Find Your Style
Women
Men
Accessories
Search for clothing, brands, styles...
×
Women
Men
Accessories
Extensor Digitorum Group
Search
Loading...
No suggestions found
ACME Group Garners Initial Capital For 300 Crore INR 'Connect' Fund ...
freepressjournal.in
DS Group Achieves Landmark Revenue of INR 10,000 Crore, F&B the Largest ...
aninews.in
IIM Sambalpur Placement 2023: Highest Package: INR 64.61 LPA, Average ...
zollege.in
Project Monitoring Groups (PMG) Portal Upgraded; Projects worth INR 6. ...
investindia.gov.in
Tata Group Invests INR 950 Crore in Agratas for Battery Expansion
constructionworld.in
Gaurs Group Invests INR 7 billion in Noida and Jaypee Greens
constructionworld.in
AP Cabinet approves 10 tourism projects worth INR 2,800 cr; Oberoi ...
travel.economictimes.indiatimes.com
B2B Industrials Startup Magma's Order Book Crosses INR 500 Crore in FY26
aninews.in
SLCM agri financing arm raises INR 29 Crores through Symbiotics Group
agritimes.co.in
SPJIMR Placement 2024: Highest Package: INR 81 LPA, Average Package ...
zollege.in
JSW Group Firm Gets SEBI Nod for INR 4,000 Crore IPO
psuconnect.in
GMR Group wins INR 2,470 Cr contract for UP's smart meter project ...
constructionworld.in
INCOR Group raises financing of INR 1550 Million from Investec Managed ...
aninews.in
ANAROCK Revenue Up 36 per cent at INR 566 Cr in FY24, Surpasses INR 550 ...
aninews.in
DS Group's Pulse Candy Becomes A INR 750 Crore Consumer Brand
aninews.in
Sanjay Ghodawat Group targets INR 7500 cr revenue by 2025
aninews.in
Rasna acquires Jumpin for INR 350 crores | Marketing | Campaign India
campaignindia.in
Essel Group to divest upto 11 percent stake in ZEEL for INR 4224 crore ...
campaignindia.in
INR (Indian Rupee) - Definition, What is INR (Indian Rupee), Advantages ...
cleartax.in
Godrej Group to Invest INR 300 Cr in Telangana | Hyderabad ...
hitex.co.in
Ethnic Fashion Brand Libas Gains INR 150 Cr Maiden Funding from ICICI ...
shoplibas.com
Dr Agarwals Eye Hospitals group announced that it will invest INR 100 ...
investindia.gov.in
Great Lakes Trek In Kashmir For INR 8,400 | LBB, Mumbai
lbb.in
Saris Under INR 2,500: Best Sari Shops In Delhi | LBB Delhi
lbb.in
Poonawalla Finance crosses INR 1000 crore AUM
aninews.in
Drunk December Deal: Score Drinks & Pizza Slices At Just INR 99 At This ...
lbb.in
Diagram of Muscles of leg lateral view | Quizlet
quizlet.com
Build Strong, Shapely Legs: The Ultimate Legs Workout Guide for Indian ...
kriya.fit
Characteristics of Surface Electromyograph Activity of Cervical ...
mdpi.com
B1.2- Proteins Flashcards | Quizlet
quizlet.com
Ketone Functional Group || How Ketone Bodies are Produced|Chemistry Page
chemistrypage.in
Journey of Rohan Shah: Founder of Revo International-TRUEREVO & Navin Group
werisebyliftingothers.in
All Manufacturer from PAT IMPEX INDIA in Vadodara
patimpex.in
Q. Write the names of the functional groups in: R\ R\ (a) C =O (b). C=O ...
brainly.in
Sharing Circles – SoulUp
soulup.in
CSR @OIL | Oil India Limited
oil-india.com
How to Make Boxplots and Boxplots With Groups in R (R Tutorial 2.2 ...
edurev.in
ICC announces Champions Trophy 2025 prize money: Check cash prize for ...
msn.com
CMA Course Fees: Exam & Certification Costs Explained
toplad.in
Denovo Group
denovogroups.in
Denovo Group
denovogroups.in
Corporate Groups Package | Pawna Lake Camping for Corporate Groups
wildlakecamping.in
PARTH RESIDENCY in Jaipur
parthresidency.in
Invest India
investindia.gov.in
CSR @OIL | Oil India Limited
oil-india.com
Addison Group Office Photos
glassdoor.co.in
Luthra And Luthra, Reverse Merger, Ujjivan Group
livelaw.in
Individual Evaluation of the Common Extensor Tendon and Lateral ...
mdpi.com
BigBasket Competitorsdf7a9973-a5d4-4bc0-b668-2b66da710158.JPG
investyadnya.in
Indian Premier League Official Website
iplt20-dev.epicon.in
Placement 2021 22, TKIET, Warana
tkietwarana.ac.in
Doctors | Justice K S Hegde Charitable Hospital Deralakatte Mangalore
kshegdehospital.in
Addison Group Office Photos
glassdoor.co.in
R2dk Group
r2dkgroup.in
L&T Finance: How KKR India, L&T Finance, Shapoorji group’s INR270 crore ...
economictimes.indiatimes.com
Placement 2021 22, TKIET, Warana
tkietwarana.ac.in
What is the correct order of inductive effect?
scoop.eduncle.com
Classification of organic compounds based on functional groups — lesson ...
yaclass.in
Clinical/Sonographic Assessment and Management of Calcific Tendinopathy ...
