Find Your Style
Women
Men
Accessories
Search for clothing, brands, styles...
×
Women
Men
Accessories
Example Of Homogeneous Structure Ib Biology Example
Search
Loading...
No suggestions found
Types of mixture: Homogeneous and Heterogeneous — lesson. Science State ...
yaclass.in
Homogeneous and Heterogeneous Mixtures: Explore 10 Examples of Each
adda247.com
Heterogeneous and Homogeneous Mixture
careerpower.in
Heterogeneous and Homogeneous Mixture
careerpower.in
Homologous and Analogous Structures - Differences and Importance
careerpower.in
Heterogeneous and Homogeneous Mixture
careerpower.in
example of homogenous mixture with the help ofdiagram - Brainly.in
brainly.in
Mitochondria: Definition, Functions, Diagram, Structure and Parts
careerpower.in
Homogeneous and Heterogeneous Mixtures: Explore 10 Examples of Each
adda247.com
What are Catalysis and its types? Catalyst|Chemistry Page
chemistrypage.in
Eukaryotic Cell: Diagram, Definition, Structure & Examples
careerpower.in
Enantiomers: Definitions, Examples, Properties, Representation ...
collegesearch.in
What is Active Site of Enzyme - Definition and Function - Biology Notes
biologynotes.in
differentiate between homogeneous mixture and heterogeneous mixture ...
brainly.in
Give three differences between Homogeneous mixture and Heterogeneous ...
brainly.in
Difference between homogenous and heterogenous catalysis with example ...
brainly.in
difference between homogeneous and heterogeneous mixtures with examples ...
brainly.in
Classification and Nomenclature of Haloalkanes Class 12 Notes | EduRev
edurev.in
What is a meaning of homologous chromosome in meiosis
scoop.eduncle.com
what are yhe two types of mixtures - Brainly.in
brainly.in
solid solid heterogeneous mixture example - Brainly.in
brainly.in
write 20 different branches of Biology and define them - Brainly.in
brainly.in
Professional Bio Examples: 29 Work Bios I Keep in My Back Pocket for ...
appsmanager.in
Professional Bio Examples: 29 Work Bios I Keep in My Back Pocket for ...
appsmanager.in
Professional Bio Examples: 29 Work Bios I Keep in My Back Pocket for ...
appsmanager.in
Professional Bio Examples: 29 Work Bios I Keep in My Back Pocket for ...
appsmanager.in
Shell Structures: Introduction, Benefits, Types & Examples
novatr.com
Professional Bio Examples: 29 Work Bios I Keep in My Back Pocket for ...
appsmanager.in
27 of the Best Professional Bio Examples I've Ever Seen [+ Templates ...
appsmanager.in
27 of the Best Professional Bio Examples I've Ever Seen [+ Templates ...
appsmanager.in
Professional Bio Examples: 29 Work Bios I Keep in My Back Pocket for ...
appsmanager.in
27 of the Best Professional Bio Examples I've Ever Seen [+ Templates ...
appsmanager.in
What is the IB Primary Years Programme? - Answered - Twinkl Teaching Wiki
twinkl.co.in
27 of the Best Professional Bio Examples I've Ever Seen [+ Templates ...
appsmanager.in
27 of the Best Professional Bio Examples We've Ever Seen [+ Templates ...
appsmanager.in
biology unit 2 original Flashcards | Quizlet
quizlet.com
PYP Taking Action Ideas - International Baccalaureate
twinkl.co.in
27 of the Best Professional Bio Examples I've Ever Seen [+ Templates ...
appsmanager.in
What are the example of homogeneous mixtures? - Brainly.in
brainly.in
PYP Learner Profile Matching Cards
twinkl.co.in
27 of the Best Professional Bio Examples I've Ever Seen [+ Templates ...
