Find Your Style
Women
Men
Accessories
Search for clothing, brands, styles...
×
Women
Men
Accessories
Exponential Rise Waveforms In Function Generator
Search
Loading...
No suggestions found
Siglent Technologies SDG1032X Arbitrary Waveform - Function Generator ...
amazon.in
Triangular Wave Generator using Op-amp - Working Principle, Pulse ...
eee.poriyaan.in
Virtual Labs
ae-iitr.vlabs.ac.in
EDU33210 Function/Arbitrary Waveform Generators - Keysight Technologies ...
mouser.in
Siglent Technologies SDG2042X Arbitrary Waveform Function-Generators ...
amazon.in
FG-2002 Function Generator
toolworld.in
Buy Siglent Technologies SDG2042X Arbitrary Waveform Function ...
desertcart.in
Technical Support: 33600U for 1- and 2-Channel 33600A Series Waveform ...
keysight.com
Function Generator Products
toolworld.in
Evolution of Flow and Streaming in Exponential Variable Cross-Section ...
mdpi.com
OWON Waveform Generator, 60MHz Bandwidth,300MSa/s India | Ubuy
ubuy.co.in
Electronix Express 3 MHz Function Generator with Six Waveforms India | Ubuy
ubuy.co.in
Signal Generator, DDS Function Signal Generator Waveforms Sturdy ...
amazon.in
theory
svce.ac.in
Professional Upgraded DDS Signal Generator Counter, Seesii 60MHz LCD ...
amazon.in
Siglent Technologies SDG810 Siglent Single Channel 10 mhz Bandwidth ...
amazon.in
Activity: Simple Op Amps, For ADALM2000 [Analog Devices Wiki]
wiki.analog.com
Buy Function Generators, Electronic Waveforms Generators – Robocraze
robocraze.com
Function Generator Products
toolworld.in
Frequency Counter, Function Generator ABS Multiple Output Waveforms for ...
amazon.in
DGE2035 Arbitrary Waveform Generator
toolworld.in
Technical Support: EDU33211A Waveform Generator, 20 MHz, 1 Channel ...
keysight.com
33503B BenchLink Waveform Builder Pro Software | Keysight
keysight.com
Model WW5061/2 50MS/s Single/Dual Channel Arbitrary Waveform Function ...
pdf.directindustry.com
Siglent Technologies SPD3303X-E Triple Output Power | Ubuy India
ubuy.co.in
DDS Signal Generator 3-Channel Arbitrary Waveform Function Generator ...
desertcart.in
Model WW5061/2 50MS/s Single/Dual Channel Arbitrary Waveform Function ...
pdf.directindustry.com
Metravi DDS-35 DDS Portable Function Generator, 35MHz, Dual-Channel ...
amazon.in
Tektronix AFG1022-2 Channels 25MHz Bandwidth Standard Arbitrary ...
amazon.in
DDS Functional Signal Generator, High Precision Sine, Triangle, Square ...
amazon.in
80MHz Dual Channel Signal Generator, Arbitrary Waveform Function ...
amazon.in
Aplab 1 MHz Multi Waveform Signal Generator : Amazon.in: Electronics
amazon.in
Siglent Technologies SDG2042X Arbitrary Waveform Function-Generators ...
amazon.in
DGE2035 Arbitrary Waveform Generator
toolworld.in
Buy SIGLENT SDS1204X-E Super Phosphor Oscilloscope 4-Channel 200 MHz 1 ...
ubuy.co.in
Upgraded DDS Signal Generator Counter Dual Channel Arbitrary Waveform ...
amazon.in
Siglent Technologies SDG2042X Arbitrary Waveform Function-Generators ...
amazon.in
33500B Waveform Generators - Keysight Technologies | Mouser
mouser.in
Siglent Technologies SDG1032X Arbitrary Waveform - Function Generator ...
amazon.in
Fluke 284-U 115V 40 MS/s 4-Channel Waveform Function Generator from ...
coleparmer.in
Metravi DDS-70 DDS Portable Function Generator, 70MHz, Dual-Channel ...
amazon.in
Skyking Tektronix AFG3022B - Arbitrary Waveform Generator with 2 Analog ...
amazon.in
OWON Waveform Generator, 60MHz Bandwidth,300MSa/s India | Ubuy
ubuy.co.in
TOPINCN AD9833 Digital DDS Generator Module Arbitrary Waveform Function ...
