Find Your Style
Women
Men
Accessories
Search for clothing, brands, styles...
×
Women
Men
Accessories
Example Of Statement That Is Real
Search
Loading...
No suggestions found
SBI BANK CODE SBCHQ-GEN-PUB-IND-INR MEANING.SBI DIFFERENT TYPES OF ...
digitalhelper.in
Bank Statement | What is Bank Statement? - Meaning, Format, Features
paisabazaar.com
Personal Life Income Statement
blog.processhorizon.com
Bank Statement Example
twinkl.co.in
Hospital Management Software | Billing Prints | Formats
softcure.in
Markup vs. Margin Chart & Infographic - India Dictionary
1investing.in
Free Invoice Format | Download and Send Invoices Easily - Wise
wise.com
What Is The Importance Of A Deposit Slip? To Create Deposit Slips ...
1investing.in
Settlement Statement Real Estate - Fill and Sign Printable Template Online
uslegalforms.com
Bank Statement: All you need to know - Fibe (Formerly EarlySalary)
fibe.in
Grocery Bill Format Download | Free Invoice Template For Grocery Shop
stockregister.in
Military Leave and Earnings Statement: A Guide to Your LES
veteransunited.com
Ssa 1099 - Fill Online, Printable, Fillable, Blank | pdfFiller
pdffiller.com
Give specimen of statement of affairs and deficiency account? - EduRev ...
edurev.in
PCE-II: Statement of Purpose for Master's in Networking - Studocu
studocu.com
2021 Form NY DTF IT-1099-R Fill Online, Printable, Fillable, Blank ...
pdffiller.com
Using Excel conditional formatting for comparative statements
ashutoshp.in
Closing Settlement Statement Form - Fill Online, Printable, Fillable ...
pdffiller.com
Buy FINANCIAL STATEMENT ANALYSIS, 11TH EDITION Book Online at Low ...
amazon.in
Corporate Disclosure Statement Example - Fill Online, Printable ...
pdffiller.com
Statement OF Jurisdiction - STATEMENT OF JURISDICTION It is humbly ...
studocu.com
42 Great Statement of Work Templates (SOW) ᐅ TemplateLab
1985.co.in
12 brand positioning statement examples + how to write one | Zendesk India
zendesk.com
supporting statement example pdf Doc Template | pdfFiller
pdffiller.com
Switch-Case Statement in C programming: - Smart Learning
thedigitalfk.in
18 of My Favorite Sample Business Plans & Examples For Your Inspiration ...
appsmanager.in
Usar Form 30 R - Fill and Sign Printable Template Online
uslegalforms.com
Pa R A P 3517 - Fill Online, Printable, Fillable, Blank | pdfFiller
pdffiller.com
UCAS Personal Statement: Format, Sample, and Tips
zollege.in
Seller Disclosure Form Florida - Fill Online, Printable, Fillable ...
florida-seller-property.pdffiller.com
Buy Successful Personal Statements To Get You Into A Top University: 50 ...
desertcart.in
Hypothesis - HYPOTHESIS Meaning: Hypothesis is an assumption that is ...
studocu.com
MA Voluntary Statement Form - Fill Online, Printable, Fillable, Blank ...
police-statement-form.pdffiller.com
Abstraction in C++ | Real Life Example of Abstraction in C++ - C++ Tutorial
sitesbay.com
If-Else-If Statement : Example
minigranth.in
Reduce Reuse Recycle Poster - Posters - Twinkl
twinkl.co.in
👉 Real Life Arrays Display Poster
twinkl.co.in
Introduction of Symmetry in Maths With Types And Examples | A To Z ...
thedigitaleducation.org
Draw two examples that can be compared with ipo cycle - Brainly.in
brainly.in
c] Define Parallel lines with the help ofof example and neat labeled ...
brainly.in
Change In Ownership Statement Death Of Real Property - Fill and Sign ...
uslegalforms.com
Polymorphism in Java | Real Life Example of Polymorphism in Java
sitesbay.com
Abstraction in Java | Real Life Example of Abstraction in Java
sitesbay.com
2D Shape Posters with Everyday Examples (teacher made)
twinkl.co.in
Buy Financial Statement Analysis Book Online at Low Prices in India ...
