Find Your Style
Women
Men
Accessories
Search for clothing, brands, styles...
×
Women
Men
Accessories
Example Of Project Assistant Portfolio
Search
Loading...
No suggestions found
Project Portfolio Dashboard - PPT Template for Multiple Projects – ITSM ...
itsm-docs.com
15+ Best Portfolio Website Examples for Inspiration in 2023
hostinger.in
helpBIOTECH
helpbiotech.co.in
helpBIOTECH
helpbiotech.co.in
helpBIOTECH
helpbiotech.co.in
How To Create A Graphic Design Portfolio For Beginners
animationcoursesahmedabad.com
Buy User Friendly Project Charter Template Online in India - Etsy
etsy.com
How to Write the Perfect Project Manager Resume - Blog
appsmanager.in
HP Una Microbiologist/Project Assistant Openings
helpbiotech.co.in
Printable Editable Student Progress Portfolio - Twinkl USA
twinkl.co.in
CPD Portfolio Template | Twinkl Educational Resources
twinkl.co.in
IIT Delhi Recruitment 2024: Apply for 51 Project Assistant Vacancies
jagranjosh.com
helpBIOTECH
helpbiotech.co.in
Apply Now !! For the Post of Project Assistants Invited by CSIR-IHBT
scoop.eduncle.com
Buy Architecture Portfolio Template | M.arch Application | US Letter ...
etsy.com
Introducing Project G-Assist: A Preview Of How AI Assistants Can ...
nvidia.com
R.I.S.E Indore | CEPT - Portfolio
portfolio.cept.ac.in
Buy Risk Management in Portfolios, Programs, and Projects: A Practice ...
amazon.in
545737271 Voice Assistant Project Report - Lovely Professional ...
studocu.com
Assistant Project Manager Cover Letter Examples India
resumewritingservices.in
Sushil Kumar – Store Assistant | Personal Portfolio
sushilportfolio.in
The 23 Best Graphic Design Portfolios We've Ever Seen, & How to Start ...
appsmanager.in
helpBIOTECH
helpbiotech.co.in
25 Web Developer Portfolio Examples from Top Developers
hostinger.in
R.C.C. Studio | CEPT - Portfolio
portfolio.cept.ac.in
Client-Winning Design Portfolio: Strategies & Tips for Aspiring ...
theinteriordesigninstitute.com
The 23 Best Graphic Design Portfolios We've Ever Seen, & How to Start ...
appsmanager.in
25 Web Developer Portfolio Examples from Top Developers
hostinger.in
10 Examples of AI in HR to Transform Your Workplace
uknowva.com
Learning Journey Book Cover
twinkl.co.in
Top 12 Architecture Portfolios Examples 2025
novatr.com
Voice Control AI Robot - Personal Assistant Full Working Project Kit ...
harishprojects.com
Architecture Portfolio Layout: Craft Designs That Impress 2025
novatr.com
Chatbots In HR Tech: How Will These Revamp The HR Ecosystem?
uknowva.com
How AI Assistants Can Do Work for You: 5 Examples | Salesforce
salesforce.com
Everything You Need To Know About Voice User Interface (VUI) Design
asesasoft.com
Voice-Controlled Smart Homes: How Alexa , Siri and ok google Can Simpl ...
leccygenesis.com
Bill Invoice Format in Excel | Free Download - Wise
wise.com
Editable Schedule for Special Education Assistants
twinkl.co.in
On the Security and Privacy Challenges of Virtual Assistants
mdpi.com
R.C.C STAIRCASE | CEPT - Portfolio
portfolio.cept.ac.in
Buy Effectiveness in Project Portfolio Management Book Online at Low ...
