Find Your Style
Women
Men
Accessories
Search for clothing, brands, styles...
×
Women
Men
Accessories
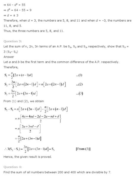
Example Of Mathematical Language
Search
Loading...
No suggestions found
Buy Mathematical Statistics with Applications in R Book Online at Low ...
amazon.in
Buy MATHEMATICAL STATISTICS WITH APPLICATIONS IN R, 3RD EDITION Book ...
amazon.in
Buy Structure of Language and Its Mathematical Aspects: 012 ...
amazon.in
What is Set Mathematics? - Answered - Twinkl Teaching Wiki
twinkl.co.in
Buy Natural language using mathematical statistical tools Book Online ...
amazon.in
Mathematics as a Language for Grade X (CBSE syllabus) - Vol II ...
amazon.in
Mathematical (Maths) Symbols With Name, Examples PDF
adda247.com
Buy Calculus: Mastering the Mathematical Language of Change (Practice ...
amazon.in
Mathematical Language Dictionary Maths Activity Booklet
twinkl.co.in
Mathematical Formulas - Wall Chart Paper Print - Educational posters in ...
flipkart.com
Arithmatic Operators In Java – CertifiKation
certifikation.com
Mind Maps For Mathematical Reasoning - Class 11, 12 , JEE (Main + Advanced)
esaral.com
Mathematical Analysis Volume-I Containing Real Analysis: Buy ...
flipkart.com
what is convention in mathematics - Brainly.in
brainly.in
Sequences And Series, Class 11 Mathematics NCERT Solutions
evidyarthi.in
Maths Vocab Signs Large Poster - Math Vocabulary Chart
twinkl.co.in
John E. Freund's Mathematical Statistics with Applications 8th Edition ...
flipkart.com
Maths Action Words PDF | Vocabulary Posters (teacher made)
twinkl.co.in
Mathematical Operations: Notes And Examples 2021
sscadda.com
👉 KS2 Maths Vocabulary Posters: Parts of an Equation pack
twinkl.co.in
Maths Words For Addition Poster
twinkl.co.in
R Programming Cheat Sheet - General Data StructureS ManipulatinG ...
studocu.com
Prothrombin time, PT/INR Report Format | MS Word & Pdf
labsmartlis.com
What is the Mean in Maths? Definition & Examples | Twinkl
twinkl.co.in
Key Stage 1 Maths Poster Templates For Vocabulary - Twinkl
twinkl.co.in
What is the Mean in Maths? Definition & Examples | Twinkl
twinkl.co.in
👉 EYFS Maths Vocabulary Word Cards | Early Years Resources
twinkl.co.in
👉 KS2 Mathematical Symbols with Key Words Display Cut-Outs
twinkl.co.in
Mathematical Methods for Physics and Engineering : Riley: Amazon.in: Books
amazon.in
What is the Modal in Maths? | Modal Number | Wiki - Twinkl
twinkl.co.in
SBI BANK CODE SBCHQ-GEN-PUB-IND-INR MEANING.SBI DIFFERENT TYPES OF ...
digitalhelper.in
What is a Maths Model? - Answered - Twinkl Teaching Wiki
twinkl.co.in
USD/INR Cracks Big: Falls 2% in 4 Days! | Investing.com India
in.investing.com
R Language - A Comprehensive Guide - Tech Hyme
techhyme.com
Buy NUOBESTY 1 Set First - Flashcards Math Learning Games Letter Props ...
ubuy.co.in
Bill Invoice Format in Excel | Free Download - Wise
wise.com
Bill Invoice Format in Google Sheets | Free Download - Wise
wise.com
What is sensory language and writing? Wiki. - Twinkl
twinkl.co.in
03 MMW 4 Concepts of Mathematical Language1 | PDF
scribd.com
Corporate Gifting – Packmaniya
packmaniya.in
EYFS Mathematical Language Assessment Tool | EYFS Assessment
twinkl.co.in
National Geographic The Golden Ratio The mathematical language of ...
amazon.in
How to calculate the Mean, Mode, Median and Range in Maths
twinkl.co.in
ASL Single-Digit Addition Worksheet
twinkl.co.in
Black and White Using Mathematical Language More Than or Less Than ...
