Find Your Style
Women
Men
Accessories
Search for clothing, brands, styles...
×
Women
Men
Accessories
Examples Of Improper Language
Search
Loading...
No suggestions found
What is an Improper Fraction? Definition, Facts and Examples
twinkl.co.in
Improper behaviour, poor body language at the interview - Avoid these ...
economictimes.indiatimes.com
Adipurush makers change the improper language
tring.co.in
Improper fractions | Year 3
twinkl.co.in
R Programming Cheat Sheet - General Data StructureS ManipulatinG ...
studocu.com
What is an Improper Fraction? Definition, Facts and Examples
twinkl.co.in
SBI BANK CODE SBCHQ-GEN-PUB-IND-INR MEANING.SBI DIFFERENT TYPES OF ...
digitalhelper.in
Prothrombin time, PT/INR Report Format | MS Word & Pdf
labsmartlis.com
Notes: Learning and Acquisition - English Language and Pedagogy for ...
edurev.in
Figurative Language Example Reference Cards (teacher made)
twinkl.co.in
Maulana Azad Medical College fined for violating waste management rules
medicaldialogues.in
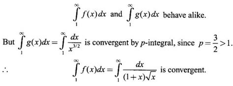
Improper Integrals - Theorem, Worked Examples, Exercise with Answers ...
mech.poriyaan.in
Improper Integrals - Theorem, Worked Examples, Exercise with Answers ...
mech.poriyaan.in
Adipurush makers change the improper language
tring.co.in
USD/INR Cracks Big: Falls 2% in 4 Days! | Investing.com India
in.investing.com
Improper Integrals - Theorem, Worked Examples, Exercise with Answers ...
mech.poriyaan.in
Improper communication leads to chaos at vaccination centres – The Softcopy
thesoftcopy.in
Improper Fractions and Mixed Numbers Worksheets
twinkl.co.in
Improper Integrals - Theorem, Worked Examples, Exercise with Answers ...
mech.poriyaan.in
Improper Integrals - Theorem, Worked Examples, Exercise with Answers ...
mech.poriyaan.in
Improper Integrals - Theorem, Worked Examples, Exercise with Answers ...
mech.poriyaan.in
What is an Improper Fraction? Definition, Facts and Examples
twinkl.co.in
Notes Class 6 Maths Chapter 7 Fractions
evidyarthi.in
Improper Integrals - Theorem, Worked Examples, Exercise with Answers ...
mech.poriyaan.in
Write five examples, each of proper, improper and mixed fractions ...
brainly.in
Improper Integrals - Theorem, Worked Examples, Exercise with Answers ...
mech.poriyaan.in
Improper Integrals - Theorem, Worked Examples, Exercise with Answers ...
mech.poriyaan.in
Improper Integrals - Theorem, Worked Examples, Exercise with Answers ...
mech.poriyaan.in
Improper Integrals - Theorem, Worked Examples, Exercise with Answers ...
mech.poriyaan.in
Improper Integrals - Theorem, Worked Examples, Exercise with Answers ...
mech.poriyaan.in
Improper Integrals - Theorem, Worked Examples, Exercise with Answers ...
mech.poriyaan.in
Improper Integrals - Theorem, Worked Examples, Exercise with Answers ...
mech.poriyaan.in
Improper Integrals - Theorem, Worked Examples, Exercise with Answers ...
mech.poriyaan.in
Improper Integrals - Theorem, Worked Examples, Exercise with Answers ...
mech.poriyaan.in
Improper Integrals - Theorem, Worked Examples, Exercise with Answers ...
mech.poriyaan.in
Buy Improper Fractions to Mixed Numbers Printable Worksheet Online in ...
etsy.com
Improper Fractions Worksheet for 4th-5th Grade
twinkl.co.in
Improper Fractions Worksheets | Maths Resources - Twinkl
twinkl.co.in
Improper Integrals - Theorem, Worked Examples, Exercise with Answers ...
mech.poriyaan.in
What is an Improper Fraction? Definition, Facts and Examples
twinkl.co.in
Improper Integrals - Theorem, Worked Examples, Exercise with Answers ...
mech.poriyaan.in
Improper Integrals - Theorem, Worked Examples, Exercise with Answers ...
mech.poriyaan.in
Improper Integrals - Theorem, Worked Examples, Exercise with Answers ...