amazon.in
Ajantaexports Audio Frequency Function Generator Function Generator ...
desertcart.in
Exponential Curve-Based Control Strategy for Auxiliary Equipment Power ...
mdpi.com
Function Generator Using Operational Amplifier
ae-iitr.vlabs.ac.in
DDS Signal Generator 3-Channel Arbitrary Waveform Function Generator ...
desertcart.in
Koolertron Upgraded 15MHz DDS Signal Generator Counter,High Precision ...
amazon.in
Technical Support: 33522B Waveform Generator, 30 MHz, 2-Channel with ...
keysight.com
Programmable DDS Signal Generator Counter, Koolertron Upgraded 80MHz 3 ...
amazon.in
OWON Waveform Generator, 60MHz Bandwidth,300MSa/s India | Ubuy
ubuy.co.in
OWON Waveform Generator, 60MHz Bandwidth,300MSa/s India | Ubuy
ubuy.co.in
JDS6600 DDS Signal Generator Counter, 15MHz 30MHz 40MHz 50MHz 60MHz ...
amazon.in
Buy SIGLENT SDS1204X-E Super Phosphor Oscilloscope 4-Channel 200 MHz 1 ...
ubuy.co.in
Buy 2022 Upgraded Signal Generator, Seesii 60MHz 275MSa/s Dual Channel ...
desertcart.in
Koolertron Upgraded 15MHz DDS Signal Generator Counter,High Precision ...
amazon.in
KUSAM-MECO Function Generator Model - KM 2010 : Amazon.in: Industrial ...
amazon.in
Buy NIDONE Signal Generator Arbitrary Waveform Function Signal Sources ...
desertcart.in
Timer IC 555 - Operating working principle, Block Diagram, Pin Diagram ...
eee.poriyaan.in
OWON Waveform Generator, 60MHz Bandwidth,300MSa/s India | Ubuy
ubuy.co.in
Goupchn Programmable Dds Signal Generator 60mhz Dual Channel Arbitrary ...
desertcart.in
Buy DDS Signal Generator 3-Channel Arbitrary Waveform Function ...
desertcart.in
Professional Upgraded 15MHz DDS Signal Generator Counter, Seesii 2 ...
amazon.in
Model WW5061/2 50MS/s Single/Dual Channel Arbitrary Waveform Function ...
pdf.directindustry.com
Signal Generator - 2 MHz Signal Generator Manufacturer from Bengaluru
micrologicsindia.co.in
Siglent Technologies SDG1032X Arbitrary Waveform - Function Generator ...
amazon.in
Function Generator ICL 8038 - Operating working principle, Block ...
eee.poriyaan.in
DDS Signal Generator 3-Channel Arbitrary Waveform Function Generator ...
desertcart.in
Buy 3 Channel 25MHz Signal Generator LCD Display Arbitrary Waveform ...
desertcart.in
AFG31000 Arbitrary/Function Generator - Tektronix | Mouser
mouser.in
Virtual Labs
ade2-iitr.vlabs.ac.in
Koolertron 15MHz High Precision DDS Signal Generator Counter,Upgraded ...
amazon.in
Virtual Labs
pe-iitr.vlabs.ac.in
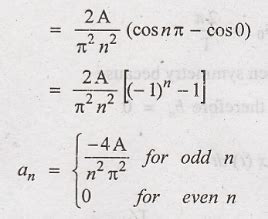
Continuous Time Fourier Series - Cosine Fourier Series, Exponential ...
ece.poriyaan.in
Function Generator Products
toolworld.in
Continuous Time Fourier Series - Cosine Fourier Series, Exponential ...
ece.poriyaan.in
OWON Waveform Generator, 60MHz Bandwidth,300MSa/s India | Ubuy
ubuy.co.in
IC TESTER - Analog And Digital IC Tester ADIT 40 Manufacturer from ...
micrologicsindia.co.in
Amazon.in: Buy 27 inch Length Generator Test Line Cable,0.12in / 4mm ...
amazon.in
OWON Waveform Generator, 60MHz Bandwidth,300MSa/s India | Ubuy
ubuy.co.in
theory
svce.ac.in
Buy XDS3202A Digital Oscillo,Data Logger+Multimeter+Waveform Generator ...
desertcart.in
Function Generator ICL 8038 - Operating working principle, Block ...