twinkl.co.in
Mathematical Physics: Buy Mathematical Physics by Dass H. K. at Low ...
flipkart.com
(Cosec theta-sin theta) (sec theta-cos theta)=1/tan theta plus cot ...
brainly.in
Math Symbols- All Mathematical Symbols with Examples
adda247.com
Emotive Language for Persuasive Writing Word Mat - Twinkl
twinkl.co.in
SOP for Nursing: How to Write sample SOP for MSc nursing?
yocket.com
What is the Product? Maths Definition and Examples - Twinkl
twinkl.co.in
Mathematical Foundations of Data Science Using R (De Gruyter STEM ...
amazon.in
Buy Math Keywords s - Laminated, 17 x 22 inches - Math Words/Vocabulary ...
desertcart.in
Discrete Mathematical Structures with Applications to Computer Science ...
flipkart.com
What a p-Value Tells You about Statistical Data - India Dictionary
1investing.in
Notes: Learning and Acquisition - English Language and Pedagogy for ...
edurev.in
Mathematics for Game Programming and Computer Graphics: Learn the ...
amazon.in
Mathematical (Maths) Symbols With Name, Examples PDF
adda247.com
Mathematical Modelling: Buy Mathematical Modelling by Kapur J. N. at ...
flipkart.com
Galileo Galilei Quote: “Mathematics is the language with which God has ...
quotefancy.com
Mediamatics : Foreign Publishers and Books
mediamatics.co.in
What are Individual Behaviour Plans? - Twinkl
twinkl.co.in
1 billion dollars in indian rupees - Brainly.in
brainly.in
Stacks | Learn Everything about Stacks in DSA
talentbattle.in
Probability - NCERT Book of Class 11 Mathematics
betrained.in
Introduction to Mathematical Physics: Buy Introduction to Mathematical ...
flipkart.com
Buy Introduction to Mathematical Statistics and Its Applications, An ...
amazon.in
Buy Schaum's Mathematical Handbook of Formulas and Tables (Schaum's ...
amazon.in
EYFS Mathematical Language Assessment Tool (teacher made)
twinkl.co.in
MATHEMATICAL ANALYSIS: Buy MATHEMATICAL ANALYSIS by S C MALIK, SAVITA ...
flipkart.com
What is sensory language and writing? Wiki. - Twinkl
twinkl.co.in
Guide to the Umbral Calculus: A Different Mathematical Language eBook ...
amazon.in
SETS - Grb maths
grbmaths.in
CBSE Case Study Questions for Class 9 Maths - Pdf PDF Download
edurev.in
Buy USA and International Mathematical Olympiads 2005: Examples ...
amazon.in
Mole relations - Definitions, mathematical expressions, practice ...
aakash.ac.in
15 Examples Of Maths Patterns In Nature That Will Stun You - MobyGeek.com
mobygeek.com
Stand out navy blue corset top – Kostume County
kostumecounty.com
First Order Integrated Rate Equation – Definition, Mathematical and ...
aakash.ac.in
Buy The Mathematical Language of Quantum Theory: From Uncertainty to ...
amazon.in
Fundamentals of Mathematical Statistics: Buy Fundamentals of ...
flipkart.com
Buy Principles of Mathematical Modelling: Ideas, Methods, Examples: 3 ...
amazon.in
Mathematical Techniques for Competitive Examinations: Buy Mathematical ...
flipkart.com
Buy Mathematical Methods for Scientists and Engineers: Linear and ...
amazon.in
Figurative Language Example Reference Cards (teacher made)
twinkl.co.in
Encouraging Mathematical Language with Infants Top Tips
twinkl.co.in
Buy INTRODUCTORY MATHEMATICAL ANALYSIS FOR BUSINESS, ECONOMICS, AND THE ...
amazon.in
GST Export Invoice with Foreign Currency Billing
billingsoftware.in
Figo Fineliner 0.6mm Pipe Tip Blue Writing SKU 21928
penhouse.in
Introduction to Mathematical Statistics: Buy Introduction to ...
flipkart.com
Language and Culture in Mathematical Cognition (ISSN Book 4) eBook ...
amazon.in
Episode 1: Choosing The Best Mathematical Language : Math Sorcerer ...
amazon.in
Buy Logical Evolutionary Language: A Mathematical Model for Darwinian ...
