Find Your Style
Women
Men
Accessories
Search for clothing, brands, styles...
×
Women
Men
Accessories
Exactly One Solution
Search
Loading...
No suggestions found
INR Full Form: What is full form of INR?
bankersadda.com
The condition so that the pair of linear equations kx + 3y + 1 = 0, 2x ...
brainly.in
Solved: For each system of linear equations shown below, classify the ...
gauthmath.com
Which system of equations has exactly one solution? - Brainly.in
brainly.in
Which system of equations below has exactly one solution? y = –8x – 6 ...
brainly.in
Solved: For each system of linear equations shown below, classify the ...
gauthmath.com
Which of the following pairs of linear equations has unique solution ...
ask.learncbse.in
Which system of equations has exactly one solution? - Brainly.in
brainly.in
Solved: How many solutions does the system have? You can use the ...
gauthmath.com
How many solutions does the system of equations have?( 3x + y +3 = 0(2x ...
brainly.in
Find the condition, so that the pair of linear equations kx+3y+1=0 and ...
brainly.in
Find the value of ‘p’ for which the pair of linear equations 3px+4y = 7 ...
brainly.in
which value of P and Q result in an equation with exactly one solution ...
brainly.in
Find the value of ‘p’ for which the pair of linear equations 3px+4y = 7 ...
brainly.in
The equations 3x - 4y = 5 and 12x - 16y = 20 have ....a) no solution b ...
brainly.in
DataOne Solutions
dataonesolutions.in
The quadratic equation 4x 2 + 4kx + 9 = 0, k > 0 has exactly one ...
brainly.in
Hyperbola - JEE Advanced Previous Year Questions with Solutions
esaral.com
if the equation ln(x^2+5x)-ln(x+a+3)=0 has exactly one solution for x ...
brainly.in
Which equation has only one solution? - Brainly.in
brainly.in
Consider a function f(x)=x ex+(x ex)-1 where x ∈ R- 0 then which of the ...
tardigrade.in
Save View” Option in Tally Prime - Aonesolutions.in
aonesolutions.in
Strength of Solution Formula, Units and Calculation - Chemistry ...
aakash.ac.in
The value of k for which the equation e 2 x = k √ x has exactly one ...
tardigrade.in
4.Find all conditions on a and b (a,be R) when ax + b = 4x + 10 has:(i ...
brainly.in
Which system of equations has exactly one solution? - Brainly.in
brainly.in
Which of the options have exactly one solution - Brainly.in
brainly.in
System of linear equation in three variables — lesson. Mathematics ...
yaclass.in
Assertion: The linear equations 5x−2y−6=0 and 7x 5y−10=0 have exactly ...
brainly.in
Effect of Pulsed Electric Field on the Electrodialysis Performance of ...
mdpi.com
Px+Q=x+1 Which values of P and Q result in an equation with exactly one ...
brainly.in
Monotonicity - JEE Advanced Previous Year Questions with Solutions
esaral.com
a pair of linear equation a1x+b1y+c1=0; and a2x+b2y+c2=0 is said to be ...
brainly.in
Monotonicity - JEE Advanced Previous Year Questions with Solutions
esaral.com
Which system of equations has exactly one solution? - Brainly.in
brainly.in
System of linear equation in three variables — lesson. Mathematics ...
yaclass.in
Statement (A): The linear equations x - 2y - 3 = 0 and 3x + 4y - 20 = 0 ...
brainly.in
Which of the following equations have exactly one solution? Choose all ...
brainly.in
Which system of equations has exactly one solution? - Brainly.in
brainly.in
Note: - the system of equations 2x ky = 2, kx 2y=2 has exactly one ...
brainly.in
Blog - A One Solutions
aonesolutions.in
One Point One Solutions In Focus On Announcement of Securing New Client ...
goodreturns.in
System of linear equation in three variables — lesson. Mathematics ...
yaclass.in
System of linear equation in three variables — lesson. Mathematics ...
yaclass.in
India’s Rubber Board Launches Tapping Automation Contest
maxdigi.in
Find the value of p for which the following pair of linear equations ...
brainly.in
Which system of equations below has exactly one solution? y = –8x – 6 ...