amazon.in
Queue in C
sitesbay.com
Queue in C
sitesbay.com
Abstraction in C++ | Real Life Example of Abstraction in C++ - C++ Tutorial
sitesbay.com
The truth behind Astronomer CEO Andy Byron's VIRAL statement following ...
msn.com
Encapsulation in Java, Real Life Example of Encapsulation in Java
sitesbay.com
Basic assumptions of Research - Basic assumptions of Research ...
studocu.com
What is a Rectangle? | Rectangle Shape | Teaching Wiki
twinkl.co.in
Application of median of a triangle — lesson. Mathematics CBSE, Class 7.
yaclass.in
What is Fund Flow Statement? Meaning, Format & Examples
truedata.in
Virtual Labs
ds1-iiith.vlabs.ac.in
Fillable Online Consumer Information Statement Real Estate Fax Email ...
pdffiller.com
Amazon.in: Buy Financial Statement Analysis Book Online at Low Prices ...
amazon.in
√ 8 most common examples of reflection of light in daily life - Science ...
sciencelaws.in
English CAPS Planning and Record Sheet - Grade R
twinkl.co.in
'He's ready' - Xabi Alonso denies claims Federico Valverde refused to ...
goal.com
Ask Analytics: IF ... else statement in SAS
askanalytics.in
Show that the function f : R* → R* defined by f(x) = 1/x is one-one and ...
ask.learncbse.in
12 Best Books on Resilience
everydayhealth.com
Falut - JungleKey.in Image
junglekey.in
Request letter for statement of account - Brainly.in
brainly.in
Printable Profit And Loss Form - Fill Online, Printable, Fillable ...
pdffiller.com
Inheritance in Java | Real Life Example of Inheritance in Java
sitesbay.com
Maruti dealers and showrooms in Ahmedabad | Kiran Maruti
kiranmotors.co.in
Network Topology Guide with Examples & Templates | EdrawMax
edrawsoft.com
Author Statement Elsevier - Fill and Sign Printable Template Online
uslegalforms.com
Solved: a The impact of an extended example often depends as much on ...
gauthmath.com
💰 Cash Flow Statement
canivesh.in
Popli | LBB
lbb.in
Understanding The Concept Of "Example": A Comprehensive Guide
ankuraggarwal.in
Polymorphism in Java | Real Life Example of Polymorphism in Java
sitesbay.com
Raphael Varane ruled out of Real Madrid’s Champions League semi-final ...
sportscafe.in
How to Write a Statement of Purpose (SOP) for MBA Courses?
kansaz.in
Zirconia Luxe Statement Bracelet – Rubans
rubans.in
Real-Time Feedback Monitoring in Annual Information Statement introduced
taxguru.in
Colorado Seller's Property Disclosure Form 2020-2026 - Fill and Sign ...
uslegalforms.com
Stack in C | Real Life Example of Stack
sitesbay.com
Meet The Dhurandhar Characters: The Real Life People Behind Them!
radiocity.in
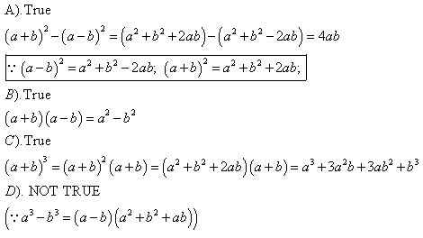
Which of the following statements is NOT true for all real numbers a ...
ask.learncbse.in
Prove that the following are irrational - CBSE Class 10 Maths - Learn ...
ask.learncbse.in
Major Gen VK Singh approaches SC for supply of documents in CBI case ...
lawbeat.in
Teacher Feedback Examples - Twinkl
twinkl.co.in
Fillable Online 2013 Form 593 -- Real Estate Withholding Tax Statement ...
pdffiller.com
9 Business Plan Examples to Inspire Your Own (2025) - Shopify India
shopify.com
Quote of the Day by by Miguel de Cervantes: “Hunger is the best sauce ...
msn.com
(Q19) DIRECTION: In the question number 19 and 20, a statement of ...
