Find Your Style
Women
Men
Accessories
Search for clothing, brands, styles...
×
Women
Men
Accessories
Example Of Reaction Time In Football
Search
Loading...
No suggestions found
All You Need To Know About The Offside Rule In Football
indiatimes.com
Guglielmo Vicario's injury set to force Tottenham into new goalkeeper ...
skysports.com
Evaluation of Reaction Time during the One-Leg Balance Activity in ...
mdpi.com
UKS2 Football - 8 Lesson Plans and List of Football Skills
twinkl.co.in
VAR in the Premier League: The big decisions explained - ESPN
espn.in
David Beckham’s Classy Reaction When Brooklyn Left Football Proves He's ...
timesnownews.com
Order Of Reaction : Zero Order And First Order | Science Vision
sciencevision.in
VAR is back in the Premier League! How it's changed for 2020-21 - ESPN
espn.in
FORZA Floor Matrix Goalkeeper Ball Deflector | Net World Sports
networldsports.in
Configure the Input and Output Safety Connection Reaction Time Limits
rockwellautomation.com
Drivers’ Psychomotor Reaction Times Tested with a Test Station Method
mdpi.com
Xtra Time Football Turf
tournaments360.in
Drivers’ Psychomotor Reaction Times Tested with a Test Station Method
mdpi.com
Write a report for paper by using the infomation given below A football ...
brainly.in
Reaction time test - Off-topic - Forum | RealmEye.com
realmeye.com
Football League 2025 | Download and play on PC – Google Play Store
play.google.com
Buy BlazePod Reaction Training Platform Improves Reaction Time And ...
amazon.in
American Football Monthly Football Player Evaluation Form - Fill Online ...
football-player-evaluation-form.pdffiller.com
Football Session Plan - Fill and Sign Printable Template Online
uslegalforms.com
Chemical Kinetics Formula - Rate Reaction, Rate Equations, Rate Laws
pw.live
FORZA GK Reflex Football | Net World Sports
networldsports.in
Cat Reaction Time: Just How Fast is Your Furry Friend? | Supertails
supertails.com
Order Of Reaction : Zero Order And First Order | Science Vision
sciencevision.in
Order of Reaction - Definition, Types, Formula and Methods
careerpower.in
Decomposition Reaction Example, Types, Definition, Formula
adda247.com
Elimination Reactions - Mechanism, Types and Examples.
allen.in
Exothermic Reaction Examples, Equation, Definition for Class 10
adda247.com
Oxidation and Reduction Definition and Example in Chemistry
adda247.com
Concept Explanation
abhyasonline.in
Combination reaction Examples — lesson. Science CBSE, Class 10.
yaclass.in
Buy A-Champs ROX Flash Reflex Reaction and Cognitive Training Kit - LED ...
desertcart.in
Combination reaction Examples — lesson. Science CBSE, Class 10.
yaclass.in
in a reaction if the concentration of reaction .A is tripled the rate ...
brainly.in
Endothermic Reaction Examples with Equations
adda247.com
What is Cofactors and Coenzymes: Types, Structure, Functions and ...
biologynotes.in
What are addition reaction? Definition, Types and Importance ...
aakash.ac.in
Exothermic Reaction in Chemistry: Definition, Types and Importance | AESL
aakash.ac.in
Reaction Mechanism Chemistry - Organic Chemistry PDF Download
edurev.in
Meghalaya create history, enter Hero Santosh Trophy semi-finals for ...
the-aiff.com
What is a Compound Word? | Definition and Examples | Twinkl
twinkl.co.in
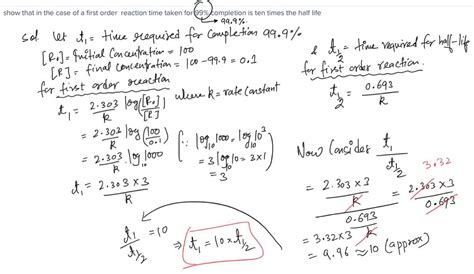
Show that the time required for 99.9% completion in a first order ...