amazon.in
Furniture Bill Format Download | Free Invoice Template For Furniture Shop
stockregister.in
AIIMS Raipur Biochemistry Senior Project Assistant Opening
helpbiotech.co.in
ER Diagram for E-Learning Management System for You
edrawmax.wondershare.com
Investment Analysis And Portfolio Management
tppl.org.in
helpBIOTECH
helpbiotech.co.in
Project Scope Management Templates – ITSM Docs - ITSM Documents & Templates
itsm-docs.com
URBAN GREENS | CEPT - Portfolio
portfolio.cept.ac.in
R.C.C STAIRCASE | CEPT - Portfolio
portfolio.cept.ac.in
IIT(BHU) - Positions Available | Indian Institute of Technology (BHU)
iitbhu.ac.in
Certified Project Coordination Assistant Training Course
skillcouncil.in
tectonic operations - house for TAs | CEPT - Portfolio
portfolio.cept.ac.in
SCTIMST Trivandrum Molecular/Cell Biology Project Assistant Walk IN
helpbiotech.co.in
helpBIOTECH
helpbiotech.co.in
Blue Cloud and Data Sovereignty in Finance
investglass.com
helpBIOTECH
helpbiotech.co.in
Panjab University Biotech/Microbiology Project Assistant Walk IN
helpbiotech.co.in
Hindi: Know how to become a Project Assistant |Naukri
jagranjosh.com
helpBIOTECH
helpbiotech.co.in
Custom Gradle wrapper path - Godot Kotlin/JVM
godot-kotl.in
Buy The Four Pillars of Portfolio Management: Organizational Agility ...
desertcart.in
R.C.C STAIRCASE | CEPT - Portfolio
portfolio.cept.ac.in
Textiles Committee Project Assistant Recruitment 2024,Check Exam ...
adda247.com
Nizam College Hyderabad Project Technical Assistant Openings ...
helpbiotech.co.in
webinex
webinex.in
webinex
webinex.in
INCOIS, Hyderabad Recruitment 2025 - Apply Online for 61 Project ...
careers247.in
Buy Implementing Project Portfolio Management Book Online at Low Prices ...
amazon.in
ARI Pune Project Assistant Online Form 2025 - Project Assistant ...
govtvacancyalert.com
KAU Plant Biotech Project Assistant Opening
helpbiotech.co.in
Penny Stock Under Rs 10: Zero Bank Debt Company Expands R&D Portfolio ...
insights.dsij.in
Early Years Apprenticeship Standard Evidence Checklist
twinkl.co.in
helpBIOTECH
helpbiotech.co.in
Here’s How To Build An All-Weather Portfolio
insights.dsij.in
CSCE, Pune University Project Assistant Openings
helpbiotech.co.in
R.I.S.E Indore | CEPT - Portfolio
portfolio.cept.ac.in
R A W - the organic eatery | CEPT - Portfolio
portfolio.cept.ac.in
R A W - the organic eatery | CEPT - Portfolio
portfolio.cept.ac.in
2 Months Job Oriented INDUSTRIAL QUALITY CONTROL & ASSURANCE | Online ...
helpbiotech.co.in
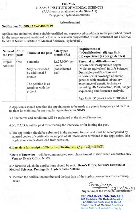
NIMS Hyderabad Molecular Biology Project Assistant Vacancy | 25K per Month
helpbiotech.co.in
Kerala PSC Junior Project Assistant Syllabus 2023, Download PDF
adda247.com
Panjab University Biotech/Microbiology Project Assistant Walk IN
helpbiotech.co.in
helpBIOTECH
helpbiotech.co.in
NAL Recruitment 2020, 41 Vacancies for Project Assistant & Other Posts ...
jagranjosh.com
Home [shrishtiwebsolutions.com]
shrishtiwebsolutions.com
Digital Portfolio | Bosch Rexroth India
boschrexroth.com
Digital Portfolio | Bosch Rexroth India
boschrexroth.com
helpBIOTECH
helpbiotech.co.in
How To Become a Successful Transportation Engineer in 2026?
novatr.com
helpBIOTECH
helpbiotech.co.in
R.I.S.E Indore | CEPT - Portfolio
portfolio.cept.ac.in
helpBIOTECH
helpbiotech.co.in
UoH Plant Molecular Biology/Biochemistry Research Assistant Opening
helpbiotech.co.in
Tocklai Tea Research Institute Recruitment 2025 - Project Assistant ...
