Find Your Style
Women
Men
Accessories
Search for clothing, brands, styles...
×
Women
Men
Accessories
Example Of Rational Truth
Search
Loading...
No suggestions found
Give an example of two irrational numbers whose sum and product both ...
brainly.in
give an example of two irrational numbers whose : (A) sum is rational ...
brainly.in
Infographics: Rational Numbers - Mathematics (Maths) Class 7 (Old NCERT ...
edurev.in
Eighth Grade Identify Rational and Irrational Numbers Two Truths and ...
twinkl.co.in
Find 3 rational numbers between 2/3 and 3/4 - CBSE Class 8 Maths ...
ask.learncbse.in
விகிதமுறு இயற்கணித சார்பின் தொகையிடல் - வகை, எடுத்துக்காட்டு கணக்குகள் ...
brainkart.in
Mind Map- Rational Numbers - Mathematics (Maths) Class 7 (Old NCERT ...
edurev.in
Legislatures must reclaim truth, evidence, rational debate to safeguard ...
msn.com
Rational Love and Irrational Passion - Light Of Truth
lightoftruth.in
Truth Tables and Tautology - Truth Tables and Tautology Mathematics ...
studocu.com
50+ rational expressions equations and functions worksheets on Quizizz ...
quizizz.com
விகிதமுறு இயற்கணித சார்பின் தொகையிடல் - வகை, எடுத்துக்காட்டு கணக்குகள் ...
brainkart.in
every fraction is a rational number, but every rational number is not ...
brainly.in
Rational Numbers Formula: Definition, Types, Properties And Examples
pw.live
make a attractive chart of properties of rational numbers - Brainly.in
brainly.in
Question:24. Find for rational number equivalent to the rational number ...
brainly.in
if x = 5/4-π state whether x+5/x is rational and irrational number ...
brainly.in
Find three rational numbers between -1/3 and 1/3 - Brainly.in
brainly.in
📌 𝐅𝐑𝐄𝐄 Thinking like an Economist: A Guide to Rational Decision Making ...
teletype.in
Eighth Grade Ordering Rational and Irrational Numbers on a Number Line
twinkl.co.in
Rational Numbers- Definition, Symbol, Properties, Types and Examples
adda247.com
Find ten rational numbers between -2/5 and 1/2 - CBSE Class 8 Maths ...
ask.learncbse.in
Rational Numbers- Definition, Symbol, Properties, Types and Examples
adda247.com
please explain me how to find more than 2 rational number between two ...
brainly.in
Find five rational numbers between -,3 and -2 - Brainly.in
brainly.in
give an example of two irrational numbers whose difference is an ...
brainly.in
Finding The Truth Values of Predicates (Examples) Video Lecture - Crash ...
edurev.in
Class 9 Maths Chapter 1 Question Answers - Number System
edurev.in
does rational number satisfy commutative property under subtraction ...
brainly.in
Rational Numbers - NCERT Book of Class 8 Mathematics
betrained.in
2.(-;)++ )is an example to show that (a) addition of rational numbers ...
brainly.in
12-+Statement+of+Truth - Statement of Truth Statement of Truth 1 The ...
studocu.com
Rational Numbers- Definition, Symbol, Properties, Types and Examples
adda247.com
Examples: Finding rational numbers between 2 rational numbers (Part- 2 ...
edurev.in
Rational Numbers Poster
twinkl.co.in
Truth In Lending Disclosure Statement Form Fillable | pdfFiller
pdffiller.com
Decision Making Statement in C++ - C++ Tutorial
sitesbay.com
What is a Witness Statement?| Teaching Wiki - Twinkl
twinkl.co.in
(BRAIN BOX )A rational number can be made by dividing two integrs ...
brainly.in
Example: Plotting Rational Numbers on a Number Line Video Lecture ...
edurev.in
Eighth Grade Comparing Rational and Irrational Numbers Worksheet
twinkl.co.in
find a rational number between -2/3 and 1/4 - Brainly.in
brainly.in
விகிதமுறு இயற்கணித சார்பின் தொகையிடல் - வகை, எடுத்துக்காட்டு கணக்குகள் ...
brainkart.in
What Is Telling the Truth? Worksheet - Teaching Resource - Twinkl
twinkl.co.in
Violence seems rational w... | Quotes & Writings by Paul Ruth | YourQuote
yourquote.in
find any five rational numbers between 2 and 3 using mean method ...
brainly.in
How to represent rational numbers on number line ( do any five examples ...
