Find Your Style
Women
Men
Accessories
Search for clothing, brands, styles...
×
Women
Men
Accessories
Example Of Third Person Paper
Search
Loading...
No suggestions found
Inr |Isometric Dots A4 Paper |1 Cm Distance Between Dots |Best For ...
amazon.in
inr |Isometric Dots A4 Paper |1 cm Distance Between Dots |Best for ...
amazon.in
Inr |Isometric Dots A4 Paper |1 Cm Distance Between Dots |Best For ...
amazon.in
E.P.I.C IT Challenge presented by TVS Credit, Prizes worth INR 2.75 ...
edubard.in
Example of Third Person Display Poster (teacher made)
twinkl.co.in
Writing in First, Second and Third Person PowerPoint
twinkl.co.in
Example of Third Person Display Poster (teacher made)
twinkl.co.in
Professional Bio Examples: 29 Work Bios I Keep in My Back Pocket for ...
appsmanager.in
Free Editable Biography Graphic Organizer Examples | EdrawMax Online
edrawmax.wondershare.com
Point of View Assessment - Key Stage 2 - Primary Resource
twinkl.co.in
Third Party Affidavit SAMPLE Doc Template | pdfFiller
pdffiller.com
Third Party Agreement Template - Fill Online, Printable, Fillable ...
pdffiller.com
3D Person Paper Craft
twinkl.co.in
Fascinating History Of The Indian Rupee And It’s Evolution
indiatimes.com
Tutorial At Home
tutorialathome.in
27 of the Best Professional Bio Examples We've Ever Seen [+ Templates ...
appsmanager.in
Biostatistics question paper for third semester - D (Pages : 4) Hoyna ...
studocu.com
First Second and Third Person Speaking Styles Posters - posters
twinkl.co.in
Free Editable Biography Graphic Organizer Examples | EdrawMax Online
edrawmax.wondershare.com
LRS Cash Receipt Book - 50 Sheets (Pack of 12) : Amazon.in: Office Products
amazon.in
What is Perspective in Literature? | Twinkl Writing Wiki
twinkl.co.in
Free Editable Biography Graphic Organizer Examples | EdrawMax Online
edrawmax.wondershare.com
27 of the Best Professional Bio Examples We've Ever Seen [+ Templates ...
appsmanager.in
First Second and Third Person Speaking Styles Posters - posters
twinkl.co.in
Get Expert Guidance on Third Person Involvement in Relationship-The ...
thekaran.in
What is the Narrative Perspective of a Text? Wiki Page
twinkl.co.in
3D Toy Person Paper Model Worksheet / Worksheet, worksheet
twinkl.co.in
Class 3 NSO free sample paper with syllabus | Olympiad tester
olympiadtester.in
27 of the Best Professional Bio Examples I've Ever Seen [+ Templates ...
appsmanager.in
Blank Paper Doll Template | K-2 Art Learning Resources
twinkl.co.in
Newton's Laws of Motion - Physics Class 11 - NEET PDF Download
edurev.in
Difference Between First Angle Projection and Third Angle Projection
adda247.com
unit-2-exploration-and-georgia-colonization-answer-key- ... Doc ...
pdffiller.com
Buy Hygloss Products Family Paper Cut-Outs – People Shapes - For ...
desertcart.in
Newton’s Third Law Of Motion Definition, Applications & Examples ...
aakash.ac.in
Examples of Adjectives Display Poster (teacher made)
twinkl.co.in
Years 3-6 | Narrative Sentence Story Starter Cards
twinkl.co.in
Newton's Third Law of Motion: Definition, Formulas & Applications
careerpower.in
Newton’s Third Law Of Motion Definition, Applications & Examples ...
aakash.ac.in
Physics Class 12 Laws of Motion - Check Definition, Important Formulas ...
collegedekho.com
Write a narrative essay on the topic: " The day I saved someone's life ...
brainly.in
Third of Quantity Posters (teacher made) - Twinkl
twinkl.co.in
Buy Geyee People Cut Outs Blank People Cutouts Color Paper Cutouts Boy ...
desertcart.in
Newton’s Third Law Of Motion Definition, Applications & Examples ...
aakash.ac.in
How to Write a Content Brief [Template + Examples] - Blog
appsmanager.in
Write a descriptive essay of around 80-100 words on a person you admire ...
brainly.in
Newton’s Third Law Of Motion Definition, Applications & Examples ...
