Find Your Style
Women
Men
Accessories
Search for clothing, brands, styles...
×
Women
Men
Accessories
Exponential Of Complex Number
Search
Loading...
No suggestions found
Freecomplexnumbers - Complex no. Booklet - Complex Numbers and the ...
studocu.com
View question - Complex number exponential
web2.0calc.com
[Math Tutorial Series] Complex exponential function I — Teletype
teletype.in
in : Definition, Types and Importance | AESL
aakash.ac.in
[Math Tutorial Series] Complex exponential function I — Teletype
teletype.in
Basics of Complex Numbers - Cartesian; Polar; Exponential Forms - Cube ...
edurev.in
Classification of Signals and Systems - Signal, Elementary Signals
ece.poriyaan.in
Ourtutorials
ourtutorials.in
Complex Number With Examples - Algebra - Mathematics PDF Download
edurev.in
Complex Numbers and Elementary Functions of Complex Variable - 338 6 ...
studocu.com
plify using law of exponent: /3)*x (1/3)5 me conjugate of the following ...
brainly.in
Important Complex Numbers and Quadratic Equations Formulas for JEE and NEET
edurev.in
Complex Numbers
mathsindepth.in
Mathematical Logic: GATE CSE 2012 | Question: 13
gateoverflow.in
Ashwani Blog
blog.ashwanikumarsingh.in
Cambridge IGCSE® Mathematics | IGCSE MATHS | A-LEVEL MATHS
igcsemaths.in
Algebra of Complex Numbers - Basic Physics for IIT JAM PDF Download
edurev.in
Virtual Lab
iitg.ac.in
Express each of the following numbers using exponential notation : (i ...
ask.learncbse.in
Complex Numbers in One Shot Video Lecture - JEE
edurev.in
Modulus and Conjugate of a Complex Number Video Lecture - Algebra ...
edurev.in
Argument of Complex Numbers: Meaning and Applications
allen.in
Modulus and Argument of a Complex Number Video Lecture - JEE
edurev.in
Express each of the following numbers using exponential notation : (i ...
ask.learncbse.in
NCERT Solutions Class 11 Maths Chapter 4 - Complex Numbers and ...
edurev.in
Complex Numbers And Quadratic Equations, Class 11 Mathematics NCERT ...
evidyarthi.in
express the complex number in the form a + ib (-√-1) to the power 31 ...
brainly.in
Argument of Complex Numbers: Meaning and Applications
allen.in
Geometry of Complex Numbers | AESL
aakash.ac.in
Geometry of Complex Numbers | AESL
aakash.ac.in
Argument of Complex Numbers: Meaning and Applications
allen.in
Numbers in Exponential Form Differentiated Worksheets
twinkl.co.in
கலப்பெண்கள் அறிமுகம் (Introduction to Complex Numbers) | Introduction ...
brainkart.in
express the complex number in the form of a+ iota b1.) (1- iota )^42 ...
brainly.in
question from complex number - Brainly.in
brainly.in
Write the real and imaginary part of the complex number 1+3i/2-3i ...
brainly.in
Detailed Notes: Complex Numbers - Mathematics (Maths) for JEE Main and ...
edurev.in
express the complex number in the form of a+ b iota[( 1/3+iota 7/3)+(4 ...
brainly.in
Complex Numbers in n Dimensions (ISSN Book 190) eBook : Olariu, S ...
amazon.in
How to dividing complex numbers by complex numbers? - Brainly.in
brainly.in
Complex Numbers: Assignment - Mathematical Methods - Physics PDF Download
edurev.in
Demoivre's Theorem in Complex Numbers Video Lecture - Crash course for JEE
edurev.in
அடுக்கு எண்களில் உள்ள ஒன்றாம் இலக்கம் (Unit Digit of Numbers in ...
brainkart.in
Convert the complex number [tex] z = \frac{ i - 1}{Cos \frac{\pi}{3 ...
brainly.in
Conjugate in Math - Advance Learner Course: Mathematics (Maths) Class 8 ...