dailyassamjob.in
R.C.C STAIRCASE | CEPT - Portfolio
portfolio.cept.ac.in
JRF Project Assistant
cbs.ac.in
Pilot Project and Live Residential Project, Ahmedabad | CEPT - Portfolio
portfolio.cept.ac.in
ICMR Project Assistant Recruitment 2023
sarkarinaukriexams.com
CIMAP Hyderabad Recruits Project Assistants in Life Sciences
helpbiotech.co.in
R A W - the organic eatery | CEPT - Portfolio
portfolio.cept.ac.in
Bilaspur University Microbiology/Biotech Field Assistant Walk IN
helpbiotech.co.in
K PLUS - แอปอันดับ 1 ด้านดิจิทัลแบงก์กิ้ง แอปโอนเงิน จ่ายบิล รับเงิน ...
kasikornbank.com
R.I.S.E Indore | CEPT - Portfolio
portfolio.cept.ac.in
helpBIOTECH
helpbiotech.co.in
R A W - the organic eatery | CEPT - Portfolio
portfolio.cept.ac.in
JRF Project Assistant
cbs.ac.in
R.C.C COLUMN DESIGN AND DETAILING | CEPT - Portfolio
portfolio.cept.ac.in
helpBIOTECH
helpbiotech.co.in
Indian Institute of Tropical Meteorology Recruitment 2017– 79 Project ...
govtjobsportal.in
Vignan's Biotech Project Assistant Vacancy for DST (SEED) Project
helpbiotech.co.in
helpBIOTECH
helpbiotech.co.in
A R C H U F E R | CEPT - Portfolio
portfolio.cept.ac.in
helpBIOTECH
helpbiotech.co.in
A Comprehensive Guide to Contact Roadrunner Email Support : Lisa James ...
amazon.in
Postal Assistant (PA) Salary Slip 2022 | Postal Assistant Salary ...
postalstudy.in
The 23 Best Graphic Design Portfolios We've Ever Seen, & How to Start ...
appsmanager.in
R.C.C STAIRCASE | CEPT - Portfolio
portfolio.cept.ac.in
R.C.C STAIRCASE | CEPT - Portfolio
portfolio.cept.ac.in
helpBIOTECH
helpbiotech.co.in
Related Searches
Project Manager Portfolio Sample
Project Management Portfolio Examples
Project Portfolio Template
Project Portfolio Design
Construction Project Portfolio Example
Engineering Portfolio Example
Portfolio Report Example
Portfolio Layout Samples
Portfolio Project Page
Portfolio Road Map Template
Project Portfolio Template Excel
Graphic Design Portfolio Cover
Software Project Example
Resume Portfolio Sample
Project Portfolio Dashboard Template
Science Portfolio Examples
Portfolio Past Project Page Example
Example of Project Portfolio Management Placemat
Interior Design Portfolio Ideas
Example Project Portfolio for Resignation
Academic Portfolio Examples
Project Portfolio Infographic
Graduate Portfolio Examples
Project Program Portfolio Examples
Portfolio for Work Example
Project Portfolio Examples Templates
Example Project Portfolio for Research
School Portfolio Examples
Portfolio Final Project Book Example
Electronic Portfolio Examples
Project Portfolio Format
Senior Portfolio Examples
Preschool Portfolio Examples
Project Portfolio Example Folder
Career Portfolio Samples
Company Portfolio Examples
Sample Project Portfolio Dashboards
Examples of Creative Portfolio
Architecture Portfolio Layout
Designer Portfolio Examples
Document Portfolio Project Example
Business Project Experience Portfolio Example
Professional Portfolio Examples
Model Portfolio Examples
Project List Portfolio Examples
Project Portfolio Example for Interview
Project Management Work Plan Template
Fashion Design Portfolio Samples
Example of Brand Portfolio
Project Management Checklist Template
Search
×
Search
Loading...
No suggestions found