brainly.in
The equations 3x - 4y = 5 and 12x - 16y = 20 have ....a) no solution b ...
brainly.in
Best Tally Software Dealer in Kolkata | Tally Certified Partners
aonesolutions.in
Let y=f(x) satisfies the differential equation (d y/d x)=-y ln x with y ...
tardigrade.in
19. Find set of values of 'a' for wch ||x| - 2024|= a has (i) no ...
brainly.in
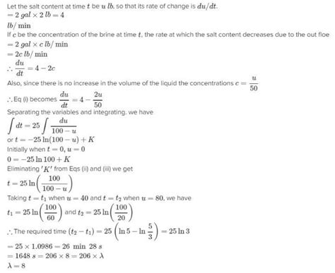
A tank initially contains 50 gallons of fresh water. Brine, containing ...
brainly.in
Small Cap Stock Below Rs 100: One Point One Solutions In Focus Amid ...
goodreturns.in
How many solutions does the following system have ? x+2y=2; 2x+4y=-8 ...
brainly.in
Digital Signature in Tally Prime - A One Solutions
aonesolutions.in
−7x−10−15x=−22x+83 How many solutions are there to this equation? A ...
brainly.in
DataOne Solutions
dataonesolutions.in
Which system of equations below has exactly one solution? y = –8x – 6 ...
brainly.in
Find all conditions on a and b when ax + b = 4x + 10 has infinitely ...
brainly.in
Find the condition, so that the pair of linear equations kx+3y+1=0 and ...
brainly.in
Types of solutions: Concentrated and dilute solutions — lesson. Science ...
yaclass.in
DIETURY Litmus Paper Red & Blue For Testing Acid And Base Solution ...
amazon.in
ERP Software Company in India | SAP Business One
ingoldsolutions.in
Blog - A One Solutions
aonesolutions.in
Formula Sheet By Bharat Panchal - IDEAL SOLUTION CLASS-12 BOARDS ...
studocu.com
How many solutions does the equation 4x + 2(x – 5) = 3(2x – 4) have? A ...
brainly.in
ERP Software Company in India | SAP Business One
ingoldsolutions.in
Digital Signature in Tally Prime - A One Solutions
aonesolutions.in
Weblinear Workspace | All-in-one solution for seamless business ...
erp.weblinear.in
Let A, B, C be three events. If the probability of occurring exactly ...
tardigrade.in
Ode1 - 1 Solutions In this chapter we introduce notion of an ordinary ...
studocu.com
Types of solutions: Based on the amount of the solute — lesson. Science ...
yaclass.in
Tablet
ai1solutions.in
A circle S of radius 2 units lies in the first quadrant and touches ...
tardigrade.in
Blog - A One Solutions
aonesolutions.in
Best Tally Software Dealer in Kolkata | Tally Certified Partners
aonesolutions.in
Fehling's Solution in Chemistry: Definition, Types and Importance | AESL
aakash.ac.in
If f: R arrow(0, (π/4)], f ( x )= cot -1( e x +4 e - x -3 tan -1 α) is ...
tardigrade.in
Types of solutions: Physical state of the solute and the solvent ...
yaclass.in
Best Tally Software Dealer in Kolkata | Tally Certified Partners
aonesolutions.in
Find the least square number exactly divisible by each one of the ...
brainly.in
Best Tally Software Dealer in Kolkata | Tally Certified Partners
aonesolutions.in
Ideal and Non-Ideal Solutions - Chemistry Class 12 - NEET PDF Download
edurev.in
The system of equations where z is a complex number has
tardigrade.in
Green Cloud Solutions
greencloudsolutions.in
Blog - A One Solutions
aonesolutions.in
The Influence of the Type of Electrolyte in the Modifying Solution on ...
mdpi.com
1. The pairs of equations x+2y-5 = 0 and 4x-8y+20=0 have(a)Unique ...
brainly.in
Tally GST Problems & Solutions: Troubleshooting Guide 2024
aonesolutions.in
Tally Software Dealer in Howrah - A One Solutions
aonesolutions.in
fimd the roots of the quadratic equation x2+5x (a+1)(a+6) =0 - Brainly.in
brainly.in
Differentiate between true solution, colloidal solution and suspension.
