Find Your Style
Women
Men
Accessories
Search for clothing, brands, styles...
×
Women
Men
Accessories
Example Of Population In Ecosystem
Search
Loading...
No suggestions found
Organisms and Population Chapter Notes - Biology Class 12 - NEET PDF ...
edurev.in
Plant Population: Optimum Levels, Crop Geometry, Importance, and Factors
adda247.com
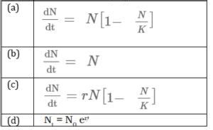
The relationship between population density (Nt) and population growth ...
tardigrade.in
Levels of Organisations in Ecology - Environment Notes
prepp.in
Human Resources (NCERT Class 8 Geography Chapter 6 Notes)
examboard.in
Levels of Organisations in Ecology - Environment Notes
prepp.in
Smallest State in India by Area Wise and Population Wise
vajiramandravi.com
What is r maximum in population growth ? and how it can be estimate
scoop.eduncle.com
Ecosystem Concept Map Template | EdrawMind
edrawmind.wondershare.com
Population Attributes Density, Meaning, Examples, Birth & Death Rate | AESL
aakash.ac.in
Ecosystem Concept Map Template | EdrawMind
edrawmind.wondershare.com
NEET Ecology Notes | Ecosystem, Population, Biodiversity, Environment ...
topprs.in
A bacteria population starts with 400 bacteria and grows at a rate of r ...
brainly.in
Current status of India R&D Ecosystem : Blog by Lingaya's Vidyapeeth
lingayasvidyapeeth.edu.in
Ecological pyramids — lesson. Science CBSE, Class 10.
yaclass.in
Classification of Ecosystem - Page 1 of 8 Classification of Ecosystem ...
studocu.com
Aquatic Ecosystem, Meaning, Types, Example, Structure, Functions
vajiramandravi.com
Make a diagram of an ecosystem. Explain the interdependence of living ...
brainly.in
Ecological Pyramid: Types, Pyramid of Numbers, Diagrams
adda247.com
Conservation of Biosphere — lesson. Social Science, Class 9.
yaclass.in
Our Approach - Wildlife Conservation Trust
wildlifeconservationtrust.org
sample 送料無料でお届けします - その他
portfolio.cept.ac.in
Ecosystem: Introduction and Types - Biology Class 12 - NEET PDF Download
edurev.in
UPSC IAS Preparation Books and Magazines- Civil Services Chronicle
chronicleindia.in
Ecosystem & Components of Ecosystem. - तरुमहिमन्
tarumahiman.in
What are the basic components of the ecosystem?
jagranjosh.com
Biophysical Environment of Deserts | Climate, Soil, Flora, Fauna ...
studento.co.in
Biomes of India - Indian Biodiversity Diverse Landscape - Environment Notes
prepp.in
Balance in an Ecosystem....diagram.... - Brainly.in
brainly.in
Types of Ecosystems, Diagram, Structure, Different Components
adda247.com
example of the 3 types of population distribution - Brainly.in
brainly.in
Ecosystems - Lecture notes 5 - Ecosystems An ecosystem is a grouping of ...
studocu.com
The Living Organism and Their Surroundings Class 6 Worksheet Science
edurev.in
Ecosystems Fact File - Geography - KS2 (teacher made)
twinkl.co.in
Mindmap: Human Health and Diseases Notes | EduRev
edurev.in
The Forest As An Ecosystem
kidsgen.com
Cape Mountain Zebra Population Rises After Near Extinction; Grévy’s ...
downtoearth.org.in
Hadoop Ecosystem:Using Hadoop tools to crunch Big Data
fita.in
Draw a diagram snowing the relationship between the biotic and abiotic ...
brainly.in
Human Impact On Environment KS2 - Twinkl
twinkl.co.in
Ecosystem - NCERT Book of Class 12 Biology
betrained.in
CATALYSE: POWER UP YOUR PEOPLE ECOSYSTEM : Krish Shankar: Amazon.in: Books
amazon.in
Buy Resolving Ecosystem Complexity (Monographs in Population Biology ...
amazon.in
One of the biggest threats to the world’s forests and biodiversity is ...