amazon.in
Find the value of p if the roots of a quadratic equation x2+px+12=0 are ...
brainly.in
Mathematical Physics: Buy Mathematical Physics by HK DASS, DR RAMA ...
flipkart.com
Buy Math in Gujarat, India - Spyran Retail
spyranretail.in
Sequences And Series, Class 11 Mathematics NCERT Solutions
evidyarthi.in
Introduction to Mathematical Statistics: Buy Introduction to ...
flipkart.com
How We Understand Mathematics: Conceptual Integration in the Language ...
amazon.in
DISCRETE MATHEMATICAL STRUCTURES, 6TH EDN : Kolman / Busby / Ross ...
amazon.in
Buy Introduction to Mathematical Statistics Book Online at Low Prices ...
amazon.in
HalfPe - a discount heaven
halfpe.com
Amrutha A - Hyderabad,Andhra Pradesh : A graduate explaining ...
superprof.co.in
Anticoagulant Comparison Chart, 56% OFF | www.elevate.in
elevate.in
Cat6 U/UTP PE | STL LAN Cable – Sterlite Technologies Limited
online.stl.tech
Furniture Bill Format Download | Free Invoice Template For Furniture Shop
stockregister.in
15 Examples Of Maths Patterns In Nature That Will Stun You - MobyGeek.com
mobygeek.com
Nile Grace Kaftan – Kokikar
kokikar.com
रेंट रसीद टैक्स बचाने के लिए क्यों है ज़रूरी? जानें रसीद का फॉर्मेट और ...
housing.com
பயிற்சி 12.2 : கணித தர்க்கவியல் (Mathematical Logic) - கேள்விகளுக்கான ...
brainkart.in
18 Printable Brochure Example Forms and Templates - Fillable Samples in ...
pdffiller.com
Semi-Riemannian Geometry: The Mathematical Language of General ...
amazon.in
Buy R Programming Language Book Online at Low Prices in India | R ...
amazon.in
Lodha Crown Khoni bypass Lodha Crown Taloja Rent - WITHOUT BROKERAGE ...
nobroker.in
MATHEMATICAL METHODS FOR PHYSICISTS: A COMPREHENSIVE GUIDE, 7TH EDN ...
amazon.in
Security Features in Indian Notes, International Notes
indiblogger.in
Figo Fineliner 0.7mm Pipe Tip Black Writing SKU 22550
penhouse.in
find the smallest number by which 12600 must be multiplied so that the ...
brainly.in
Buy Regression Analysis By Example Using R Book Online at Low Prices in ...
amazon.in
Related Searches
Mathematical Language and Symbols
Mathematical Language Examples 2nd Grade
Math/Language Examples
Examples of Mathematical Conventions
Mathematical Language Shape
Example of Powerful Mathematical Language
Mathematics as a Language Examples
Example of a Mathematical Statement
Mathematical Language and Symbols PPT
Mathematical Language Background
Mathematical Language and Symbols Worksheet
Language Arts Worksheets Grade 7
Language Skills CV Examples
Mathematical Language and Symbols for Input UDL
Mathematical Symbols List
Stages of Language Development Examples
Example of Precise Mathematical Language
Language Arts Lesson Plan
Weird Symbol Language
Common Mathematical Symbols
Diversity Wheel Examples
Mathematical Language Patterns
Mathematical Language Icon
Example of Mathematics Is a Language
Samples of Mathematical Convention
Language of Maths Worksheet
Language of Mathematics Poster
Numerical Expression Examples
Algebraic Language
Equation of 01 Language
What Is Mathematical Language and Symbols
Grammar in Math Examples
Pharmaceutical CV Examples
Mathematics Symbols in Kiswahili Language
Mathematics Signs
Table Examples Medical Paper
Mathematics Dead Language Symbols
Student Learner Profile Example
Mathematics for Secondary School
Mathematical Languages Signs Card
Mathematics Symbols Division
5 Types of Mathematical Representations
Sample of Mathematical Exprssion
Examples of Universal Statement in Math
Solt and Trl Mathematical Expressions
Mathematical Language Book
Math/Language Symbols
Conventions of Mathematical Language
Example of Resume About Me as Student
Mathematics Language and Symbols
Search
×
Search
Loading...
No suggestions found