aakash.ac.in
Paper People Chain Template (teacher made)
twinkl.co.in
Jan-2020 - Question papers - 3rd sem cse - Studocu
studocu.com
Difference Between First Angle Projection and Third Angle Projection
adda247.com
Create Your Own 3D Toy Person Paper Model Template
twinkl.co.in
GNLU, Essay Competition, Constitution Day
livelaw.in
eass of three paragraph on the person you admire the most - Brainly.in
brainly.in
HP OfficeJet Pro 9720 Printers - Printing self-test pages | HP® Support
support.hp.com
RGNUL EXAGIUM 2020 INTERNATIONAL ESSAY WRITING COMPETITION : SUBMIT BY ...
katcheri.in
International Day of Persons With Disabilities 2023: Date, Theme and ...
currentaffairs.adda247.com
Third-Person Perspective Games That Is Coming In 2020!
gurugamer.com
Halloween Paper Decoration | Twinkl Resources (teacher made)
twinkl.co.in
Cat Thirds Handwriting Lines
twinkl.co.in
‘Thank You for Being a Friend’ Paper People Chain Activity
twinkl.co.in
Personal Pronouns: Definition, Examples, Exercise and Chart
adda247.com
DSA BCS304 Solved Model QP 2022 Scheme for VTU 3rd SEM - Studocu
studocu.com
EXERCISES I. Which of the Pronouns are in the First Person, Second ...
brainly.in
View of person writing on paper with pencil | Premium PSD
freepik.com
Vector illustration design concept of international day of people or ...
freepik.com
Persönliche SWOT-Analyse Vollständiger Leitfaden | EdrawMax
edrawsoft.com
question paper vlsi - B Tech 3rd Year - Studocu
studocu.com
3rd Party Authorization Form - Fill Online, Printable, Fillable, Blank ...
pdffiller.com
STUDY QUESTIONS 1. (a) Define lever. (b) By clearly showing the ...
brainly.in
Mechatronics 2016-2017 BE Mechanical Engineering Semester 6 (TE Third ...
shaalaa.com
How did Anne Frank outsmart her maths teacher, Mr .Keesing by giving ...
brainly.in
Political Science General Paper 3- International Organizations 2011 ...
shaalaa.com
How to Write a Memo [Template & Examples] - Blog
appsmanager.in
Practice Model Questions; BBS 3rd year Fundamental of Financial ...
studocu.com
"No means of third person getting into this": Congress' Imran Masood on ...
aninews.in
Cost and Management Accounting Jun 2013 100 - BHQQRB 0334 Third ...
studocu.com
0510 Writing a report- Sample - Cambridge IGCSE ® English as a Second ...
studocu.com
3rd International Legal Essay Writing Competition & Symposium | Law ...
legalbites.in
**BCS303 - Operating Systems Model Paper Solution & Analysis** - Studocu
studocu.com
Metrology and Quality Engineering 2016-2017 BE Mechanical Engineering ...
shaalaa.com
3rd Grade Maths & Science 15 Model Paper Level-2 Class 6-8, Manas ...
flipkart.com
Download Class 3 IMO Maths Olympiad free sample paper | Olympiad tester
olympiadtester.in
Bill Of Sale Form Maryland Last Will And Testament Sample | pdfFiller
pdffiller.com
BCA QUESTION PAPER FROM BANGALORE UNIVERSITY - IlilililfiillllffiIiltl ...
studocu.com
Buy Every Third Person Book Online at Low Prices in India | Every Third ...
amazon.in
3rd semester Ba English language and literature question paper - QP ...
studocu.com
3rd sem degree physics - Previous years question paper - Bsc physics ...
studocu.com
Akash's Solved Paper B.Tech Third Semester: Buy Akash's Solved Paper B ...
flipkart.com
Entrepreneurship and Management 2010-2011 BE Civil Engineering Semester ...
shaalaa.com
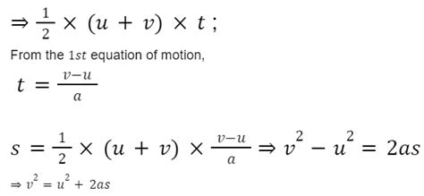
Derivation of equations and List of 3 equations of motion - Physics ...
aakash.ac.in
Heat Transfer 2014-2015 BE Mechanical Engineering Semester 5 (TE Third ...