appsmanager.in
Frame Structures and Shell Structures (teacher made)
twinkl.co.in
Present Perfect Continuous Tense - Structure, Uses & Examples
engclub.in
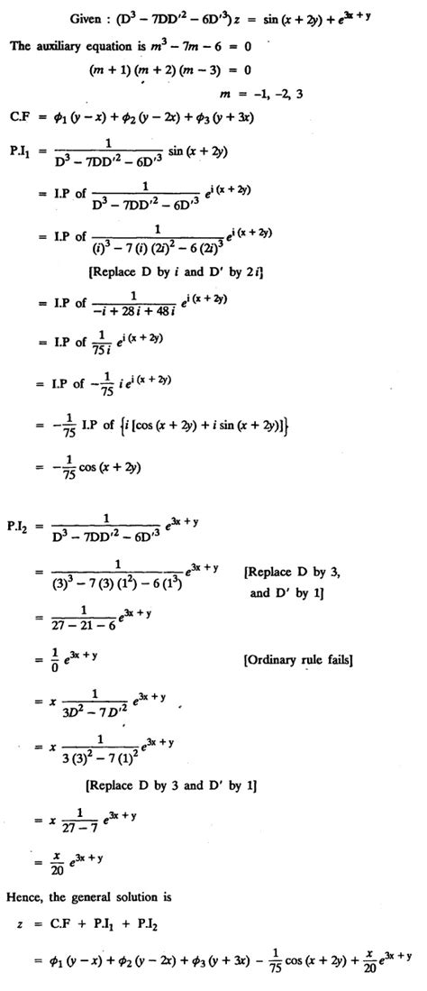
Linear partial differential equations of second and higher order with ...
mech.poriyaan.in
PYP Key Concept Questions: Guided Reading – Lower Primary
twinkl.co.in
What is PYP? - Answered - Twinkl Teaching Wiki - Twinkl
twinkl.co.in
27 of the Best Professional Bio Examples We've Ever Seen [+ Templates ...
appsmanager.in
Buy ZOCO - Biology - Hierarchy of Biological Classification - Taxonomy ...
desertcart.in
Simple Past Tense - Structure, Uses & Examples
engclub.in
Homogeneous and Heterogeneous Mixtures Posters - Twinkl
twinkl.co.in
27 of the Best Professional Bio Examples We've Ever Seen [+ Templates ...
appsmanager.in
27 of the Best Professional Bio Examples We've Ever Seen [+ Templates ...
appsmanager.in
Learner Profile Posters - IB PYP Posters
twinkl.co.in
Homogeneous differential equation-working rule & example - Maths - Studocu
studocu.com
Provide me a diagram of chromosomes and genes. - Brainly.in
brainly.in
PYP Learner Profile Self-Reflection
twinkl.co.in
Linear partial differential equations of second and higher order with ...
mech.poriyaan.in
Inquiry Cycle Poster - PYP
twinkl.co.in
PYP Key Concepts - Single Page Poster (teacher made)
twinkl.co.in
Give one example for each of the following typesof mixtures.(a) solid ...
brainly.in
27 of the Best Professional Bio Examples We've Ever Seen [+ Templates ...
appsmanager.in
Complex Flowchart: Meaning, Types &14 Free Examples
edrawmax.wondershare.com
27 of the Best Professional Bio Examples I've Ever Seen [+ Templates ...
appsmanager.in
PYP Challenge Cards - Modern-Day Role Models (Key Concepts)
twinkl.co.in
Stacks | Learn Everything about Stacks in DSA
talentbattle.in
Linear partial differential equations of second and higher order with ...
mech.poriyaan.in
Linear partial differential equations of second and higher order with ...
mech.poriyaan.in
difference between homogeneous and heterogeneous mixture - Brainly.in
brainly.in
Nervous tissue class 9 - Brainly.in
brainly.in
Linear partial differential equations of second and higher order with ...
mech.poriyaan.in
Linear partial differential equations of second and higher order with ...
mech.poriyaan.in
What is the Imperial System? Measurement and Maths | Wiki
twinkl.co.in
Linear partial differential equations of second and higher order with ...