iqclasses.in
ADITI RAO HYDARI News | Latest ADITI RAO HYDARI Updates, Stories ...
vogue.in
UEFA Nations League: Courtois 'Uefa cares about money not players'
insidesport.in
Inheritance in Java | Real Life Example of Inheritance in Java
sitesbay.com
Solved: Research indicates that the impact of examples is greatly ...
gauthmath.com
Professional Reaction to Fiction - Memes - Worst Jokes Ever
worstjokesever.com
Enantiomers: Definitions, Examples, Properties, Representation ...
collegesearch.in
Buy The Ultimate UCAs Personal Statement Guide: All Major Subjects ...
desertcart.in
realme C61 Specifications - realme (India)
realme.com
Buy Regression Analysis By Example Using R Book Online at Low Prices in ...
amazon.in
Application for Bank Statement, Opening/Reopening Account
adda247.com
Check whether the relation r in the set r of real numbers, defined by r ...
brainly.in
eLearning Example Explained: Real‑World Uses and Platforms
educationalplatform.in
How to Write a Memo [Template & Examples] - Blog
appsmanager.in
Grade R - Coding - Pattern Recognition: Threes
twinkl.co.in
US Mint can begin producing Trump commemorative gold coin after arts ...
northernnewsnow.com
Real Madrid faces backlash for perceived referee bullying ahead of Copa ...
biz.chosun.com
Strategic Talent Acquisition Certificate Program | PEOPLE MANAGER ACADEMY
academy.peoplemanager.co.in
Buy Hot Wheels Retro Entertainment Fast & Furious Real Riders Limited ...
desertcart.in
Vitamin C for Summer Glow: Best Tips for Indian Skin – Dr Sheth's
drsheths.com
Vinicius Junior - welcome to the world-class club! Winners & losers as ...
goal.com
Software Update - realme (India)
realme.com
O VIII R 9 CPC | Defendant Cannot File Counterclaim After Submission Of ...
livelaw.in
💰 Cash Flow Statement
canivesh.in
Federal jury convicts New Orleans attorneys in staged 18-wheeler crash ...
fox8live.com
Is Ranveer Singh's Dhurandhar based on life of late Major Mohit Sharma ...
msn.com
3546. Equal Sum Grid Partition I - Solution & Explanation | FleetCode
talentd.in
questions and answers for exams - mechanical - MECHANICAL ENGINEERING ...
studocu.com
How to prepare a statement of retained earnings for your business ...
1investing.in
realme Pad 2- realme (India)
realme.com
Strategic Global HRBP Certificate Program | PEOPLE MANAGER ACADEMY
academy.peoplemanager.co.in
Related Searches
Real Estate Profit and Loss Statement
A Statement Example
Dei Statement Examples
Sample Statement of Service
Settlement Statement Real Estate
What Is a Sample Statement
What Is a Simple Statement
A Sample of a Statement PDF
Financial Statement Sample
Credit Card Statement Example
Personal Financial Statement Form
Factual Statements Examples
Metod of Statement Example Template
Example of Financial Statement of a Different Company
Example of Statement and Not Statement
Preparation of Financial Statements Notice to Reader Example Canada
Monthly Financial Statement
Real Estate Mission Statement
External Statement Example
What Is a Statement Format
Rent Statement Template
Sample Church Financial Statement Template
Statement Ofact
Examples of Leadership Vision Statements
Example of Financial Statement of Livelihood
Sample Facy Statements
Statement of Exaples
GDL Personal Statement Example
Example of Statement of Content
Free Bank Statement Template
Purpose Statement Examples
Fasle Statement Example
College Essay Personal Statement Examples
Statement of Means Form
Personal Statement for Social Work
5 Example of General Statement Notes
Write O If the Statement Is
Anual Financial Statements Examples
Example of Financial Statements in Rat
Financial Board Report Example
MBA Personal Statement Examples
Financial Statement with Losses in Red
Business Profit and Loss Statement Template
Using General Statement
Rental Property Profit and Loss Statement
Statement That Has According To
Statement Forment
Full View of Statement
How to Make a Statement Relevant
What Is Particular Statement
Search
×
Search
Loading...
No suggestions found