edurev.in
Complex Numbers And Quadratic Equations, Class 11 Mathematics NCERT ...
evidyarthi.in
Represent the complex number in the polar form z=-1-i√3 why theta is π ...
brainly.in
Complex numbers (concepts of physics Book 2) eBook : Mangoni, Alessio ...
amazon.in
Square Root of a Complex Number - JEE PDF Download
edurev.in
Complex Analysis MAT651 LAB - TOPIC 1: REVISION INTRODUCTION Date: 06 ...
studocu.com
Fillable Online math psu MATH 26 4.3 Trigonometric Form of a Complex ...
pdffiller.com
Mind Maps For Complex Number - Class 11, 12 , JEE (Main + Advanced)
esaral.com
Mind Maps For Complex Number - Class 11, 12 , JEE (Main + Advanced)
esaral.com
Exponents Worksheet | Senior Phase | Twinkl SA - Twinkl
twinkl.co.in
Argand and Polar Form of Complex Number - Complex Numbers and Quadratic ...
edurev.in
Notes - NOTES FOR MATH 520: COMPLEX ANALYSIS KO HONDA Complex numbers ...
studocu.com
Express this complex number in the form of a + ibi^-39 ( i to the power ...
brainly.in
Represent the complex number in the polar form z=-1-i√3 why theta is π ...
brainly.in
express the following complex number in the form of a+ib5+9i/-3 ...
brainly.in
Trigonometry & Complex Numbers In Hindi By Amit M Agarwal (Second Hand ...
amazon.in
Let z be complex number such that
esaral.com
Exponential Numbers, Exponential Equation, Math Exponent Rules and ...
amazon.in
make law of exponent showing on chart paper - Brainly.in
brainly.in
Complex Numbers Class 11 Notes for IIT JEE
esaral.com
prepare a chart for prime factorization and exponential form of some ...
brainly.in
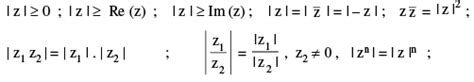
கலப்பெண்ணின் மட்டுக்கான பண்புகள் (Properties of Modulus of a complex ...
brainkart.in
Complex Numbers in Polar Form Task Cards with QR Codes | TPT
teacherspayteachers.com
Ourtutorials
ourtutorials.in
Complex Numbers in Polar Form Task Cards with QR Codes | TPT
teacherspayteachers.com
Use De Moivre's theorem to write the complex number in trigonometric ...
brainly.in
கலப்பெண்கள் அறிமுகம் (Introduction to Complex Numbers) | Introduction ...
brainkart.in
Complex numbers formula sheet for 11th or 12th grade - COMPLEX NUMBERS ...
studocu.com
MATLAB Modules for Control System Principles and Design
arctest.dev.nptel.ac.in
Laurent Series For Complex Number Video Lecture - Crash Course: Civil ...
edurev.in
compute the modulus and argument of each complex number. Plot and label ...
brainly.in
Geometric Series Formula - Meaning, Formula , Applications And FAQs
pw.live
express the following complex numbers in the standard form a + ib: (1+I ...
brainly.in
கலப்பெண்ணின் மட்டுக்கான பண்புகள் (Properties of Modulus of a complex ...
brainkart.in
Write following complex numbers in polar formz=2+6√3i÷5+√3i - Brainly.in
brainly.in
Compute the modulus and argument of each complex number. Plot and label ...
brainly.in
Complex numbers summary - Complex Number Rules ! z = x + iy ! z = x ñ ...
studocu.com
Buy Trigonometric Functions And Complex Numbers: In Mathematical ...
amazon.in
Complex Numbers - UNIT – II COMPLEX NUMBERS 2 ALGEBRA OF COMPLEX ...
studocu.com
Polar Representation of a Complex Number- 2 Video Lecture - Mathematics ...
edurev.in
கலப்பெண்ணின் மட்டுக்கான பண்புகள் (Properties of Modulus of a complex ...
