Find Your Style
Women
Men
Accessories
Search for clothing, brands, styles...
×
Women
Men
Accessories
Example Of Matrix That Spans R2
Search
Loading...
No suggestions found
Basis, N(T), R(T), Span dimension theorem
ece.poriyaan.in
Basis, N(T), R(T), Span dimension theorem
ece.poriyaan.in
Consider the following snapshot of a system: Process Maximum A B ...
brainly.in
Understanding the Meaning of an R-squared Value of 0.5
shallbd.com
Understanding Concepts of Determinants and Matrices: find the topic and ...
jagranjosh.com
How to Interpret a Correlation Coefficient r - India Dictionary
1investing.in
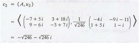
Inner Product space-Matrices
ece.poriyaan.in
Let us consider four processes P1, P2, P3, and P4. There are three ...
edurev.in
Singular Matrix - Types, Examples, Definition & Properties - Maths ...
aakash.ac.in
Find a linear transformation t r2 r such that t(1, 0) = (1, 1) and t(o ...
scoop.eduncle.com
How to Interpret a Correlation Coefficient r - India Dictionary
1investing.in
Inner Product space-Matrices
ece.poriyaan.in
Resistor of resistance r1 r2 and r3 are connected in series and in ...
brainly.in
Singular Matrix - Types, Examples, Definition & Properties - Maths ...
aakash.ac.in
Matrix Multiplication: Process, Properties & Calculator | AESL
aakash.ac.in
RIIf resistors of R1, R2 and R3 ohms are connected in parallel as shown ...
brainly.in
which of the anti symmetric relation ? R1 R2 R3 R4 all of these ...
brainly.in
confusion matrix in machine learning
jainnews.in
Multiplication of 1x2 matrix by 2x1 matrix - Brainly.in
brainly.in
Skills Matrix Template – ITSM Docs - ITSM Documents & Templates
itsm-docs.com
The Beginner's Guide to the Competitive Matrix [+ Templates] - Blog
appsmanager.in
Solved: Example 6 we used data from 1920 and projected to 2050 and ...
gauthmath.com
Written-report-example - Matrix Algebra - Studocu
studocu.com
What Is a Matrix Organizational Chart and How To Make Them - EdrawMind
edrawmind.wondershare.com
Plot a graph showing the variation of coulomb force (F) versus `((1)/(r ...
allen.in
Electric Potential Energy : Electric Dipole, Potential Gradient ...
chemistrypage.in
Every row echelon form of a matrix is reduced row echelon form.(True ...
brainly.in
How To Create A RACI Matrix To Define Your Team's Roles And, 54% OFF
elevate.in
Three resistors R1, R2, and R3 are connected in series with a constant ...
brainly.in
Matrix Concepts R2 2mm PVC Floor Mat, JGR Motorsports, Black : Amazon ...
amazon.in
Authorised Distributor in India - SmartSystem Matrix One R2 Gimbal ...
store.cinescope.co.in
Components of Reinforced Concrete Buildings | Reinforced Concrete Structure
constructioncivilengineering.com
How Do I Define Context in ISO Management Standards? | NQA
nqa.com
Computer Vision Roadmap 🦝
pclub.in
What are Learning Outcomes: Types, Benefits, and Examples of Learning ...
iitms.co.in
sponges kitchen Kitchen Cleaning Bathroom Toilet India | Ubuy
ubuy.co.in
Shell Structures: Introduction, Benefits, Types & Examples
novatr.com
Civil Society, Introduction, Evolution, Types, Need and Role
studyiq.com
21 Most Impressive Bridges in the World 2025
novatr.com
If the sum of the areas of two circles with radii R1 and R2 is equal to ...
brainly.in
Bandai Hobby Star Wars 1 12 Plastic Model Bb 8 | Desertcart INDIA
desertcart.in
Rank of a Matrix- Definition, Example, Properties, How to Find?
adda247.com
RIIf resistors of R1, R2 and R3 ohms are connected in parallel as shown ...
brainly.in
Alienware m16 R2 - Specs, Tests, and Prices | LaptopMedia India
laptopmedia.com
Top 10 Examples of Innovative Shell Structures in 2026
novatr.com
2011 Indiana University FMLA Form 2E Fill Online, Printable, Fillable ...
pdffiller.com
Multiwall Polycarbonate Sheets,Polycarbonate Sheet Exporters
mgpolyplastindustries.in
How to prove that 1/R = 1/R1 + 1/ R2 + 1/R3 . R is for Resistance ...
brainly.in
Authorised Distributor in India - SmartSystem Matrix One R2 Gimbal ...
store.cinescope.co.in
A Funny Thing Happened on the Way to Becoming Human| Mouser
mouser.in
IT-Organisationsdiagramm Leitfaden
edrawsoft.com
R1 and R2 are the two resistors connected in parallel and R1 =R2 =4ohms ...
brainly.in
Buy Bundle L Destiny Matrix Analysis in 24 Hour L Numerology L Know ...
