vector A=2i _ 2j + k is - Brainly.in
brainly.in
Representation of a Vector
eee.poriyaan.in
Scalar or Dot Product of Vectors - Properties, Applications, Solved ...
eee.poriyaan.in
Associating Synoptic-Scale Weather Patterns with Aggregated Offshore ...
mdpi.com
Let i^,j^ and k^ denote the standard unit vectors in R³ along the x ...
brainly.in
Oblique Incidence of Uniform Plane Waves - Electromagnetic Waves
eee.poriyaan.in
NCERT Solutions Class 12 Maths Chapter 10 - Vector Algebra
edurev.in
Electric Field due to Infinite Line Charge - Solved Example Problems
eee.poriyaan.in
Force between Differential Current Elements - with Example Solved Problems
eee.poriyaan.in
Two Marks Questions with Answers - Coulomb's Law and Electric Field ...
eee.poriyaan.in
If a, b, c are mutually perpendicular unit vectors, then find the value ...
brainly.in
About Euclid Chemical - Admixtures & Construction Products | Tremco CPG ...
tremcocpg-india.in
Related Searches
Polar Unit Vectors
Euclidean Vector
Adding Unit Vectors
Euclidean Norm of a Vector
Euclidean Vector Space
Euclidian Vector
Unit Vector vs Vector
Euclidean Inner Product
Subtracting Unit Vectors
Unit Vectors 3D Ei
Unit Vector PNG
Unit Vectors in Polar Coordinates
Euclidean Vector Projection
Vektor Euclidean
Euclidean Coordinate System
Euclidian Vector Coordonate
Euclidean Vecotrs Cheat Sheet
Euclid Vectors Design
Euclidian Trig
Euclidean Corrdinate System
Vector Addition and Euclidean
Equillibrium of Vectors
Components of a Vector and Unit Vector Unit Vector
Vector in Eucliedean Space
Scalar and Vector Units
Pre Calculus Vectors
Euclidean Stencil Set
Vector Trig Equations
Euclidean Vectors Spaces Linear Math
Euclidean Norm of Real and Complex Vector
Euclidean Length Vector
Euclidean Vector Number
Euclidean Velocity
Euclid Vector
Polar Coordinates Unit Vectors Transform
What Is a Euclidean Coordinate System
Euclidean Distance Vector
Euclidean Alg
Lattice Euclidean
Euclidian n-Space Logo
Scalar versus Vector
Search
×
Search
Loading...
No suggestions found