eee.poriyaan.in
Exponential Growth and Decay Worksheet
twinkl.co.in
Virtual Labs
pe-iitr.vlabs.ac.in
Function Generator Products
toolworld.in
Function Generator - Tektronix AFG31021 Arbitrary Function Generator ...
technoscientific.in
Procedure
evalidate.in
Buy Abestop Oscillo 3 in 1 Functions Oscillo Multimeter with Waveform ...
desertcart.in
Signal Generator Cable,2Pcs BNC to Dual Coaxial Cable,Testing Hook ...
amazon.in
Virtual Labs
pe-iitr.vlabs.ac.in
Function-waveform Generator - Vartech 10MHz Signal / Function Generator ...
micrologicsindia.co.in
OWON Waveform Generator, 60MHz Bandwidth,300MSa/s India | Ubuy
ubuy.co.in
Jopwkuin Signal Generator Dual Channel Arbitrary Waveform Function ...
desertcart.in
Continuous Time Fourier Series - Cosine Fourier Series, Exponential ...
ece.poriyaan.in
Function Generator ICL 8038 - Operating working principle, Block ...
eee.poriyaan.in
Calculations
evalidate.in
Function Generator
makerbazar.in
Electronic test and measuring instrument , welcome to dot technologies
dottech.in
Function Generator Products
toolworld.in
Procedure
evalidate.in
Continuous Time Fourier Series - Cosine Fourier Series, Exponential ...
ece.poriyaan.in
Arbitrary Waveform Function Generator, Multifunctional AC 110‑240V 3 ...
amazon.in
Function Generator Products
toolworld.in
Scopy Signal Generator [Analog Devices Wiki]
wiki.analog.com
Activity: Amplifier Output Stages - ADALM2000 [Analog Devices Wiki]
wiki.analog.com
Activity: Simple Op Amps, For ADALM2000 [Analog Devices Wiki]
wiki.analog.com
Theory
evalidate.in
Oscilloscope Products
toolworld.in
Oscilloscope Products
toolworld.in
Buy HANMATEK 3 in 1 Handheld Oscillo Multimeter 100Mhz Waveform ...
desertcart.in
Derivatives of Exponential and Logarithm Functions Video Lecture ...
edurev.in
What is orthogonal wave function
scoop.eduncle.com
Build CMOS Logic Functions Using CD4007 Array - ADALM2000 [Analog ...
wiki.analog.com
HANTEK INDIA Oscilloscope (Original Hantek)
hantek.in
Model 575 Digital Delay / Pulse Generator - BNC - PDF Catalogs ...
pdf.directindustry.com
SR Flip-Flop - Circuit diagram, Logic symbol, Truth table ...
eee.poriyaan.in
50+ derivatives of exponential functions worksheets for 10th Class on ...
quizizz.com
Digital IF Processors & Waveform generators - DATA PATTERNS
datapatternsindia.com
Related Searches
Waveform Types
Periodic Waveform
Exponential Decay Waveform
Double Exponential Waveform
Cos in Exponential Form
Pressure Waveform Ventilator
Damped Sine Wave
Biphasic Waveform
Waveform Shapes
Exponential Waveform Drawing
Signal Waveform
Phasic Waveform
Sinusoidal Waveform
Monophasic Waveform
Non-Sinusoidal
Triangle Waveform
Exponential Decay Curve
Surge Waveform
Fourier Transform of Exponential
Pulse Waveform
Decaying Sine Wave
Exponential Fourier Series
Current Waveform
Voltage Waveform
Ventilator Flow Waveforms
Complex Exponential Signal Waveform
Sine Wave Amplitude
Exponential Function Graph
Chirp Waveform
Sin and Cos in Exponential Form
Biphasic Truncated Exponential Waveform
Wave Equation Exponential
Example of Exponential Form
Exponential Decay Pattern
Exponential Parent Function Graph
DNA Waveform
Monophasic vs Biphasic Waveforms
Truncated Waveform Vibration
Waveform Generator Circuit
Exponential Pulse Waveform Formula
What Is a Truncated Waveform
Exponential Shift Theorem
Waveform Monophasic Triphasic
Hyperbolic Waveform
Rectilinear Biphasic Waveform
Sawtooth Fourier Series
Exponential Ramp
Expontial Rise Waveform
Monophasic Continuous Waveform
Alternate Exponentail Waveform
Search
×
Search
Loading...
No suggestions found