scroll.in
NCERT Solutions for Class 8 Geography Chapter 5 - Human Resources
edurev.in
The Impact of Urbanization on Biodiversity Conservation
fairgaze.com
Levels of Organisations in Ecology - Environment Notes
prepp.in
CUET Biology Important 100 Questions with Answers
adda247.com
sample 送料無料でお届けします - その他
portfolio.cept.ac.in
Pond Ecosystem Active Learning Model
twinkl.co.in
Ecology and population Flashcards | Quizlet
quizlet.com
Draw the Rainforest Ecosystem Worksheet (teacher made)
twinkl.co.in
Citing lake as an example of a simple aquatic ecosystem, interpret how ...
philoid.in
SATHEE CUET: Chapter 01 Population Distribution, Density, Growth and ...
cuet.iitk.ac.in
Ecosystem - NCERT Book of Class 12 Biology
betrained.in
Ecology and Environment – Population, Ecosystem & Biodiversity
allen.in
Fillable Online caryinstitute Exploring a population - Cary Institute ...
pdffiller.com
Buy Population Genetics with R: An Introduction for Life Scientists ...
amazon.in
drawing neat labelled diagram of Aquatic food chain - Brainly.in
brainly.in
Silver economy and the innovation ecosystem | Meer
meer.com
Decomposition Analysis for Impact of Backward Integration on Input Use ...
ndpublisher.in
The Legal Matrix of Alita Urban Ecosystem
alita.co.in
Why is manufacturing ecosystem an important part of the industry in 2023?
radiantappliances.com
[Solved] What is an example of a natural disturbance in an ecosystem ...
studocu.com
Pasimy 11 Pcs Science Posters For Classroom Ecosystems Teaching Poster ...
desertcart.in
Gaslighting In Spanish - Understanding Mind Games
ixd.anu.edu.in
Ecosystem Structure and Function - ECOL: 401: FUNDAMENTALS OF ECOLOGY ...
studocu.com
Ecosystem Variability along the Estuarine Salinity Gradient: A Case ...
mdpi.com
Information System & Ecosystem Services: Soil as Example: Buy ...
flipkart.com
Malthusian, Marxian and Demographic Transition Models – GKToday
gktoday.in
Population (Class 9 Geography Chapter 6 Notes)
examboard.in
Professional Bio Examples: 29 Work Bios I Keep in My Back Pocket for ...
appsmanager.in
Ecology and Environment – Population, Ecosystem & Biodiversity
allen.in
Buy Introduction to Data Science in Biostatistics: Using R, the ...
amazon.in
DBT — Build your First Python Model | by Varun Singh | Medium
blog.varunsingh.in
Global Perspective of Biodiversity, Climate Change and Food Security
lingayasvidyapeeth.edu.in
Structure and Function of an ecosystem - Zoology - Studocu
studocu.com
Think360.ai launches AAmaze to empower AA Ecosystem; will unlock credit ...
aninews.in
Ecosystem - Scope and Importance - Ecosystem - Scope and Importance ...
studocu.com
Optimum population Theory and Malthusian Theory - This idea was ...
studocu.com
Entry #11 by stanleydxb for Create a graphic that represents the ...
freelancer.in
Decentralized Identity Ownership in Web3 Ecosystems | Kasun AI Insights
kasunsameera.com
Acknowledgement of Country | Examples for Schools | Twinkl
twinkl.co.in
Shaktidoot Scheme has been a game-changer for grassroots sports, says ...
ianslive.in
UN Estimates India Outdoing China in Population Index, World to Rise ...
jagranjosh.com
Forest Ecosystem AND Grassland Ecosystem - Forest and Grassland ...
studocu.com
diagram of human brain ? - Brainly.in
brainly.in
27 of the Best Professional Bio Examples I've Ever Seen [+ Templates ...
appsmanager.in
Bar graph of population of nagaland or population of manipur - Brainly.in
brainly.in
show a neat diagram of binary fission that takes place in Amoeba ...
brainly.in
DRAW A BAR GRAPH OF THE POPULATION FROM 2015 TO 2020 OF MAHARASHTRA AND ...
brainly.in
சூழ்நிலை மண்டலத்தின் முக்கியக் கூறுகள் | Ecosystem and Major components ...
