Find Your Style
Women
Men
Accessories
Search for clothing, brands, styles...
×
Women
Men
Accessories
Examples Of Limits In Calculus
Search
Loading...
No suggestions found
INR Full Form: What is full form of INR?
bankersadda.com
Calculus 1 - Introduction to Limits Video Lecture - Crash Course for ...
edurev.in
Limit of a Function - Definition, Theorem, Solved Example Problems ...
mech.poriyaan.in
Limit of a Function - Definition, Theorem, Solved Example Problems ...
mech.poriyaan.in
Examples of Limit- 3 Video Lecture - Calculus - Mathematics
edurev.in
Calculus Limits - Calculus Limits Images in this handout were obtained ...
studocu.com
Calculus II- 13 - LIMITS AND THE FOUNDATIONS OF CALCULUS - 13 Limits ...
studocu.com
Function derivative
niser.ac.in
The Power of Limits in Calculus [1 min read]
fairgaze.com
Maths Limits and Derivatives part 1 (Introduction to Calculus) CBSE ...
edurev.in
Calculus Cheat Sheet Limits - Calculus Cheat Sheet Limits Definitions ...
studocu.com
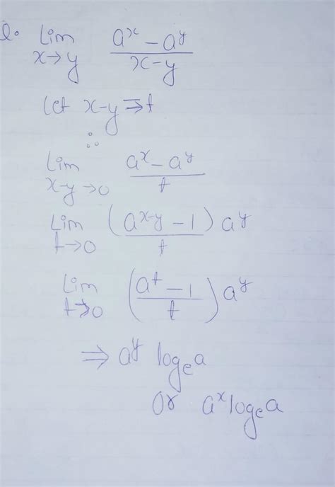
Limx-->y(a^x-a^y)/(x-y).please share solution of limit problem.#limit# ...
scoop.eduncle.com
Introduction To Rational Function Teaching Resources | TPT
teacherspayteachers.com
Calculus: Calculus Limit
gateoverflow.in
Lim x approaches infinity f(x)= 1/x(x-2).find limit. - Brainly.in
brainly.in
எல்லைகளின் பயன்பாடு (Applications of limits) - எடுத்துக்காட்டு ...
brainkart.in
Limits and Continuity: Definition, Meaning, Difference between Limits ...
allen.in
Solved Examples for JEE: Limits and Derivatives - Mathematics (Maths ...
edurev.in
Improper Integrals - Theorem, Worked Examples, Exercise with Answers ...
mech.poriyaan.in
Limx-->y(a^x-a^y)/(x-y).please share solution of limit problem.#limit# ...
scoop.eduncle.com
Limits of Sequences Examples Video Lecture - Mathematics for Airmen ...
edurev.in
Solved Examples for JEE: Limits and Derivatives - Mathematics (Maths ...
edurev.in
SIMPLIFIED DIFFERENTIAL CALCULUS: Derivatives and Limits with Many ...
amazon.in
Derivative of Inverse Functions - Trigonometric Functions, Worked ...
mech.poriyaan.in
Implicit Differentiation - Worked Examples | Differential Calculus
mech.poriyaan.in
50+ limits and continuity worksheets for 11th Class on Quizizz | Free ...
wayground.com
Implicit Differentiation - Worked Examples | Differential Calculus
mech.poriyaan.in
Implicit Differentiation - Worked Examples | Differential Calculus
mech.poriyaan.in
Differentiation of Parametric Equations - Definition, Worked Examples ...
mech.poriyaan.in
Limit and continuity - Limits and Continuity In Mathematics, sets are ...
studocu.com
Logarithmic Differentiation - Worked Examples | Differential Calculus
mech.poriyaan.in
Buy Intermediate Microeconomics With Calculus Book Online at Low Prices ...
amazon.in
Problems of Limits (Calculus Series) (Vol-1) : Mathematical Problem ...
amazon.in
21 Examples of Finding Limits with L'Hopital: + PDF File + 12 HD Video ...
amazon.in
Implicit Differentiation - Worked Examples | Differential Calculus
mech.poriyaan.in
எல்லைகளின் பயன்பாடு (Applications of limits) - எடுத்துக்காட்டு ...
brainkart.in
Definite Integral (Rectangle Method of Finding Area) - Worked Examples ...
mech.poriyaan.in
Implicit Differentiation - Worked Examples | Differential Calculus
mech.poriyaan.in
Calculus AB - Books, Notes, Tests 2025-2026 Syllabus
edurev.in
Derivation of equations and List of 3 equations of motion - Physics ...
