Find Your Style
Women
Men
Accessories
Search for clothing, brands, styles...
×
Women
Men
Accessories
Example Of Problem Statement Related To Portfolio
Search
Loading...
No suggestions found
How to write the problem statement in a research paper?
projectguru.in
Define Problem Statement
design-thinking.in
Problem statement and cause - Statement of Problem How to enhance ...
studocu.com
Problem Statement - Aicte Final Docx - Final Project : Classification ...
studocu.com
Exhibition system design | CEPT - Portfolio
portfolio.cept.ac.in
RCC G+10 Storey Building | CEPT - Portfolio
portfolio.cept.ac.in
Introduction For Statement Of The Problem - Fill Online, Printable ...
pdffiller.com
AQA/LCB Portfolio Evidence Record Sheet Blank Template
twinkl.co.in
37 - DBMS EXPeriment 01 AIM – Identify real word problem and develop ...
studocu.com
15+ Best Portfolio Website Examples for Inspiration in 2023
hostinger.in
Urban Oasis | CEPT - Portfolio
portfolio.cept.ac.in
How to Get Latest Stock Price in Microsoft Excel
taxguru.in
Investment Analysis And Portfolio Management
tppl.org.in
Pbs - Important - PROBLEM STATEMENT The E-Ticketing system is the ...
studocu.com
How to make an online portfolio in 11 steps
hostinger.in
Design of G +10 RCC building with Capacity Design | CEPT - Portfolio
portfolio.cept.ac.in
S368 - Mini project - Real Estate Booking System using Smart Contract ...
studocu.com
Portfolio Example - Preparing Your Portfolio Developing and maintaining ...
studocu.com
Problem Statement - Policy Problem Problem Statement: High school ...
studocu.com
Revision Notes: AI Project Cycle - Artificial Intelligence for Class 10 ...
edurev.in
Foundation Studio | CEPT - Portfolio
portfolio.cept.ac.in
The exposed pipe problem | CEPT - Portfolio
portfolio.cept.ac.in
A Generalized Measure for the Optimal Portfolio Selection Problem and ...
mdpi.com
What is a financial portfolio? All you need to know
lifestyleasia.com
Android Training Project Problem Statement - Android Training Project ...
studocu.com
Client-Winning Design Portfolio: Strategies & Tips for Aspiring ...
theinteriordesigninstitute.com
How to Create a Portfolio When you don't Have any Samples - Write Freelance
writefreelance.in
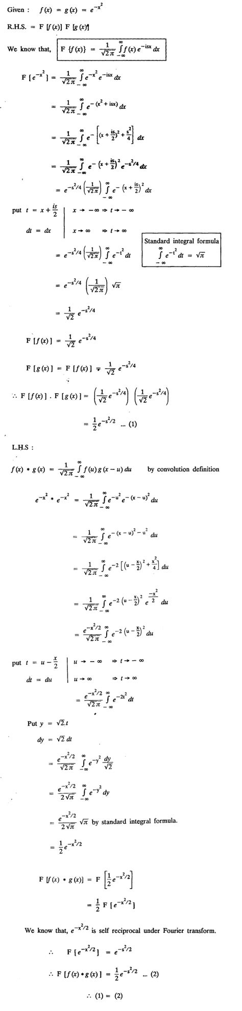
Fourier Transform Pair - Definition, Properties, Proof Statement ...
mech.poriyaan.in
Understanding the Continuity Equation: A Key Principle in Fluid Dynamics
allen.in
AMPHITHEATRE ROOF DESIGN USING TIMBER | CEPT - Portfolio
portfolio.cept.ac.in
25 Web Developer Portfolio Examples from Top Developers
hostinger.in
35 Vision And Mission Statement Examples That Will Inspire Your Buyers ...
appsmanager.in
Top 12 Architecture Portfolios Examples 2025
novatr.com
12 brand positioning statement examples + how to write one | Zendesk India
zendesk.com
Top 12 Architecture Portfolios Examples 2025
novatr.com
2 Examples of Good Personal Statement Examples
indifferentlanguages.in
The Five Ws Prompt Sheet
twinkl.co.in
Pauli's Exclusion Principle - Statement, Examples, Practice Problems ...
aakash.ac.in
Kirchhoff's Laws - Statement, Formula, Solved Example Problems
eee.poriyaan.in
Pauli's Exclusion Principle - Statement, Examples, Practice Problems ...