brainly.in
விகிதமுறு இயற்கணித சார்பின் தொகையிடல் - வகை, எடுத்துக்காட்டு கணக்குகள் ...
brainkart.in
விகிதமுறு இயற்கணித சார்பின் தொகையிடல் - வகை, எடுத்துக்காட்டு கணக்குகள் ...
brainkart.in
Origines Sacrae or a Rational Account of the Grounds of Christian Fait ...
amazon.in
விகிதமுறு கோவைகள் மீதான செயல்கள் - எடுத்துக்காட்டு, தீர்வு | கணக்கு ...
brainkart.in
Class 9 Maths Chapter 1 Question Answers - Number System
edurev.in
A third example of graphing a rational function Video Lecture ...
edurev.in
Write four more rational numbers in each of the following patterns ...
ask.learncbse.in
Tautology and Contradiction - Definition, Examples, Truth Table
adda247.com
is (3√2)² rational number - Brainly.in
brainly.in
Islamophobia: A Rational Fear (The Struggle for Truth, Democracy, and ...
amazon.in
Rational Faith: Proof of the Existence of God, the Falsity of Atheism ...
amazon.in
விகிதமுறு இயற்கணித சார்பின் தொகையிடல் - வகை, எடுத்துக்காட்டு கணக்குகள் ...
brainkart.in
விகிதமுறு கோவைகள் மீதான செயல்கள் - எடுத்துக்காட்டு, தீர்வு | கணக்கு ...
brainkart.in
Role-Play on Truthfulness | Truth vs Lie Quiz Cards
twinkl.co.in
Eighth Grade Classifying Numbers as Rational or Irrational Worksheet
twinkl.co.in
verify the associative property for addition and multiplication of the ...
brainly.in
Rational Physicians-The Journal
iihp.in
find five rational numbers between 4by 3 and 3by2 by lcm. method ...
brainly.in
[Video] Arrange the following rational numbers in ascending order: (A ...
cracku.in
விகிதமுறு கோவைகள் மீதான செயல்கள் - எடுத்துக்காட்டு, தீர்வு | கணக்கு ...
brainkart.in
Q2. BREAK THE CODE Solve this riddle by reducing each rational number ...
brainly.in
Demultiplexers - Operation, Block diagram, Example, Truth Table ...
cse.poriyaan.in
Tautology and Contradiction - Definition, Examples, Truth Table
adda247.com
In each of the following determine rational numbers a and b: (i) √√3-1 ...
brainly.in
explain,how irrational numbers differ from rational numbets ? - Brainly.in
brainly.in
Find the rational and two irrational no. between 5 and 6. - Brainly.in
brainly.in
Post-Truth World: Scientists Pinpoint Exact Time Rational Thinking ...
indiatimes.com
விகிதமுறு இயற்கணித சார்பின் தொகையிடல் - வகை, எடுத்துக்காட்டு கணக்குகள் ...
brainkart.in
Rational Behaviour and Omniscience - Intelligent Agents and Problem ...
cse.poriyaan.in
Important Questions for Class 8 Maths - Rational Numbers
edurev.in
Tautology and Contradiction - Definition, Examples, Truth Table
adda247.com
Two Truths and a Lie Worksheet / Worksheet (teacher made)
twinkl.co.in
Mind map for Rational numbers - Brainly.in
brainly.in
Insert 4 rational numbers between 1/4 and 13/50 - Brainly.in
brainly.in
PPT: Rational Numbers - Mathematics (Maths) Class 7 (Old NCERT) PDF ...
edurev.in
two truths and a lie examples funny — Free Android Card Game
coeut.iitm.ac.in
விகிதமுறுச் சார்புகள் - விகிதமுறு அசமன்பாடுகள், பகுதி பின்னங்கள், ஒரு ...
brainkart.in
The Wire: The Wire News India, Latest News,News from India, Politics ...
thewire.in
TWO TRUTHS AND A LIE EXAMPLES FUNNY
mycruise.kerala.gov.in
Chapter notes: Rational Numbers - Mathematics Class 8 ICSE PDF Download
edurev.in
2 Truths and a Lie Game - Truth or Lie Game
twinkl.co.in
NCERT Exemplar Solutions: Rational Numbers- 1 - Mathematics (Maths ...
edurev.in
Rationalise the denominator 1/7+3√2 - Brainly.in
brainly.in
Rewrite the following rational numbers in the simplest form : - CBSE ...