iqclasses.in
Telling the Time Football Activity – Maths – KS2
twinkl.co.in
Give 5 examples of combination reaction.? | EduRev Class 10 Question
edurev.in
50 Times Football Changed the World : Lineker, Gary, Baddiel, Ivor ...
amazon.in
Decomposition reaction: Definition, Classification, Uses and Importance ...
aakash.ac.in
Stopping Sight Distance | Overview and Calculation
apsed.in
Nuclear Reactions with Examples : Nuclear Fusion and Fission with ...
chemistrypage.in
Posner cueing task - Free online template and explainer guide
testable.org
Give three examples of endothermic reaction. Class - 10 CBSE, NCERT ...
brainly.in
CHEMCA Free Chemistry Notes for JEE NEET Chemistry MadeEasy: Reaction ...
chemca.in
Hyperbole- Meaning, Definition and Examples
adda247.com
Horner-Wadsworth-Emmons Reaction | Tokyo Chemical Industry (India) Pvt ...
tcichemicals.com
Combustion reaction and its type — lesson. Science State Board, Class 7.
yaclass.in
40 example of displacement reaction - Brainly.in
brainly.in
Nucleophilic Substitution Reaction-SNi, SNNGP - Mechanism and Example ...
aakash.ac.in
How To Shoot a Soccer Ball
adidas.com
show that in a first order reaction time required for completion of 99. ...
brainly.in
Top 5 Sports in the USA
businessoutreach.in
Nucleophilic Substitution Reaction-SNi, SNNGP - Mechanism and Example ...
aakash.ac.in
Components overview — pyZacros 2023.1 documentation
scm.com
exothermic reaction with explaination - Brainly.in
brainly.in
What is double displacement reaction? | EduRev Class 10 Question
edurev.in
Stroop task - The easiest way to use this classic test in your own research
testable.org
Nucleophilic Substitution Reaction-SNi, SNNGP - Mechanism and Example ...
aakash.ac.in
Draw a table or chart of tenses with one example of each tense ...
brainly.in
What is redox reaction? give an example - Home Work Help - Learn CBSE Forum
ask.learncbse.in
Nucleophilic Substitution Reaction-SNi, SNNGP - Mechanism and Example ...
aakash.ac.in
Football Scoreboard Software for LED Displays | Soccerboard
footballscoreboardsoftware.com
english football league tables Android IOS V- 5.32
meeting.lsgkerala.gov.in
Nuclear Reactions with Examples : Nuclear Fusion and Fission with ...
chemistrypage.in
Explain the following reactions withan example for each : (i) Reimer ...
allen.in
Bill Invoice Format in Excel | Free Download - Wise
wise.com
Player Profile Template - Fill Online, Printable, Fillable, Blank ...
soccer-player-profile-form.pdffiller.com
List of Skills for Football | UKS2 Overview
twinkl.co.in
Nucleophilic Substitution Reaction-SNi, SNNGP - Mechanism and Example ...
aakash.ac.in
Reactions and Super Reactions FAQ – Discord
support.discord.com
Reagents for Condensation Reactions (HATU) 148893-10-1 | Tokyo Chemical ...
tcichemicals.com
Full time football poster template | Premium PSD
freepik.com
show that in the case of a first order reaction time taken for 99% ...
brainly.in
Using Touchscreens Even More Dangerous than Drunken Driving, Says New ...
carblogindia.com
Physics Class 12 Laws of Motion - Check Definition, Important Formulas ...
collegedekho.com
[Answered] show that in a first order reaction time required for ...
brainly.in
Decomposition Reaction Example, Types, Definition, Formula
adda247.com
Reagents for Condensation Reactions (1H-Benzotriazol-1 ...
tcichemicals.com
Navon Task | Guide & template | Experiments on Testable
testable.org
Here each question contains statements are given in two columns which ...
allen.in
Football League 2025 – Apps on Google Play
play.google.com
Royal Rumble 5 Times Football Stars Turned The Playing Field Into A War ...
mensxp.com
Xtra Time Football Turf
tournaments360.in
Evidence of Isomerization in the Michael-Type Thiol-Maleimide Addition ...
mdpi.com
Reaction Design & Optimization
sigmaaldrich.com
What is a Timeline? - Answered - Twinkl Teaching Wiki
twinkl.co.in
Pd(OAc)2 | 3375-31-3 | Tokyo Chemical Industry (India) Pvt. Ltd.