aakash.ac.in
What is the Mean in Maths? Definition & Examples | Twinkl
twinkl.co.in
A component is given the dimension as shown below the type of toleranc ...
zonetech.in
RSLogix 5000 LIM Instruction – Limit Test Explained with Examples
plcblog.in
What is the Mean in Maths? Definition & Examples | Twinkl
twinkl.co.in
Differential Calculus: Function - Definition, Methods of Representing ...
mech.poriyaan.in
What is the Modal in Maths? | Modal Number | Wiki - Twinkl
twinkl.co.in
How to calculate the Mean, Mode, Median and Range in Maths
twinkl.co.in
Geometrical Interpretation of Derivative - Worked Examples, Exercise ...
mech.poriyaan.in
Master Calculus: Essential Review of Limits, Derivatives, and | Course Hero
coursehero.com
Buy Elements of Vector Calculus Book Online at Low Prices in India ...
amazon.in
Logarithmic Differentiation - Worked Examples | Differential Calculus
mech.poriyaan.in
Physics Engineering (10) - 4 Series and limits 4 Series Many examples ...
studocu.com
Maxima and Minima of a Function of one variable - Definition, Theorem ...
mech.poriyaan.in
Applications of Integral - Definition, Worked Examples, Exercise with ...
mech.poriyaan.in
Calculus: Limits 1raise to infinite
gateoverflow.in
Limits and Continuity Complete Cheatsheet | Formulas & Examples ...
knowledgeknot.desync.in
The Kanban system for agile software development
devinterface.com
Buy An Introduction to Calculus: Limits Continuity and the Derivative ...
amazon.in
50+ limits and continuity worksheets on Quizizz | Free & Printable
wayground.com
L'Hospital's Rule: Limit Evaluations and Examples - Studocu
studocu.com
List of All Maths Calculus Formulas for NDA Exam Preparation
defenceguru.co.in
Buy Integration For Calculus, Analysis, And Differential Equations ...
desertcart.in
Comprehensive Guide to Limits and Continuity in Basic Calculus | PPTX
slideshare.net
👉 Maths in Everyday Life Poster | Maths Resource - Twinkl
twinkl.co.in
Limits and Continuity Complete Cheatsheet | Formulas & Examples ...
knowledgeknot.desync.in
Calculus and Analytic Geometry by THOMAS
amazon.in
UPI Transactions limit in India: Easebuzz
easebuzz.in
Assignment 2: Analysis of Limits and Continuity in Functions - Studocu
studocu.com
Math2004: Multivariable Calculus Concepts and Limit Analysis Notes ...
studocu.com
Calculus Notes: Limits, Derivatives & Integrals (MATH 101) - Studocu
studocu.com
{Set of 6 books } Krishna publications maths optional books - Real ...
flipkart.com
35 Detailed Examples of U-Substitution in Integrals: Plus 8 HD Video ...
amazon.in
Buy An Introduction to Analysis (Differential Calculus): Part II: An ...
amazon.in
50+ calculus worksheets for 10th Class on Quizizz | Free & Printable
wayground.com
Buy Schaum's Outline of Theory and Problems of Advanced Calculus ...
amazon.in
Enantiomers: Definitions, Examples, Properties, Representation ...
collegesearch.in
Applications of Integral - Definition, Worked Examples, Exercise with ...
mech.poriyaan.in
What is the Product? Maths Definition and Examples - Twinkl
twinkl.co.in
Calculus I (2425) Solutions to Chapter 1: Functions, Limits, and ...
studocu.com
Mind Maps for Limits Revision - Class 11, JEE (Main + Advanced)
esaral.com
Examples in the integral calculus : Amazon.in: Books
amazon.in
What are Individual Behaviour Plans? - Twinkl
twinkl.co.in
100 Instructive Calculus-based Physics Examples: The Laws of Motion ...
amazon.in
[Solved] write any 3 physical examples of divergence curl and gradient ...
studocu.com
What is an Array? | Twinkl Teaching Wiki - Twinkl
twinkl.co.in
Buy Differential and Integral Calculus: With Examples and Applications ...
amazon.in
Calculus 1 - Differentiation and Integration: Over 1,900 Solved ...
amazon.in
AP Calculus AB Topic 1.4: Estimating Limits from Tables (PDF + Editable ...
teacherspayteachers.com
Solved: Determine limlimits _xto 0frac (x+64)^ 1/3 -4x by change of ...