brainkart.in
27 of the Best Professional Bio Examples We've Ever Seen [+ Templates ...
appsmanager.in
Buy Microbial Biodiversity, Biotechnology and Ecosystem Sustainability ...
amazon.in
UP's new logistics policy helping country build integrated, cost ...
economictimes.indiatimes.com
Unlocking The World Of Hdhubu: Your Ultimate Guide
gotango.iservice.co.in
RBSE 12th Science Syllabus 2022-23: Check Latest Rajasthan Board 12th ...
collegedekho.com
PM Modi to launch Rs 1 lakh crore scheme to boost private sector-led R ...
ianslive.in
16 of the Best Facebook Ad Examples That Actually Work (And Why) - Blog
appsmanager.in
1 .Which of the following sequences represents the hierarchy of ...
brainly.in
Plant species with a wide range of genetic distribution evolve into a ...
brainly.in
18 of My Favorite Sample Business Plans & Examples For Your Inspiration ...
appsmanager.in
13.24% increase in digital payments in the fiscal year 2022-23.
iasgyan.in
Make a double bar graph on growth of population in male and female in ...
brainly.in
What is a Fact File? - Answered - Twinkl Teaching Wiki
twinkl.co.in
What is a Dichotomous Key? - Answered - Twinkl Teaching Wiki
twinkl.co.in
A Discussion on “Innovation and Startup Ecosystem Enablers | News ...
francisxavier.ac.in
Microbial Interactions, Growth, and Health of Aquatic Species in ...
mdpi.com
Answer this question - Brainly.in
brainly.in
35 Vision And Mission Statement Examples That Will Inspire Your Buyers ...
appsmanager.in
comparative study of population decade Sikkim and Maharashtra for 5 ...
brainly.in
SEA GEO SURVEYS
seageo.in
Define excretion. Name the excretory organs of a human body. - Brainly.in
brainly.in
27 of the Best Professional Bio Examples We've Ever Seen [+ Templates ...
appsmanager.in
PM Modi accuses TMC of backing infiltrators, endangering national ...
msn.com
PRACTICAL APPROACH TO MULTI-TIERED DISPUTE RESOLUTION CLAUSE IN INDIA ...
agamalaw.in
Press Release: Press Information Bureau
pib.gov.in
SEA GEO SURVEYS
seageo.in
How to use ANFIS Toolbox in MATLAB
lmssolution.net.in
Floods affecting the startup ecosystem in Bangalore
medicircle.in
Related Searches
Biosphere Ecosystem Community Population Organism
Is a Ecosystem
Balanced Ecosystem
NonLiving Things in an Ecosystem
Example of Ecosystem in Biology
Biome Ecosystem Community Population Organism
Ecosystem Examples for Kids
Types of Population in an Ecosystem
Flow of Ecosystem
Biosphere Biome Ecosystem Population Species
Ecosystem Sun
Ecology
Energy Flow in the Ecosystem
Freshwater Ecosystem Diagram
Biodiversity
Trophic Level Examples
Population and Sample Images
What Are the Different Types of Ecosystems
Ecosystem
Example of a Community in an Ecosystem
6 Types of Ecosystems
Examples of Population Ecology
Example of a Forests Population Plants
Ecosystem Popluation Organism
A Ecosystem
Abiotic Factors of an Ecosystem
Population Picture Example
A Diagram of an Ecosystem
Populations in Ecosystems Photo
Biotic Components Examples
Biosphere Ecosystem Community
Communities in a Ecosystem
Example of Species Biodiversity
Forest Ecosystem Kids
Population in Ecosystem Template
Image of 3 Populations in an Ecosystem
Middle School Ecosystem Lesson Plans
Ecosystem Polants
Ecosytstem Drawing
Examples of Special Populations
Population Growth On the Ecosystem Animals Pictires
Graph Showing Interaction of the Various Components of Ecosystem
Example of Organism in Biology
Populations and Ecosystems Easy Diagram
Eycosystemt Cartoon
Ecosystems Populations versus Impact Chart
Invertebrates Animals. Examples
Abiotic vs Biotic Factors Examples
Example of an Ecosystem
Population Ecology Images
Search
×
Search
Loading...
No suggestions found