Find Your Style
Women
Men
Accessories
Search for clothing, brands, styles...
×
Women
Men
Accessories
Examples Of Pneumatic Systems
Search
Loading...
No suggestions found
Welkinrim Secures INR 4.76 Crore in Funding to Advance High-Efficiency ...
aninews.in
Your Partner for Home INR Monitoring Services and Supplies | mdINR®
mdinr.com
INR Full Form: What is full form of INR?
bankersadda.com
GVPCE(A)-LMS: All courses
lms.gvpims.in
Basic pneumatic system - Pneumatic and Electro Pneumatic Systems ...
mech.poriyaan.in
Pneumatic Power System (layout of a pneumatic system) - Arrangement ...
mech.poriyaan.in
Appendix - pneumatic and electro-pneumatic systems - Trouble Shooting ...
mech.poriyaan.in
FRL Unit In Pneumatic System | CKD Pneumatics | SEIMITSU
seimitsu.in
Pneumatic trainer kit price | plc based electro pneumatic trainer ...
sapengineers.co.in
pneumatic cylinder sequencing circuits - Pneumatic and Electro ...
mech.poriyaan.in
Pneumatic trainer kit price | plc based electro pneumatic trainer ...
sapengineers.co.in
SMC Pneumatics | Pneumatics India
pneumaticsindia.co.in
Pneumatic Basics: Understanding Pneumatic Systems
digikey.in
Industrial automation applications | Industrial automation examples ...
seimitsu.in
Experimental Study of a New Pneumatic Actuating System Using Exhaust ...
mdpi.com
Active Pumps Pvt. Ltd.
activepumps.com
FRL Unit In Pneumatic System | CKD Pneumatics | SEIMITSU
seimitsu.in
Pneumatic Control Panel - Pneumatic Control Panel Cabinet from Coimbatore
vimalenterpriises.in
Industrial Mixture & Material Handling Equipment by Tej Industries, Nagpur
tejindustries.co.in
Virtual Labs
pc-coep.vlabs.ac.in
Pumps Types Types Of Pump Classification Of Pumps Different, 46% OFF
elevate.in
Pneumatic Basics: Understanding Pneumatic Systems
digikey.in
cylinder mountings - Hydraulic Actuators and Control Components ...
mech.poriyaan.in
4 th Module Notes - MODULE - IV PNEUMATIC SYSTEM INTRODUCTION ...
studocu.com
FRL Unit In Pneumatic System | CKD Pneumatics | SEIMITSU
seimitsu.in
Pneumatic Basics: Understanding Pneumatic Systems
digikey.in
Hydro Pneumatic Systems - Green aqua
greenaqua.in
Pneumatic Conveying In Bathinda | Pneumatic Conveying Manufacturers ...
chainconveyormanufacturers.in
GRUNDFOS Hydro Pneumatic Pressure Booster System -Shah Marketing, Indore
shahmarketing.co.in
Pneumatic Conveyors | Altomech - Pneumatic Conveying Systems ...
altomech.com
Virtual Labs
pc-coep.vlabs.ac.in
Pneumatic Air Hammer Set with 5 Quick-Change Chisels – Heavy-Duty ...
amazon.in
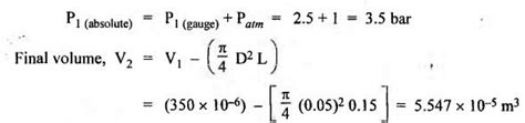
some numerical examples illustrating perfect gas laws - Pneumatic and ...
mech.poriyaan.in
some numerical examples illustrating perfect gas laws - Pneumatic and ...
mech.poriyaan.in
some numerical examples illustrating perfect gas laws - Pneumatic and ...
mech.poriyaan.in
some numerical examples illustrating perfect gas laws - Pneumatic and ...
mech.poriyaan.in
Buy Solar Air Systems - Built Examples Book Online at Low Prices in ...
amazon.in
some numerical examples illustrating perfect gas laws - Pneumatic and ...
mech.poriyaan.in
Valve, Pneumatic Equipment M-07-R G1/4 Inch Diaphragm Valve, Pneumatic ...
amazon.in
some numerical examples illustrating perfect gas laws - Pneumatic and ...
mech.poriyaan.in
some numerical examples illustrating perfect gas laws - Pneumatic and ...
mech.poriyaan.in
Adaptations observed in birds — lesson. Science State Board, Class 6.
yaclass.in
Royal - Your Partner for Quality Sealing Solutions
royalseals.co.in
some numerical examples illustrating perfect gas laws - Pneumatic and ...