gauthmath.com
What Is Considered Small Scale Production? Definitions, Examples, and ...
trangbricks.co.in
CALCULUS AND LINEAR ALGEBRA(18MAT11)
azdocuments.in
AP Calculus AB Topic 1.4: Estimating Limits from Tables (PDF + Editable ...
teacherspayteachers.com
Examples of Irrational numbers Video Lecture - Calculus - Mathematics
edurev.in
Calculus AB & BC Formula Review Book 2025: Quick Guide with Key ...
amazon.in
Writing In your own words, explain the meanings of domain | StudySoup
studysoup.com
SOP for Nursing: How to Write sample SOP for MSc nursing?
yocket.com
Limits and Continuity Complete Cheatsheet | Formulas & Examples ...
knowledgeknot.desync.in
what is upper limit and lower limit frequency - Brainly.in
brainly.in
Buy Calculus And Analytic Geometry Book Online at Low Prices in India ...
amazon.in
Photoshop Course in Hindi | High Quality Training Videos with examples ...
amazon.in
Limit Character Input including Copy Paste in a Textbox or Textarea ...
encodedna.com
Sketching the Graph of a Rational Function In Exercises 4956, (a) state ...
studysoup.com
Limits and Continuity Complete Cheatsheet | Formulas & Examples ...
knowledgeknot.desync.in
What is Deviation Settlement Mechanism in Power Sector of India?
ceew.in
DETERMINATION OF LIQUID LIMIT & PLASTIC LIMIT – HIGHWAY GUIDE
highwayguide.co.in
CALC Lesson 1: Functions, Limits, and Continuity Overview - Studocu
studocu.com
Euro Indian Rupee (EUR INR) Forum - Investing.com India - Page 39
in.investing.com
Elementary Calculus: Example 6
vias.org
USD/INR Cracks Big: Falls 2% in 4 Days! | Investing.com India
in.investing.com
Women’s Empowerment and Its Limits
wti.org
Buy Examples and Solutions of the Differential Calculus Book Online at ...
amazon.in
MA103 Lab 6 Notes: Indeterminate Forms & Limit Evaluation - Studocu
studocu.com
Calculus II- 6 - GRAPHING - 6 Graphing In this chapter we continue our ...
studocu.com
Differential calculus solve this pls - Brainly.in
brainly.in
Understanding Limits and Continuity in Calculus Concepts | Course Hero
coursehero.com
International Trade Settlement in Indian Rupee (INR)
taxguru.in
50+ calculus worksheets for 12th Class on Quizizz | Free & Printable
wayground.com
Calculus in Computer Science: Where Math Fuels Technological Marvels!
lingayasvidyapeeth.edu.in
Buy Elements of the Differential and Integral Calculus: With Examples ...
amazon.in
Related Searches
Differential Calculus Examples
Examples of Limits
Math Limits Examples
Calculus Limits Cheat Sheet
Limits Calculus Graph
Math Limit Graph
Concept Map of Limits in Calculus
Limits of the Theorem
Types of Limits in Calculus
Limit Problem Examples
Limit Equation Calculus
Algebra of Limits
Calculus Limits Outline
Basic Limit Examples
AP Calculus Worksheets
Limits Exercises
Algebraic Limit Theorem
Limit Symbol Calculus
Multivariable Calculus
Calculus Easy Example
Limits Notes
Calculus Derivative Formula Sheet
Famous Limits
Calculus Exercise Example
Limit Theorems Examples
Calculus Formulas Cheat Sheet
Advanced Calculus Exercises
Limit Statement Examples in Calculus
Calculus Rules Cheat Sheet
Theroms of Limits
Calculus Limits Illustration
Limits Calculus Clip Art
Real-World Examples of Limits in Calculus
One-Sided Limits Examples Graph
Limits Calculus Worksheet and Answers
Graphical Limits Worksheet
Guitar and Calculus
Derivatives Worksheet
Example of Limits in Calculus Table of Values
Limits in Calculus Signs or Symbol or Designs
Order Limit Theorem
Indeterminate Calculus
Limits of Algebraic Function Examples
Limits Strategy Map for Calculus
Discontinuous Function Graph
Examples of Theorems of Limits Applied
Piecewise Function Examples
Quotes About Limit Laws Basic Calculus
Limits Growth Charts Calculus
Trigonometric Ratios Worksheet
Search
×
Search
Loading...
No suggestions found