mech.poriyaan.in
Improper Integrals - Theorem, Worked Examples, Exercise with Answers ...
mech.poriyaan.in
What is an Improper Fraction? Definition, Facts and Examples
twinkl.co.in
What is sensory language and writing? Wiki. - Twinkl
twinkl.co.in
Improper Integrals - Theorem, Worked Examples, Exercise with Answers ...
mech.poriyaan.in
What is an Improper Fraction? Definition, Facts and Examples
twinkl.co.in
Improper Integrals - Theorem, Worked Examples, Exercise with Answers ...
mech.poriyaan.in
Improper Integrals - Theorem, Worked Examples, Exercise with Answers ...
mech.poriyaan.in
What are Individual Behaviour Plans? - Twinkl
twinkl.co.in
Improper Integrals - Theorem, Worked Examples, Exercise with Answers ...
mech.poriyaan.in
Emotive Language for Persuasive Writing Word Mat - Twinkl
twinkl.co.in
Improper Integrals - Theorem, Worked Examples, Exercise with Answers ...
mech.poriyaan.in
Improper Integrals - Theorem, Worked Examples, Exercise with Answers ...
mech.poriyaan.in
Improper Integrals - Theorem, Worked Examples, Exercise with Answers ...
mech.poriyaan.in
Improper Integrals - Theorem, Worked Examples, Exercise with Answers ...
mech.poriyaan.in
Improper Integrals - Theorem, Worked Examples, Exercise with Answers ...
mech.poriyaan.in
Improper Integrals - Theorem, Worked Examples, Exercise with Answers ...
mech.poriyaan.in
SOP for Nursing: How to Write sample SOP for MSc nursing?
yocket.com
explain improper axis of rotation with the help of a suitable diagram ...
brainly.in
Improper Integrals - Theorem, Worked Examples, Exercise with Answers ...
mech.poriyaan.in
Improper Integrals - Theorem, Worked Examples, Exercise with Answers ...
mech.poriyaan.in
R Language - A Comprehensive Guide - Tech Hyme
techhyme.com
Improper Integrals - Theorem, Worked Examples, Exercise with Answers ...
mech.poriyaan.in
Improper Integrals - Theorem, Worked Examples, Exercise with Answers ...
mech.poriyaan.in
How to Write an Effective Communication Plan [+ Template] - Blog
appsmanager.in
Improper Integrals - Theorem, Worked Examples, Exercise with Answers ...
mech.poriyaan.in
Improper Integrals - Theorem, Worked Examples, Exercise with Answers ...
mech.poriyaan.in
Improper Integrals - Theorem, Worked Examples, Exercise with Answers ...
mech.poriyaan.in
5 Body Language Mistakes to Avoid During Interview
jagranjosh.com
Improper Integrals - Theorem, Worked Examples, Exercise with Answers ...
mech.poriyaan.in
uses of optical fibres in physics: Definition, Types and Importance | AESL
aakash.ac.in
Free Invoice Format | Download and Send Invoices Easily - Wise
wise.com
Stacks | Learn Everything about Stacks in DSA
talentbattle.in
Improper Integrals - Theorem, Worked Examples, Exercise with Answers ...
mech.poriyaan.in
Improper Integrals - Theorem, Worked Examples, Exercise with Answers ...
mech.poriyaan.in
What is an Improper Fraction? Definition, Facts and Examples
twinkl.co.in
Improper Integrals - Theorem, Worked Examples, Exercise with Answers ...
mech.poriyaan.in
Bill Invoice Format in Google Sheets | Free Download - Wise
wise.com
Improper Integrals - Theorem, Worked Examples, Exercise with Answers ...
mech.poriyaan.in
What is an Improper Fraction? Definition, Facts and Examples
twinkl.co.in
Improper Integrals - Theorem, Worked Examples, Exercise with Answers ...
mech.poriyaan.in
Year 5 Converting an Improper Fraction to a Mixed Number Display Pack
twinkl.co.in
Improper Integrals - Theorem, Worked Examples, Exercise with Answers ...
mech.poriyaan.in
What is an Improper Fraction? Definition, Facts and Examples
twinkl.co.in
Emblems And Names (Prevention Of Improper Use) Act, 1950 Alongwith ...