brainkart.in
Write following complex numbers in polar formz=2+6√3i÷5+√3i - Brainly.in
brainly.in
Working with Complex Numbers in MATLAB - Surfside Media
surfsidemedia.in
Complex Numbers in Polar Form Task Cards with QR Codes | TPT
teacherspayteachers.com
Consider XYZ Triangle X Y Z is shown. Angle X Z Y is a right angle ...
brainly.in
Working with Complex Numbers in MATLAB - Surfside Media
surfsidemedia.in
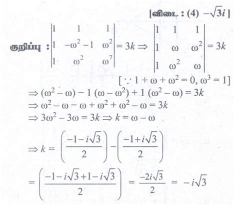
பயிற்சி 2.9: சரியான விடையை தேர்ந்தெடுத்து எழுதுக - கலப்பு எண்கள் ...
brainkart.in
கலப்பெண்ணின் மட்டுக்கான பண்புகள் (Properties of Modulus of a complex ...
brainkart.in
The Evaluation and Sensitivity of Decline Curve Modelling
mdpi.com
NPTEL IIT Guwahati
archive.nptel.ac.in
கலப்பெண்கள் அறிமுகம் (Introduction to Complex Numbers) | Introduction ...
brainkart.in
How to find a complementary function in a linear differential equation.
scoop.eduncle.com
கலப்பெண்களின் அடிப்படை இயற்கணிதப் பண்புகள் (Basic Algebraic Properties ...
brainkart.in
Complex Numbers in Geometry eBook : Yaglom, I. M., Booker, Henry ...
amazon.in
கலப்பெண்ணின் மட்டுக்கான பண்புகள் (Properties of Modulus of a complex ...
brainkart.in
Complex Numbers Questions PDF for NDA, CDS, AFCAT Exam
adda247.com
Detailed Notes: Complex Numbers - Mathematics (Maths) for JEE Main and ...
edurev.in
Let R be the set of positive real numbers. if the operation of vector ...
scoop.eduncle.com
Complex Numbers in Polar Form Task Cards with QR Codes | TPT
teacherspayteachers.com
Polymerase Chain Reaction [PCR] Technology for M.TB | Knowledge Base
ntep.in
கலப்பெண்கள் அறிமுகம் (Introduction to Complex Numbers) | Introduction ...
brainkart.in
. Find the modulus of the complex number: 1 + i3/ (1 - i)² - Brainly.in
brainly.in
பாடச்சுருக்கம் - கலப்பு எண்கள் | Summary - Complex Numbers | in Tamil
brainkart.in
பயிற்சி 2.9: சரியான விடையை தேர்ந்தெடுத்து எழுதுக - கலப்பு எண்கள் ...
brainkart.in
plot all the complex numbers in the complex number plane whose absolute ...
brainly.in
Working with Complex Numbers in MATLAB - Surfside Media
surfsidemedia.in
Difference between real number and imaginary number in short - Brainly.in
brainly.in
Convert this complex number i.e, 3 into the polar form ? - EduRev Class ...
edurev.in
Complex Analysis Assignment - ASSIGNMENT I Q. Write a program to get ...
studocu.com
Express the following complex number in the standard form a+ib ?(−√3+√− ...
brainly.in
Oop-practical - Problem statement and there solutions - /*Implement a ...
studocu.com
Working with Complex Numbers in MATLAB - Surfside Media
surfsidemedia.in
பயிற்சி 2.9: சரியான விடையை தேர்ந்தெடுத்து எழுதுக - கலப்பு எண்கள் ...
brainkart.in
பயிற்சி 2.9: சரியான விடையை தேர்ந்தெடுத்து எழுதுக - கலப்பு எண்கள் ...
brainkart.in
பயிற்சி 2.9: சரியான விடையை தேர்ந்தெடுத்து எழுதுக - கலப்பு எண்கள் ...
brainkart.in
MATLAB Modules for Control System Principles and Design
arctest.dev.nptel.ac.in
Related Searches
Phase of Complex Number
Cartesian Form Complex Number
Complex Number Polar Form
Exponential Function Definition
Search
×
Search
Loading...
No suggestions found