aakash.ac.in
Statements & Reports: Downloading E-Statements | American Express
americanexpress.com
Pauli's Exclusion Principle - Statement, Examples, Practice Problems ...
aakash.ac.in
Solving a Design Problem | CEPT - Portfolio
portfolio.cept.ac.in
Investment Platform in India | Start your SIP - Moneybase
moneybase.in
Problem Statement || Council of Innovation Management
innovationmanagement.in
25 Web Developer Portfolio Examples from Top Developers
hostinger.in
15+ Best Portfolio Website Examples for Inspiration in 2024
hostinger.in
25 Web Developer Portfolio Examples from Top Developers
hostinger.in
Spring semester | CEPT - Portfolio
portfolio.cept.ac.in
Python Final Project Problem Statement - Introduction You have ...
studocu.com
Grade R: Word Problems to 10 Around the House
twinkl.co.in
Sample Dissertation Overview - The methods used for investigating the ...
studocu.com
Features | MProfit
mprofit.in
Maya - Architecture teacher - ₹5303/h
superprof.co.in
The Exposed Pipe Problem | CEPT - Portfolio
portfolio.cept.ac.in
The Exposed Pipe Problem | CEPT - Portfolio
portfolio.cept.ac.in
The exposed pipe problem | CEPT - Portfolio
portfolio.cept.ac.in
SPRING SEMESTER | CEPT - Portfolio
portfolio.cept.ac.in
Buy 2024 CFA Program Curriculum Level I Box Set: Quantitative Methods ...
amazon.in
how to make science portfolio class 9 - Brainly.in
brainly.in
The exposed pipe problem | CEPT - Portfolio
portfolio.cept.ac.in
A216 - DFR VSFSDA S - Flutter AI Chatbot using Dialog Flow App ...
studocu.com
How to Solve Guesstimates. A semi-guide to solving these engaging… | by ...
soumyagupta.in
R.C.C STAIRCASE | CEPT - Portfolio
portfolio.cept.ac.in
How to Determine Sales Turnover From Financial Statements - India ...
1investing.in
Hess Law of Constant Heat Summation: Hess Law Statement with Example ...
aakash.ac.in
R.C.C STAIRCASE | CEPT - Portfolio
portfolio.cept.ac.in
Buy Financial Statement Analysis (IRWIN ACCOUNTING) Book Online at Low ...
amazon.in
Corporate Disclosure Statement Example - Fill Online, Printable ...
pdffiller.com
The exposed pipe problem | CEPT - Portfolio
portfolio.cept.ac.in
Buy USA and International Mathematical Olympiads 2005: Examples ...
amazon.in
Addition and Subtraction | Mixed Word Problems for Grade 4 PDF
twinkl.co.in
Be Curious Movement: A systems design problem | CEPT - Portfolio
portfolio.cept.ac.in
FOUNDATION LEVEL STUDIO | CEPT - Portfolio
portfolio.cept.ac.in
What Is Unemployment - Introduction ‘The definition of an unemployed ...
studocu.com
FOUNDATION STUDIO II | CEPT - Portfolio
portfolio.cept.ac.in
Example expands travel portfolio - Telum Media
telummedia.com
R.I.S.E Indore | CEPT - Portfolio
portfolio.cept.ac.in
AS 18 - Related Party Disclosure (Notes with examples) - Indian Accounting
indianaccounting.in
Problem statement - xcfgvf - Problem Statement for Deep Learning ...
studocu.com
Amazon.in: Buy Financial Statement Analysis Book Online at Low Prices ...
amazon.in
Gym management system project report - Introduction of the Gym ...
studocu.com
Addition and Subtraction Word Problem Challenge Cards for 1st-2nd Grade
twinkl.co.in
Solving a Design Problem | CEPT - Portfolio
portfolio.cept.ac.in
The Exposed Pipe Problem | CEPT - Portfolio
portfolio.cept.ac.in
The Exposed Pipe Problem | CEPT - Portfolio
portfolio.cept.ac.in
R.C.C STAIRCASE | CEPT - Portfolio
portfolio.cept.ac.in
Fillable Online medical source statement of ability to do work-related ...
pdffiller.com
Buy 2025 CFA Program Curriculum Level I: Quantitative Methods ...
amazon.in
SOP for Automotive Engineering: How to Write a MS Statement of Purpose ...
yocket.com
R.I.S.E Indore | CEPT - Portfolio
portfolio.cept.ac.in
SPECTRUM OF BUILDING REGULATION AND RELATED COSTS | CEPT - Portfolio
portfolio.cept.ac.in
Blackstone portfolio company R Systems acquires Novigo Solutions in ...