mech.poriyaan.in
How Cabin Air Filters Work - Commercial Fixed Wing | Pall Corporation
pall.co.in
Pneumatic conveying systems for bulk materials
azo.com
Pneumatic Damper - Pneumatic Isolation Damper Manufacturer from Kolkata
valvetek.in
Investigating Pneumatics Worksheet Ι STEM Engineering
twinkl.co.in
Hydro Pneumatic System - Pressure Boosting Hydro Pneumatic System ...
technmech.in
CentIoT - Pneumatic connector Push In Fittings For Air Hose and Tube ...
amazon.in
R Systems Launches Groundbreaking Solution at Boomi World 2024 to ...
aninews.in
Industrial Control System - Definition
trendmicro.co.in
Workshop air suspension Jeep GRAND CHEROKEE (2011-2015)
audioledcar.com
Pneumatic Valves / Pneumatic Directional Control Valves
uflowvalve.com
Air Transportation Poster | Display Posters (teacher made)
twinkl.co.in
UHT PNEUMATIC TOOLS MSG-3BSN
needsinternational.in
DELTA Online UPS Systems -Jupiter Electronics & Telecom Systems ...
upsbattery.jetpower.co.in
Pneumatic Actuator
x2valves.in
Buy Air Systems International Saddle Vent 3000 cfm Pneumatic Blower Kit ...
desertcart.in
CEKER 1/4" NPT Push to Connect Air Fittings 6mm Tube Od Pneumatic Push ...
amazon.in
Crystal Systems - 7 types with Example
ece.poriyaan.in
Pneumatic Chisel Tool 150mm Straight Handle for Rock Breaking and ...
amazon.in
Pneumatic and Hydraulic Systems : Singh, K. Hiraniya: Amazon.in: Books
amazon.in
Buy Analysis and Design of Pneumatic Systems Book Online at Low Prices ...
amazon.in
NA Systems Pvt. Ltd.
nasystems.co.in
Mode of heat transfer - Convection and Radiation — lesson. Science CBSE ...
yaclass.in
R Systems Office Photos | Glassdoor
glassdoor.co.in
Buy The Analysis and Design of Pneumatic Systems Book Online at Low ...
amazon.in
Buy Manual Drain Separator, Standard Sizes High Accuracy 9.9kgf/cm² ...
desertcart.in
pneumatic Conveying System - Samirika Group
samirikagroup.in
Pneumatic trainer kit price | plc based electro pneumatic trainer ...
sapengineers.co.in
Master Pneumatic MPL 1 DROP, DBL COUNTERS 71001104B-CC | Zoro
zoro.com
Sydien 5 Pcs 4mm to M5 Male Thread Air Flow Control Valve with Push-to ...
amazon.in
Thames And Kosmos Mega Cyborg Hand Stem Experiment Kit Build ...
desertcart.in
Amazon.in: Buy Pneumatic Conveying Systems Book Online at Low Prices in ...
amazon.in
Enantiomers: Definitions, Examples, Properties, Representation ...
collegesearch.in
Buy TAILONZ PNEUMATIC Elbow 1/4 Inch Tube OD x 1/4 Inch NPT Thread Push ...
ubuy.co.in
FRL Unit with Pressure Gauge | Filter, Regulator & Lubricator | 1/4th ...
amazon.in
Air Transportation Poster | Display Posters
twinkl.co.in
Fit King Professional Air Compression Leg Recovery System Cordless ...
desertcart.in
explain 10 useful examples of atmospheric pressure - Brainly.in
brainly.in
Electro Hydraulic trainer | plc based hydraulic trainer | hydraulic ...
sapengineers.co.in
Administration of Warfarin Inhibits the Development of Cerulein-Induced ...
mdpi.com
Electric, Pneumatic & Hydraulic Tube Expansion Systems - POWERMASTER LTD
powermaster.in
Buy Mechanical Valve, Aluminum Alloy MOV Mechanical Valve ...
desertcart.in
R Systems Intl. Share Price Today - R Systems International Stock Price ...
groww.in
DEEBOT X1 OMNI - ECOVACS Website
ecovacsindia.in
Toxic Gases: The Inhalable Poison | Its Sources, Causes & Effects | AQI
aqi.in
Buy Manual of Pneumatic Systems Optimization Book Online at Low Prices ...
amazon.in
Manufacturer of Control Panel & Plc Control Panel by Madhav Automation ...
madhavautomation.co.in
Buy Hapeisy Air Blow Guns with Brass Adjustable Air Flow Nozzle ...
ubuy.co.in
Types of Number System: Definition, Conversion, Equations & Examples ...