tcichemicals.com
John Costello blasts media reaction to Dublin senior footballers ...
skysports.com
Grade R School and Classroom - In the Classroom Picture Reading
twinkl.co.in
How to Interpret a Correlation Coefficient r - India Dictionary
1investing.in
Premier League table as it stands | Football News | Sky Sports
skysports.com
Buy ghjdmAgile Reaction Speed Training Smart Lights, Flash Reflex ...
desertcart.in
Explained: Why so much added time at Qatar 2022 World Cup- The Week
theweek.in
Xtra Time Football Turf
tournaments360.in
football match total time | Claim Your Exclusive ₹1000 Spin Bonus ...
tax.lsgkerala.gov.in
(R)-2- bromobutane upon treatment with aq. NaOH gives
tardigrade.in
Solved: Draw a reaction profile for an exothermic reaction. You should ...
gauthmath.com
Reactions and Super Reactions FAQ – Discord
support.discord.com
How to Multiply Fractions | Multiplying Fractions - Twinkl
twinkl.co.in
Vettel unconvinced by Bottas reaction time
dtnext.in
Decomposition Reaction Example, Types, Definition, Formula
adda247.com
Benzyl Chloroformate | 501-53-1 | Tokyo Chemical Industry (India) Pvt. Ltd.
tcichemicals.com
Football Venues in Bengaluru - Hudle
hudle.in
English CAPS Planning and Record Sheet - Grade R
twinkl.co.in
Palladium 7440-05-3 | Tokyo Chemical Industry (India) Pvt. Ltd.
tcichemicals.com
TCI Practical Example: Mitsunobu Reaction Using Tsunoda Reagent | Tokyo ...
tcichemicals.com
Periodic Classification of Elements null-Chemistry-Class-10
nextgurukul.in
Electromyography Monitoring Systems in Rehabilitation: A Review of ...
mdpi.com
kristi noem allergic reaction: Latest News & Videos, Photos about ...
economictimes.indiatimes.com
Genshin Impact: All Dendro Elemental Reactions Explained
gurugamer.com
Xtra Time Football Turf
tournaments360.in
For the reaction A= product the time for 75% completion of reaction is ...
brainly.in
NCAA College Football Teams, Scores, Stats, News, Standings, Rumors ...
espn.in
TCI Practical Example: Ullmann-type Coupling Reaction Using N,N'-Bis(2 ...
tcichemicals.com
Related Searches
Reaction Time Example
Reaction Time Equation
Example of Reaction Time in Physical Fitness
Reaction Time Workouts
Reaction Time in Football Images
Bib Football Reaction Game
Reaction Time Ball Drop Clip Art
My Honest Reaction Football
Reaction Time Stick Drill
Reaction Time in Sports Cartoon
We Did It Reaction Image Football
Reaction Time Memes
Reaction Speed Drills for Football Coaches
Reaction to Football Meme
Football Reaction Training LED Room
Football Reaction Time Wall
PassBack Football
Anticipation Football Example
Fun Reaction Time Drills
Reaction Time Ball String Head
Example of Reaction Time Exercise for Footnall
Let's Goooo Reaction Image Football
Example of Reaction Time Exercise for Soccer
Reaction Time Drill Pinterest Picture
Football Player Reaction Face
Football Training Session Plan
Children Reaction Time Game
Shocked Reaction Football
Football Reaction Time Toys
Reaction System Football
NCAA Reaction Football
New Football Pictures
Football Reaction Testing Device
A Football Goal
Action Photos Examples Not of Sports
Anticipation Football Example Diagram
Football Throwing Motion
Youth Football Quarterback Training Equipment
AFL Reaction Time Test Illustration
Funny Football Reaction Images
Team Reaction Time Game
Reaction Pro Ball in Imge
Emotuonal Football Reaction Pics
Computer Games Reaction Time Training Drills
Displacement Reactions Football Examples
Kinetic Enegy Football Examples
Illustrattion of Step Stopping in Football
De L4 Football
Football Speed and Agility Drills
Ground Reaction Froce Animated Soccer Example
Search
×
Search
Loading...
No suggestions found