philoid.in
Tally GST Problems & Solutions: Troubleshooting Guide 2024
aonesolutions.in
Digital Signature in Tally Prime - A One Solutions
aonesolutions.in
Best Tally Software Dealer in Kolkata | Tally Certified Partners
aonesolutions.in
Indicators: Natural indicators — lesson. Science State Board, Class 8.
yaclass.in
Save View” Option in Tally Prime - Aonesolutions.in
aonesolutions.in
R Tech Solution | R Tech Solution - Best IT Training Institute ...
rtechsolution.in
SPECTRUM METHYL RED SOLUTION 125ML : Amazon.in: Industrial & Scientific
amazon.in
Maheshwari Tiles sanitary new Era one roof one solution in construction ...
thedailybeat.in
Blog - A One Solutions
aonesolutions.in
The equation [tex]\sqrt{3x^{2}+x+5}=x-3[/tex], where x is real, has (a ...
brainly.in
Class 12 CBSE Applied Maths Probability Exercise 9.3
appliedmaths.in
Best Tally Software Dealer in Kolkata | Tally Certified Partners
aonesolutions.in
Save View” Option in Tally Prime - Aonesolutions.in
aonesolutions.in
In which of the following options figure (X) is exactly embedded as one ...
brainly.in
Save View” Option in Tally Prime - Aonesolutions.in
aonesolutions.in
Class 10 maths revision chapter Exercise R-3 solutions in Assamese ...
pipalacademy.in
Asthalin Respiratory Solution 15 ml Price, Uses, Side Effects ...
apollopharmacy.in
Solved: Natalie draws an acute triangle. Which attributes describe her ...
gauthmath.com
Effect of Pulsed Electric Field on the Electrodialysis Performance of ...
mdpi.com
Mirror Images - 1 Free MCQ Practice Test with Solutions - Class 3
edurev.in
HOME [a-onesolutions.in]
a-onesolutions.in
molar mass of a non volatile solute whose 2% aqueous solution exerts a ...
brainly.in
Certified TallyPrime Software in Partner Kolkata
aonesolutions.in
SPECTRUM Sodium Thiosulphate Solution N/10 (500ML) : Amazon.in ...
amazon.in
Eusol Solution | Uses, Side Effects, Price | Apollo Pharmacy
apollopharmacy.in
NCERT Solutions for Class 10 Maths chapter 3 Exercise 3.1 - Pair of ...
esaral.com
Class 10 maths Exercise R-4 solutions in Assamese medium ~ Digital ...
pipalacademy.in
Approach to find out exactly one common root - Brainly.in
brainly.in
Related Searches
Equation with One Solution
Linear Equation with One Solution
Discriminant Exactly One Solution
Equation Has Exactly One Solution
Exactly One Solution Rule
System with No Solution
Exactly One Real Solution
Systems with One Solution
Exactly One Solution Example
One Solution On a Graph
System of Equations with No Solution
Matrix with Exactly One Solution
Example of Solution in Math
Na One Solution
Exactly One Distinct Solution
One Solution Problems
Unique Solution Linear Equation
Which Graph Shows a System of Equations with Exactly One Solution
One Solution Line
How to Slove Exactly One Solution
One Solution No Solution Infinite Solution
Which Function Has Exactly One Real Solution
Sketch a Graph That Exactly One Solution
What Does a Equation with Exactly One Solution Look Like
Exactly One Solution in Linear Eqation
Equation with Only One Solution
One Solution Formula
Formula for Figuring Out If Solutions Have Exactly One Solution
What Is One Solution
Exactly One Solution Discriminant Rukle
Points of One Solution
Exactly One Answer
Consistent Linear System
Choice of One Solution
More than One Phase Solution
Lines with No Solution
Ormula for Only One Solution
Infinitely Many Solutions Graph
Atleast One Real Solution
System of Equations with No Solution Examples
What Type of Algebra Equation Has Exactly One Solution
When an Logarithmic Equation Has Exactly One Solution
Cubic Function
Inconsistent Linear System
Solve Each System by Graphing
Do Arithmagons Only Have One Solution
There Is Only One Viable Solution
Discreet Math Exactly One
Equation Have Exactly U One Solution Meaning
Consistent Dependent Graph
Search
×
Search
Loading...
No suggestions found