collegesearch.in
Air Systems Intl SCBA Storage Rack, Black, Steel TR-4 | Zoro
zoro.com
International Trade Settlement in Indian Rupee (INR)
taxguru.in
GST Export Invoice and Foreign Currency Billing | Sleek Bill
sleekbill.in
AN40-04 SMC | SMC AN Resin 1MPa Pneumatic Silencer, Threaded, R 1/2 ...
in.rsdelivers.com
How to Build an Electronic Health Records (EHR) System
aimprosoft.com
Chass Engineers Private Limited, Ahmedabad - Manufacturer of Industrial ...
chassengineers.in
Hydraulic Robotic Arm Model Kit, Build Your Own Giant Hydraulic Robotic ...
desertcart.in
Diesel Generator Assembly Fixtures - Engine And Alternator Assembly ...
garudautomation.in
Pneumatic Cylinders - Smc Pneumatic Cylinder CA2 Series Trader ...
sfcpl.in
Pneumatic Walker Boot (Single Push Button - Short Type with 11" Height ...
vissconext.com
Actuated Butterfly Valves, ROSOV
advancevalves.com
Air Preparation Units - Pneumatic FRL Unit Authorized Retail Dealer ...
hardwarepneumatics.in
CDQ2B50TF-15DZ SMC | SMC Pneumatic Compact Cylinder - 50 mm Bore, 15 mm ...
in.rsdelivers.com
NA Systems Pvt. Ltd.
nasystems.co.in
Shri Instruments - Distributor / Channel Partner of HVAC & Pressure ...
shriinstruments.co.in
All Products from TRASY ENTERPRISES for Hot Melt Machines in Mumbai
trasyenterprises.in
Service Provider of Submersible Pump & Pipe Fitting by Samruddhi ...
samruddhiirrigation.in
Maintenance, Troubleshooting, and Safety in Pneumatic Systems ...
amazon.in
Buy TAILONZ PNEUMATIC 38 Inch NPT Compressed Air Filter Particle Filter ...
ubuy.co.in
Festo Pneumatic PU Tube 100Mtr Bundle Roll 6mm / 8mm / 10mm (6mm x 4mm ...
amazon.in
Master Pneumatic MODULAR FILTER 6MM F10-M6 | Zoro
zoro.com
Indrajaal Partners with Sigma Advanced Systems for Indigenous Anti ...
smestreet.in
KBK STEEL RAIL SYSTEMS Products in Gurugram | NIHON NEEDS INTERNATIONAL ...
needsinternational.in
Buy AIR SYSTEMS INTERNATIONAL Centrifugal Confined Space Blower Kit, 1/ ...
desertcart.in
Master Pneumatic INT.PILOT 3/4, 15-100, GAGE IR380-6LG | Zoro
zoro.com
8 MMX 12MM Pneumatic joint Type Equal Air Line Straight Push Connector ...
amazon.in
Production Linked Incentive Scheme (PLI)
aicfo.in
Persistent Systems Nāgpur office | Glassdoor
glassdoor.co.in
Related Searches
Pneumatic HVAC System
Pneumatic System Design
Pneumatic Air System
Pneumatic Devices Examples
Types of Pneumatic Systems
Pneumatic Conveyor System
Basic Pneumatic System
Components of Pneumatic System
Pneumatic Actuator System
What Is Pneumatic
Pneumatic Clamping System
Pneumatic Pump Diagram
Hydraulic and Pneumatic Systems Examples
Pneumatic Drawing
Pnuematics System
Pneumatic Pressure
Pneumatic Actuator Valve
Sistem Pneumatic
Pneumatic Device
Pneumatic Automation
Pneumatic Symbols Library
Application of Pneumatic System
Mechanical Systems. Examples
Pneumatic Machine
Pneumatic Directional Control Valve
Pneumatic Schematic
Pneumatic Circuit Design
Pneumatic Clamp
Simple Pneumatic System
Air Compressor in Pneumatic System
Pneumatic Nail Gun
Pneumatic Fixture Clamps
Machines That Use Pneumatic Systems
Pneumatic System Block Diagram
Pneumatic Relay
Pneumatic Conveying
Pneumatic Energy Hazards
Principles of Pneumatic Systems
Pneumatic Energy Source
Pneumatic Tube System Diagram
Pneumatic Actuation System
Pneumatic Solenoid Valve
Examples of Pneumatics
Pneumatic Flow
Pneumatic Form
Portable Pneumatic System
Pneumatic Delivery Tube
Diagram for Pneumatic System
Pneumatic Actuator Symbol
Pneumatic System Parts
Search
×
Search
Loading...
No suggestions found