english.varthabharati.in
The Exposed Pipe Problem | CEPT - Portfolio
portfolio.cept.ac.in
Pa R A P 3517 - Fill Online, Printable, Fillable, Blank | pdfFiller
pdffiller.com
R.C.C STAIRCASE | CEPT - Portfolio
portfolio.cept.ac.in
The Exposed Pipe Problem | CEPT - Portfolio
portfolio.cept.ac.in
R.C.C STAIRCASE | CEPT - Portfolio
portfolio.cept.ac.in
The exposed pipe problem | CEPT - Portfolio
portfolio.cept.ac.in
The exposed pipe problem | CEPT - Portfolio
portfolio.cept.ac.in
27 of the Best Professional Bio Examples We've Ever Seen [+ Templates ...
appsmanager.in
Buy Claustrophobic and Anxiety Related Reactions During MRI and Ct ...
amazon.in
U21105 | CEPT - Portfolio
portfolio.cept.ac.in
The Exposed Pipe Problem | CEPT - Portfolio
portfolio.cept.ac.in
Editable Learning Portfolio Cover | Kids' Portfolio Template
twinkl.co.in
Spectrum of building Regulations & Related Cost | CEPT - Portfolio
portfolio.cept.ac.in
18 Printable sample professional portfolio Forms and Templates ...
pdffiller.com
N R Agarwal Industries - 10 stocks Mukul Agrawal bought in September ...
economictimes.indiatimes.com
Useful Chart for a Construction Manager
ashutoshp.in
Switch-Case Statement in C programming: - Smart Learning
thedigitalfk.in
FOUNDATION STUDIO 2 | CEPT - Portfolio
portfolio.cept.ac.in
Here’s How To Build An All-Weather Portfolio
insights.dsij.in
The 23 Best Graphic Design Portfolios We've Ever Seen, & How to Start ...
appsmanager.in
Ujaas- A menstrual health initiative
ujaas.in
Library of Culture | CEPT - Portfolio
portfolio.cept.ac.in
Challenges before Indian agricultural sector - Farmer News: Government ...
eng.ruralvoice.in
UG BARCH Studio 4 | Algorithmic Thinking – A Parametric Approach To ...
portfolio.cept.ac.in
Consolidated account statement - How to review your mutual fund ...
economictimes.indiatimes.com
Solved problems (normal distribution) - SOLVED PROBLEMS Example X is ...
studocu.com
A R C H U F E R | CEPT - Portfolio
portfolio.cept.ac.in
Related Searches
Statement of the Problem with Questions Example
Project Charter Problem Statement Example
Sample Problem Statement for Project
Problem Statement in Case Study Example
Problem Statement Examples for Project
Example of a Bad Problem Statement
Statement of the Problem Capstone Examples
Problem Statement Examples PDF
Example of a Problem Statement Summary
Problem Statement Example in Apparel Clothing
Manufacturing Problem Statement Example
Statement of the Problem Example About School
Statement of the Problem Example Chapter 1
Problem Statement Psychology. Examples
Problem Statement Examples for Freelance Photographer
Statement of the Problem Parameters Example
Problem Statement Example in Educational Project
Statement of the Problem Sample Entry
Physics Research Problem Statements Example
Problem Statement Examples in Business
Structure for a Problem Statement
Statement of the Problem Diagram
Sample Format of Statement of the Problem
Portfolio Past Project Page Example
Problem Statement Sample for Travel App
Problem Statement Examples for Supply Chain
Problem Statement Examples for Project Kids
Loss of Sales Problem Statement Examples
Project Example for Portfolio System
School Statement Example About a Student Issue
Problem Statement Examples Class 10
Example of Community Background in Portfolio
Statement of the Problem and Sub Problems Format
Example of Situational Problem DT Portfolio
Example of the Statmnent of the Problem
Marketing Research Problem Statement Examples
Examples of a Good Military Problem Statement
Statement of the Problem BSU Template
Problem Statement for Water Problems Examples
UX Problem Statement Examples
Statement of the Problem Sample Picture of Sale and Inventory
Example of Portfolio Tle
Example of Portfolio Evidence Our Relationship
Education Problem Statement Examples
Army Problem Statement Examples
Example of Documentation Portfolio
Example of Portfolio Information Sheet
Well Made Problem Statement Examples
5W1h Problem Statement Examples
Example of Portfolio Highlights
Search
×
Search
Loading...
No suggestions found