shaalaa.com
Persönliche SWOT-Analyse Vollständiger Leitfaden | EdrawMax
edrawsoft.com
write an essay on the most forgetful person i ever knew - Brainly.in
brainly.in
3rd semESTER kslu model question paper - Llb - Studocu
studocu.com
Give few examples of Newton’s third law of motion - CBSE Class 9 ...
ask.learncbse.in
JAVA UNIT4 JNTU R18 - OOPS USING JAVA - UNIT-IV THE COLLECTIONS ...
studocu.com
Microprocessors 2008-2009 BE Computer Engineering Semester 5 (TE Third ...
shaalaa.com
10th Std Mathematics Third Revision test question paper (English Medium ...
tnschools.co.in
[2023-PDF] GNM And ANM Question Paper 2023, WB ANM & GNM Today's Exam ...
wbedu.in
Income Tax Addition u/s 68 of Income Tax Act without giving Opportunity ...
taxscan.in
Business statistics question paper - BHRQQB 0433 Fourth Semester Five ...
studocu.com
MGU bcom 1 sem financial accounting oct 2021 - QP CODE: 21102465 Reg No
studocu.com
Hypercharge: Unboxed Could Pull an Among Us as It Rises to Fame 2 Years ...
in.ign.com
Database Technologies 2009-2010 BE IT (Information Technology) Semester ...
shaalaa.com
Entrepreneurship and Management 2007-2008 BE Civil Engineering Semester ...
shaalaa.com
9th std half yearly exam question paper 2019 -Mathematics English Medium
tnschools.co.in
Third-party logistics (3PL): Meaning, Types, Benefits, Process
sell.amazon.in
Automobile Maintenance and Repair Practice 2012-2013 Bachelor of ...
shaalaa.com
O Level Internet of Things Paper January 2024 :: Examjila Solved Old paper
examjila.in
Is Cyberpunk 2077 Worth Trying Out in 2025?
gurugamer.com
Transportation Engineering 1 2010-2011 BE Civil Engineering Semester 5 ...
shaalaa.com
Derivation of equations and List of 3 equations of motion - Physics ...
aakash.ac.in
B.A 3rd sem maths question paper 2019 - Bachelor of Arts 3 rd Semester ...
studocu.com
Advanced Microprocessor 2012-2013 BE Computer Engineering Semester 6 ...
shaalaa.com
Basic Vlsi Design 2016-2017 BE Electronics Engineering Semester 6 (TE ...
shaalaa.com
Advance Computer Network 2012-2013 BE Computer Engineering Semester 6 ...
shaalaa.com
Heat Transfer 2016-2017 BE Mechanical Engineering Semester 5 (TE Third ...
shaalaa.com
Computer Networks 2017-2018 BE Computer Engineering Semester 5 (TE ...
shaalaa.com
Call of Duty: Modern Warfare 2’s Third Person Mode Receives Vital ...
in.ign.com
Related Searches
Example of Third Person Writing
Third Person Writing List
Third Person Story Example
Third Person Essay Sample
Third Person Essay Examples
Third Person View Example
Third Person Word Chart
Third Person Text Example
Third Person Sentence Examples
Third Person Narrative Examples
Third Person Objective Examples
Writing in 3rd Person Examples
Third Person Research Paper Example
Third Person Writing Style
We in Third Person
Third Person Academic Writing Examples
First Person vs Third Person Writing
Third Person Report Example
Third Person Paragraph Examples
Third Person Omniscient Examples
Third Person Point of View Examples
First Person Second/Third Chart
Example of Third Person Article
Example of Third Person Writing Simple
Third Person Singular Examples
Third Person Introduction Example
Third Person Limited Examples
Thesis Statement in Third Person Examples
Third Person Write Example
Third Person Past Tense Examples
Third Person Argumentative Essay Examples
Example Essay Using Third Person
3rd Person Narration
Example of Introducing a Third Person
1st Person Biography Example
Orthogonal Third Person Examples
Person Writing a Book
3rd Person Descriptive Essay Example
Argument Paper in the Third Person
Third Person Language Examples in Writing
Examples of Bios Third Person Writing Examples
Third Person Narrative Essays
Third Grade Writing Samples
3rd Person Format Example
Third Person Voice
First and Third Person Narrator
Example of Third Person Fiction Narrative for 5th Grade
First Second Third Person Worksheet
3rd Person Personal Statement
Example of Papers Written in the Third Person
Search
×
Search
Loading...
No suggestions found