etsy.com
Let us consider four processes P1, P2, P3, and P4. There are three ...
edurev.in
CES 2024: Dell Announces Alienware m16 R2, x16 R2, and m18 R2 Gaming ...
in.ign.com
Diversey Taski R2 Hygienic Hard Surface Cleaner Concentrate (5 L ...
amazon.in
A wire of given material having length l and area of cross-section A ...
brainly.in
What Is Short Attention Span And How To Deal With It | Herzindagi
herzindagi.com
Urban life spans: which cities have the most bridges?
msn.com
in the figure shown R1 =10 ohm , R2 = 40 ohm , R3=30 ohm, R4=20 ohm and ...
brainly.in
Interested Parties: How to define and manage them
nqa.com
7th CPC Pay Matrix i.r.o. Officers of the Army, Air Force and Navy w.e ...
staffnews.in
Alienware m18 R2 - 14900HX · RTX 4090 · 18.0”, FHD+ (1920 x 1200), 480 ...
laptopmedia.com
Taski R2 Hygienic Hard Surface Cleaner : Amazon.in: Health & Personal Care
amazon.in
Alienware m18 R2 - Specs, Tests, and Prices | LaptopMedia India
laptopmedia.com
Using properties of determinants, prove the following: | x y z x2 y2 z2 ...
brainly.in
derive expression for refractive index of prism - Brainly.in
brainly.in
Enantiomers: Definitions, Examples, Properties, Representation ...
collegesearch.in
Bearing Lock Nuts R Type | MISUMI | MISUMI India
in.misumi-ec.com
Buy Regression Analysis By Example Using R Book Online at Low Prices in ...
amazon.in
Star Wars Smart R2D2 : Amazon.in: Toys & Games
amazon.in
US Military To Deploy Navy Ships, USS Gerald R Ford Closer To Israel To ...
timesnownews.com
Taski R2 Hygienic Hard Surface Cleaner Concentrate Company Packed 5 Ltr ...
amazon.in
Indian-origin scientist wins prestigious Shaw Prize in astronomy for ...
indiatoday.in
Data Models and their Types - Simplynotes - Online Notes for MBA, BBA ...
simplynotes.in
SWOT Analysis: How To Do One [With Template & Examples] - Blog
appsmanager.in
Zombie Stories for People with Short Attention Spans eBook : Phelps ...
amazon.in
Effect of Freeze-Drying on Quality and Grinding Process of Food Produce ...
mdpi.com
Cc Form 104 R Nov 2010 Writable - Fill and Sign Printable Template Online
uslegalforms.com
Watch matrix on sale 3 online free
metrorailnews.in
Nmd cheap r2 primeknit
nohara.in
4Dot-Matrix R click at MG Super Labs India
mgsuperlabs.co.in
Stream R2-D2 Season 2 Episode 1 – R2-D2 on Disney+ Hotstar
hotstar.com
Rivian set to launch budget-friendly R2 electric SUV in Europe | TopNews
topnews.in
Cholamandalam MS General Insurance | Renew & Buy Online
gibl.in
Give an example of subsets A and B of R2 such that all three of the ...
brainly.in
Anurag Tripathi
people.iith.ac.in
find the value of x and y in the following diagram - Brainly.in
brainly.in
CoverageEligibilityRequest/auth-requirement-example-01 - TTL ...
nrces.in
Animatrix world on sale record watch online
metrorailnews.in
セラピアン ショルダー バッグ| Enjoy free shipping
sunwize.co.in
Sample Addendum To Memorandum - Fill Online, Printable, Fillable, Blank ...
pdffiller.com
Default Title
home.virtualtutor.co.in
MISTY PURE
mistypure.in
The Illustrious Jabba the Hutt Bids You Welcome to His New Marvel Comic ...
starwars.com
18 Printable Da Form 1594 Templates - Fillable Samples in PDF, Word to ...
pdffiller.com
Hypothesis - HYPOTHESIS Meaning: Hypothesis is an assumption that is ...
studocu.com
Matrix Wonder.Brown Hair Color - Price in India, Buy Matrix Wonder ...
flipkart.com
Loading TMS..
tms.wify.co.in
More than double floor space area - 10 things that are new at the ...
economictimes.indiatimes.com
Narratives in Architecture | Pondy bazaar | CEPT - Portfolio
portfolio.cept.ac.in
Mani Ratnam’s films always have interesting cameos. Here are six of them
scroll.in
Cholamandalam MS General Insurance | Renew & Buy Online
gibl.in
कैंडीडेट R2: फबियानों और मेक्सीम की पहली जीत - ChessBase India
chessbase.in
Cholamandalam MS General Insurance | Renew & Buy Online
gibl.in
Bridges
iitk.ac.in
Paskals Fluids Systems Pvt. Ltd. Fluid Systems Company based in Noida ...
paskals.com
Buy Top G , Donald Trump, Andrew Tate, Tristan Tate, Jordan Peterson ...
desertcart.in
About Kadam
kadamgroup.in
Search
×
Search
Loading...
No suggestions found