flipkart.com
Buy Good Manufacturing Practices (GMP) 10 Principles 16" X 20", Made in ...
desertcart.in
What is an Improper Fraction? Definition, Facts and Examples
twinkl.co.in
What is an Improper Fraction? Definition, Facts and Examples
twinkl.co.in
GST Export Invoice with Foreign Currency Billing
billingsoftware.in
Improper Integrals - Theorem, Worked Examples, Exercise with Answers ...
mech.poriyaan.in
Improper Integrals - Theorem, Worked Examples, Exercise with Answers ...
mech.poriyaan.in
please someone tell me the difference between subset super subset and ...
brainly.in
Improper Integrals - Theorem, Worked Examples, Exercise with Answers ...
mech.poriyaan.in
AQA Language Paper 2: Question 2 Sample Answers - Detectives
twinkl.co.in
50+ Personification worksheets for 2nd Class on Quizizz | Free & Printable
wayground.com
Improper Integrals - Theorem, Worked Examples, Exercise with Answers ...
mech.poriyaan.in
Adipurush makers change the improper language
tring.co.in
Improper Integrals - Theorem, Worked Examples, Exercise with Answers ...
mech.poriyaan.in
Multi-Currency Accounting – Create, Alter, and Delete
vedcrm.vedantsoft.in
Improper Integrals - Theorem, Worked Examples, Exercise with Answers ...
mech.poriyaan.in
Persuasive poster - Teaching Resource
twinkl.co.in
Improper Integrals - Theorem, Worked Examples, Exercise with Answers ...
mech.poriyaan.in
Improper Integrals - Theorem, Worked Examples, Exercise with Answers ...
mech.poriyaan.in
simplify and write the answer as a proper fraction or a mixed fraction ...
brainly.in
Improper Integrals - Theorem, Worked Examples, Exercise with Answers ...
mech.poriyaan.in
Improper Integrals - Theorem, Worked Examples, Exercise with Answers ...
mech.poriyaan.in
Improper Integrals - Theorem, Worked Examples, Exercise with Answers ...
mech.poriyaan.in
Stand out navy blue corset top – Kostume County
kostumecounty.com
Expressive forms of language with examples from English| English ...
barickacademy.in
What is sensory language and writing? Wiki. - Twinkl
twinkl.co.in
What is an Improper Fraction? Definition, Facts and Examples
twinkl.co.in
Improper Integrals - Theorem, Worked Examples, Exercise with Answers ...
mech.poriyaan.in
Improper Integrals - Theorem, Worked Examples, Exercise with Answers ...
mech.poriyaan.in
WHAT IS CNC MACHINING? 6 OF THE MOST COMMON CNC MACHINES
rmgtech.in
Improper Integrals - Theorem, Worked Examples, Exercise with Answers ...
mech.poriyaan.in
Notes Class 6 Maths Chapter 7 Fractions
evidyarthi.in
What is an Improper Fraction? Definition, Facts and Examples
twinkl.co.in
Accounting vs Law: Which Profession Is Right for You?
caportal.saginfotech.com
Related Searches
INR Equation
INR Clotting
INR Scale
INR Diagram
INR Book Example
INR Range Chart
Blood INR Chart
Warfarin Inr Example
PT/INR Equation
Example of INR Record
INR Curve Example
Supratherapeutic INR
INR Clots
Normal INR for Surgery
INR Result Sheet
Eleevated INR
INR Daily Record Sheet
INR M Timing Diagram
Warfarin Dose Adjustment Chart
INR Action Table
International Normalized Ratio Chart
INR Sample Reddish
Patient INR
INR Formula Example
INR Record Sheet
PT/PTT INR Diagram
PT/INR Vial
INR Reading Example
INR Curve
INR Fingerstick Example
Inr Warfarin Book Example
Protime/INR Graph
INR Adjustment Chart
INR Tracker Template
Prothrombin Time and INR Chart
INR Symbol Example
Printable INR Chart
INR and Warfarin
INR Flow Sheet
Warfarin Inr
Argatroban INR Equation
Normal INR Levels Chart
PT/INR Lab Diagram
Normal INR
INR Coagulation
Coagulation Profile
INR Formula Examples
INR Value Chart
INR Sequence
INR Report Form
Search
×
Search
Loading...
No suggestions found