Find Your Style
Women
Men
Accessories
Search for clothing, brands, styles...
×
Women
Men
Accessories
Example Sustainability Positioning
Search
Loading...
No suggestions found
India Slips 3 Spots to Rank 120 on 17 SDGs Adopted as 2030 Agenda ...
newsclick.in
Education for Sustainable Development: A Systemic Framework for ...
mdpi.com
Self-Assessment Method for Sustainability Implementation in Product ...
mdpi.com
The Role of Government Support in Sustainable Competitive Position and ...
mdpi.com
Assortment of Airports’ Sustainability Strategy: A Comprehensiveness ...
mdpi.com
Sustainable Architecture: Everything you need to know
novatr.com
The Sustainable City, Dubai: Everything you need to know in 2026
novatr.com
Sustainability: How is the Hotel Industry adopting it?
promiller.in
Circular Innovation Framework: Verifying Conceptual to Practical ...
mdpi.com
Top corporates put together the Sustainability Charter 2020 during the ...
aninews.in
The Influence of Green External Integration on Firm Performance: Does ...
mdpi.com
SDG Index 2021: India ranks 120th position
currentaffairs.adda247.com
Eco-Friendly Moving: Attracting Customers with Sustainable Practices
assureshift.in
12 brand positioning statement examples + how to write one | Zendesk India
zendesk.com
Concept Map - Competendo - Digital Toolbox
competendo.net
5 examples of Sustainable Architecture Designs
vanguarddesign.in
The 8 responsibilities of chief sustainability officers - Capgemini India
capgemini.com
Sustainability Topic Planner - EYLF - Twinkl
twinkl.co.in
SDG12 Target Indicators Transformed Into KPIs Part Sherpa, 40% OFF
elevate.in
Sustainable skies: Positioning India as a global SAF hub
kpmg.com
Corporate Social Responsibility and Firm-Based Brand Equity: The ...
mdpi.com
Sustainable Fashion in New Era: Exploring Consumer Resilience and Goals ...
mdpi.com
All about the Sustainable Development: Importance, Benefits & More
okcredit.in
Understanding the Repurchase Intention of Premium Economy Passengers ...
mdpi.com
Fostering Sustainable Energy Entrepreneurship among Students: The ...
mdpi.com
FREE! - Eco-Schools NI: Eco-Schools Action Plan Blank Template
twinkl.co.in
All about the Sustainable Development: Importance, Benefits & More
okcredit.in
How to switch to a sustainable lifestyle in 10 days!
bpac.in
Sustainable Development Goals (SDGs), Progress, Impact and Challenges
studyiq.com
All about the Sustainable Development: Importance, Benefits & More
okcredit.in
Grid colorful sustainable farming practices infographic template | Free ...
freepik.com
Sustainability PowerPoint (teacher made)
twinkl.co.in
Segmentation, Targeting, & Positioning (STP Marketing): The Marketer's ...
appsmanager.in
12 brand positioning statement examples + how to write one | Zendesk India
zendesk.com
Printable Sustainability Poster | Teaching Resources
twinkl.co.in
Sustainable Housing: The Choice for a Better Future | Gyproc India
gyproc.in
11 Best Sustainable & Eco-Friendly Building Materials in Use Today
novatr.com
Explain the importance of sustainable development by giving example of ...
edurev.in
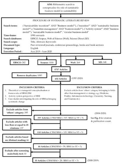
The Business Model in Sustainability Transitions: A Conceptualization
mdpi.com
Jute Bags Online
jutecottage.co.in
EcoChew's Sustainable Dining Logo Design | Freelancer
freelancer.in
Top Eco-friendly Business Ideas: Best Eco-Friendly Businesses In 2022
okcredit.in
Market Segmentation Template | EdrawMind
edrawmind.wondershare.com
Positioning Schema Information Poster | Schemas of Play
twinkl.co.in
Reduce Reuse Recycle Poster - Posters - Twinkl
twinkl.co.in
12 brand positioning statement examples + how to write one | Zendesk India
zendesk.com
Development of a Composite Measure of Regional Sustainable Development ...
mdpi.com
Mint Sustainability Summit 2024: Corporate sustainability ...
htmedia.in
India’s move to organic fertilizer: Ambitions and realities | S&P Global
spglobal.com
Reports on SDG | NITI Aayog
niti.gov.in
How to create an environmental aspects and impacts register | NQA Blog
nqa.com
Sustainable skies: Positioning India as a global SAF hub
kpmg.com
Introduction To Stp Marketing Analysis Customer, 53% OFF
elevate.in
The Spatial Design Marketing Strategy of Global Franchises That Take ...
mdpi.com
Sustainable and green investments | Meer
meer.com
Ecological Pyramid, Meaning, Types, Example, UPSC Notes
vajiramandravi.com
Positioning The Red Eléctrica Group as a leader in sustainability ...
capgemini.com
Eco Poster Ideas Pack | Eco-friendly Display Resources
twinkl.co.in
Working Offshore
shipseducation.com
Climate Change Preparedness: Comparing Future Urban Growth and Flood ...
mdpi.com
My Sustainability Pledge
twinkl.co.in
Sustainable Development- Meaning, Goals, Features & examples
globaltree.in
Development of a Composite Measure of Regional Sustainable Development ...
mdpi.com
Release of SDG India Index 2023-24
pib.gov.in
Positioning Schema Treasure Basket Ideas (teacher made)
twinkl.co.in
9 Sponsorship Email Examples I Love (For Your Inspiration) - Blog
appsmanager.in
Sustainable Community Development, Solar Energy education, training for ...
institute-of-solar-technology.blogspot.in
Buy Awareness About Sustainability: Take Action For The Sustainable ...