mech.poriyaan.in
IB Learner Profile Posters: Modern-Day PYP Role Models
twinkl.co.in
Linear partial differential equations of second and higher order with ...
mech.poriyaan.in
Linear partial differential equations of second and higher order with ...
mech.poriyaan.in
Linear partial differential equations of second and higher order with ...
mech.poriyaan.in
Linear partial differential equations of second and higher order with ...
mech.poriyaan.in
Linear partial differential equations of second and higher order with ...
mech.poriyaan.in
Linear partial differential equations of second and higher order with ...
mech.poriyaan.in
Prokaryotic Cell: Diagram, Definition and Examples
careerpower.in
Biology Example IA Moderator marks and comments (2025) - Sciences ...
studocu.com
Simple Past Indefinite Tense- Examples, Formula, Exercise, Rules, Structure
adda247.com
Linear partial differential equations of second and higher order with ...
mech.poriyaan.in
Linear partial differential equations of second and higher order with ...
mech.poriyaan.in
Solution of Homogeneous System of Linear Equations Example- 2 Video ...
edurev.in
FREE! - PYP Key Concept Question Cards: Guided Reading (n.f) – UP
twinkl.co.in
Linear partial differential equations of second and higher order with ...
mech.poriyaan.in
Linear partial differential equations of second and higher order with ...
mech.poriyaan.in
PYP Unit Assessment Rubric & Reflection (teacher made)
twinkl.co.in
Linear partial differential equations of second and higher order with ...
mech.poriyaan.in
Linear partial differential equations of second and higher order with ...
mech.poriyaan.in
Linear partial differential equations of second and higher order with ...
mech.poriyaan.in
make a flowchart showing the steps involved for the separation of salt ...
brainly.in
IB DP Biology D3.3 Homeostasis Study Notes - Study Notes focus on IB ...
studocu.com
Linear partial differential equations of second and higher order with ...
mech.poriyaan.in
Linear partial differential equations of second and higher order with ...
mech.poriyaan.in
What is Biomimetic Design in Architecture & Its 12 Best Application
novatr.com
IB English A: Language & Literature: P1 SL S2 (poverty) - InThinking ...
uslegalforms.com
IB Group
ibgroup.co.in
Linear partial differential equations of second and higher order with ...
mech.poriyaan.in
Linear partial differential equations of second and higher order with ...
mech.poriyaan.in
Linear partial differential equations of second and higher order with ...
mech.poriyaan.in
Buy Pearson Baccalaureate Biology Higher Level 2nd edition print and ...
amazon.in
Top 10 Examples of Innovative Shell Structures in 2024
novatr.com
Linear partial differential equations of second and higher order with ...
mech.poriyaan.in
Linear partial differential equations of second and higher order with ...
mech.poriyaan.in
Linear partial differential equations of second and higher order with ...
mech.poriyaan.in
Linear partial differential equations of second and higher order with ...
mech.poriyaan.in
Linear partial differential equations of second and higher order with ...
mech.poriyaan.in
Linear partial differential equations of second and higher order with ...
mech.poriyaan.in
IB Chemistry SL Model IA Example (IB Model IA/EE/ToK Examples Book 3 ...
amazon.in
Linear partial differential equations of second and higher order with ...
mech.poriyaan.in
Top 10 Examples of Innovative Shell Structures in 2024
novatr.com
What is Cleavage? Patterns, Classification & Mechanism
allen.in
Linear partial differential equations of second and higher order with ...
mech.poriyaan.in
Linear partial differential equations of second and higher order with ...
mech.poriyaan.in
Linear partial differential equations of second and higher order with ...
mech.poriyaan.in
Linear partial differential equations of second and higher order with ...
mech.poriyaan.in
Linear partial differential equations of second and higher order with ...
mech.poriyaan.in
Search
×
Search
Loading...
No suggestions found