ask.learncbse.in
Rational Physicians-The Journal
iihp.in
Rational Numbers Class 8 PPT FREE Download
edurev.in
Virtual Labs
de-iitr.vlabs.ac.in
Telling the Truth Social Situation (teacher made) - Twinkl
twinkl.co.in
Rational Numbers Chapter Notes - Mathematics Class 7 ICSE PDF Download
edurev.in
Covid management: Mizoram sets new example - Light Of Truth
lightoftruth.in
Affidavit Of Truth - Fill and Sign Printable Template Online
uslegalforms.com
1. Represent the truth of the statement: All rational numbers are real ...
brainly.in
* Find three rational number between 1. 4/13 and 1/13 2. -7/10 and 11/ ...
brainly.in
Databases: Rational algebra
gateoverflow.in
classify the following as rational or irrational numbers .(3rd bit ...
brainly.in
Virtual Labs
de-iitr.vlabs.ac.in
Rational expectations - 7 Lucas Supply Curve 5.7 Lucas’ Imperfect ...
studocu.com
15.Find three rational numbers between and -2 /3 and -2/3 - Brainly.in
brainly.in
Truth in our words, Compa... | Quotes & Writings by Dr. Yumnam Nelson ...
yourquote.in
Find three different irrational numbers between the rational numbers 5/ ...
ask.learncbse.in
விகிதமுறு கோவைகள் மீதான செயல்கள் - எடுத்துக்காட்டு, தீர்வு | கணக்கு ...
brainkart.in
Class 9 Maths Chapter 1 Question Answers - Number System
edurev.in
2 rational numbers between 0.61 and 0.62 - Brainly.in
brainly.in
windows 11 ticense 2 truths and a lie examples for adults — Free ...
irma.ac.in
Subjective Type : 9. Find the rational zeroes of the polynomial 2x³ ...
brainly.in
விகிதமுறு இயற்கணித சார்பின் தொகையிடல் - வகை, எடுத்துக்காட்டு கணக்குகள் ...
brainkart.in
USD/INR Cracks Big: Falls 2% in 4 Days! | Investing.com India
in.investing.com
Class 7 Maths Chapter 1 Question Answers - Rational Numbers
edurev.in
விகிதமுறுச் சார்புகள் - விகிதமுறு அசமன்பாடுகள், பகுதி பின்னங்கள், ஒரு ...
brainkart.in
விகிதமுறுச் சார்புகள் - விகிதமுறு அசமன்பாடுகள், பகுதி பின்னங்கள், ஒரு ...
brainkart.in
விகிதமுறு எண்களின் பண்புகள் - எண்கள் | அலகு 1 | 8 ஆம் வகுப்பு கணக்கு ...
brainkart.in
represent the following rational numbers on a same number line a) -5/3 ...
brainly.in
விகிதமுறுச் சார்புகள் - விகிதமுறு அசமன்பாடுகள், பகுதி பின்னங்கள், ஒரு ...
brainkart.in
Related Searches
Rationalism Examples
Examples of Rationality
Example of a Rationale for a Lesson Plan
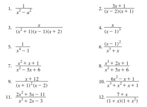
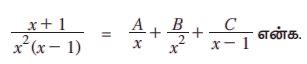
Example of Rational Equation
Picture of Being Rational with Answers
Logical Truth Examples
Sample of Rationale On Seminar
Images of Rationale
Rational Function Examples
Rational Number Equations Examples
Examples Rational Thougts
Rational Ideas/Pictures
Examples of Rational Reasononing
What Rational Ideas/Pictures
Example of Rational Truth in Philosophy
Rational Ela Example
Example of Correspondence Theory of Truth
Rationale Physics Example
Rational Group Example
Quotes That Truth Is Rational
Historic Truth Examples
Empirical Truth Example
Example of Rational Soul as a Student
Rational Use Image for Thesis
The Process of Rational Decision-Making Chart
Truth Examples Drawings
Complex Truth Example
Pictures of Example of Responsibilty for Kids in School
Rational Behavior Examples
Correspondence Theory of Truth Diagram
Picture of Communication Process Example
Rationale Animation
Bertrand Russell the Correspondence Theory of Truth Diagram
Example of Elemets Shape Forms
Rashnality
Rationale Statement Examples for Education
Examples of Truth
Example of a Rationale
Example of Rational Function
Example of Rationality
Rational Function Magazine
Types of Rationality
Concept of Rational Functions Symbol
Example Collage Poetry Examples for Anti Rationalism
Truth Statement Examples
Rationality Examples
Oddly Rational Functions
Always Be Rational Poster
Correspondence Theory of Truth Moore Quote
Correspondence Theory Example
Search
×
Search
Loading...
No suggestions found