desertcart.in
Commerzbank erhält auf dem Gebiet der Nachhaltigkeit "Prime-Status ...
institutional-money.com
A Methodological Comparison between Energy and Environmental ...
mdpi.com
Selfridges London Introduces Its Sustainability Initiative - Project Earth
thestylelist.in
Güneş Enerjisi
msxlabs.org
Position Paper - Position Paper Country: Switzerland Committee ...
studocu.com
Wings India 2026
kpmg.com
HDFC merger may lead to 300 basis points deceleration in credit demand ...
economictimes.indiatimes.com
Happy Earth Day Posters – Earth Day – Twinkl Resources
twinkl.co.in
What is a Semiconductor? A guide to the Semiconductor Industry, from ...
lorric.com
Positioning Information Privacy in Intelligent Transportation Systems ...
mdpi.com
Evaluating Social Housing Retrofit Options to Support Clients’ Decision ...
mdpi.com
Sustainable Marketing: Key Principles & How to Leverage It [+ Examples ...
appsmanager.in
Save The Earth Conclave | 22 April 2025 | New Delhi
savetheearth.icfa.org.in
Positioning Student Affairs for Sustainable Change: Achieving ...
amazon.in
Globally India Ranks 9th In Organic Farming Outlook - BW Businessworld
businessworld.in
mind map of chapter population class 9 - Brainly.in
brainly.in
Karan Grover and Associates
kga.co.in
Central Park - History, Location & Key Facts 2022 - Viator
viator.com
Evaluating Influence of Inverter-based Resources on System Strength ...
mdpi.com
30 Fakta Menarik Mengenai Brand Patagonia Yang Jarang Diketahui — Teletype
teletype.in
Check Out These Brilliant Marketing Strategies of Levis Strauss ...
businessoutreach.in
Globally India Ranks 9th In Organic Farming Outlook - BW Businessworld
businessworld.in
Meghalaya: How NH7 Weekender was a success story in sustainability ...
architecturaldigest.in
Job - P431 - Sustainability Analyst @ JLL (Last Date - NA) - Society ...
societyforplanners.in
Sustainable Water Management in India, Strategies, Examples
studyiq.com
Sustainable Water Management in India, Strategies, Examples
studyiq.com
The Future of Interior Design-Technology & Innovation Shaping the ...
goodhomes.co.in
The mindful renovation of a 100-year-old residence in Kottayam ...
architecturaldigest.in
'Pick Up Litter' Display Poster
twinkl.co.in
The Future of Interior Design-Technology & Innovation Shaping the ...
goodhomes.co.in
GIS-Lab: Почвенные карты глобального охвата
gis-lab.info
SOLID WASTE MANAGEMENT | CEPT - Portfolio
portfolio.cept.ac.in
Sustainable Marketing: Key Principles & How to Leverage It [+ Examples ...
appsmanager.in
Buy Management Principles of Sustainable Industrial Chemistry: Theories ...
desertcart.in
Understanding the Repurchase Intention of Premium Economy Passengers ...
mdpi.com
Evidence on the Impact of Winter Heating Policy on Air Pollution and ...
mdpi.com
Sonali and Manit Rastogi expose their green thumb at Dubai Design Week ...
architecturaldigest.in
"Agriculture and industry are complimentary to each other."Justify ...
brainly.in
Cover Letter for Postdoc Position: Sample Application Letter
zety.com
Artificial Intelligence for a More Sustainable Oil and Gas Industry and ...
amazon.in
currency limit india to dubai inr: Latest News & Videos, Photos about ...
economictimes.indiatimes.com
Pavagada Solar Park shining example of government's commitment to clean ...
aninews.in
OpenGL Projects: Cursor Position OpenGL Code Blocks Example
openglprojects.in
Example unveils new 'Culture Practice' positioning; welcomes senior ...
telummedia.com
Impact of Samarkand’s Destination Attributes on International Tourists ...
mdpi.com
Wind Turbine Rotor Positioning - TURCK India Automation Pvt. Ltd.
turck.in
Learn Normalization - 1NF, 2NF & 3NF : DBMS ~ I. T. Engg Portal
itportal.in
what is a well-behaved wave function ? illustrate with diagrams ...
brainly.in
Gsl - Lecture notes 2 - Opening Speech Good morning respective EB and ...
studocu.com
Buy Sustainable Architecture and Urbanism: Concepts, Technologies ...
amazon.in
Nurturing Sustainable Prosperity in West Africa: Examples from Ghana ...
amazon.in
OpenGL Projects: Connect Dots - OpenGL Mouse Position Example
openglprojects.in
Related Searches
INR Equation
INR Clotting
INR Scale
INR Diagram
INR Book Example
INR Range Chart
Blood INR Chart
Warfarin Inr Example
PT/INR Equation
Example of INR Record
INR Curve Example
Supratherapeutic INR
INR Clots
Normal INR for Surgery
INR Result Sheet
Eleevated INR
INR Daily Record Sheet
INR M Timing Diagram
Warfarin Dose Adjustment Chart
INR Action Table
International Normalized Ratio Chart
INR Sample Reddish
Patient INR
INR Formula Example
INR Record Sheet
PT/PTT INR Diagram
PT/INR Vial
INR Reading Example
INR Curve
INR Fingerstick Example
Inr Warfarin Book Example
Protime/INR Graph
INR Adjustment Chart
INR Tracker Template
Prothrombin Time and INR Chart
INR Symbol Example
Printable INR Chart
INR and Warfarin
INR Flow Sheet
Warfarin Inr
Argatroban INR Equation
Normal INR Levels Chart
PT/INR Lab Diagram
Normal INR
INR Coagulation
Coagulation Profile
INR Formula Examples
INR Value Chart
INR Sequence
INR Report Form
Search
×
Search
Loading...
No suggestions found