mdpi.com
Indemnity Bond - All You Need To Know
magicbricks.com
LoginView
tms.totalgroup.in
Kerala Lottery Result: December 16, 2025 - Sthree Sakthi SS-498 Results ...
freepressjournal.in
Trident Group launches its Flagship "Takshashila Programme" to provide ...
aninews.in
LoginView
tms.totalgroup.in
2 Days 1 Nights Haridwar Pick Up Tour Package by Shri Narmada group ...
hellotravel.com
Breaking down revenue streams of Reliance Industries
finshots.in
US Military To Deploy Navy Ships, USS Gerald R Ford Closer To Israel To ...
timesnownews.com
Doctors | Justice K S Hegde Charitable Hospital Deralakatte Mangalore
kshegdehospital.in
Mexico City Tour 2023 - Viator
viator.com
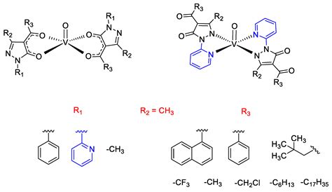
On the Capability of Oxidovanadium(IV) Derivatives to Act as All-Around ...
mdpi.com
Placement 2021 22, TKIET, Warana
tkietwarana.ac.in
GGSIPU: Fees, Admission 2025, Courses, Cutoff, Ranking, Placement
zollege.in
Now experience cycle safaris at Pench Tiger Reserve, Maharashtra ...
timesofindia.indiatimes.com
Most Expensive Cars: বিশ্বের সবচেয়ে দামি ৫ গাড়ির তালিকা, দাম শুনলে ...
bangla.aajtak.in
Placement 2021 22, TKIET, Warana
tkietwarana.ac.in
Placement 2021 22, TKIET, Warana
tkietwarana.ac.in
R2dk Group
r2dkgroup.in
Apparel Group to open 20 R&B stores in India this year
in.fashionnetwork.com
CA Course Guide 2025: Duration, Eligibility, and Exam Overview
vsijaipur.com
Blood Group Types, Erythroblastosis foetalis, Antigens and Antibodies ...
aakash.ac.in
Placement 2021 22, TKIET, Warana
tkietwarana.ac.in
R T Groups Pune
rtgroups.co.in
What are Vertebrates? | Vertebrate Groups - Twinkl
twinkl.co.in
Patna: A traveller's guide to the capital of Bihar
theceo.in
Indorient Financial Services Limited | Indorient
indorient.in
Corporate Groups Package | Pawna Lake Camping for Corporate Groups
wildlakecamping.in
Check out these 7 upcoming cultural events in Bengaluru
msn.com
100+ Best WhatsApp Group Names For Family, Colleagues & Friends ...
cashify.in
Indian Rupee Symbol (₹): Facts about the official Currency of India
indiatimes.com
Hurun Rich List 2024: Gautam Adani to Azim Premji, India's 10 wealthy ...
theweek.in
Tata Group set to record highest growth in history: N Chandrasekaran
currentaffairs.adda247.com
PARTH RESIDENCY in Jaipur
parthresidency.in
Plan A Solo Trip With These Travel Groups For Women | LBB
lbb.in
Monsters Inc Lips - A Look At Iconic Features
ixd.anu.edu.in
On the Capability of Oxidovanadium(IV) Derivatives to Act as All-Around ...
mdpi.com
Intellipro Group Office Photos
glassdoor.co.in
Bt Group Jobs : Feb (2025) - Apply to 43 Jobs | foundit india
foundit.in
Investment Banking Advisory Services | Mergers & Acquisitions, Debt ...
pinc.co.in
Char Dham Yatra 2026 From Rishikesh,Char Dham Yatra By Helicopter From ...
chardhamtrip.in
Singapore Private Instagram Tour by Car with Lunch 2024 - Viator
viator.com
Investment Banking Advisory Services | Mergers & Acquisitions, Debt ...
pinc.co.in
Thailand group tour
traveltriangle.com
Hand Grips - Buy Hand Grips Online at Best Prices in India
flipkart.com
Prof. B. R. Jagirdar Group
ipc.iisc.ac.in
Tata Group - History, Journey, Companies
groww.in
Top BSc Geography: Admission 2025, Syllabus, Salary and College
collegesearch.in
Now experience cycle safaris at Pench Tiger Reserve, Maharashtra ...
timesofindia.indiatimes.com
Building Estimation | Estimation of RCC Framed Building
constructioncivilengineering.com
PARTH RESIDENCY in Jaipur, India
parthresidency.in
ODA...
orissadanceacademy.org
Investment Banking Advisory Services | Mergers & Acquisitions, Debt ...
pinc.co.in
Char Dham Yatra Hemkund Sahib,Hemkund Sahib Pilgrimage Tour,Hemkund ...
chardhamtrip.in
Investment Banking Advisory Services | Mergers & Acquisitions, Debt ...
pinc.co.in
👉 KS1 Equal Groups Multiplication Matching Cards
twinkl.co.in
R. S. Groups
rsgroups.co.in
On the Capability of Oxidovanadium(IV) Derivatives to Act as All-Around ...
mdpi.com
Indian Association of Chartered Physiotherapists - IACP
iacpindia.org
7 Places To Visit In Gandhinagar Which One Cannot Miss In 2025!
traveltriangle.com
Water Parks & Amusement Parks in Delhi NCR, Summer Holiday's Hot-Spot.
insightfulharsh.in
Investment Banking Advisory Services | Mergers & Acquisitions, Debt ...
pinc.co.in
Related Searches
Right Extensor Digitorum
Extensor Digitorum Action
Extensor Digitorum Function
Extensor Digitorum Hand
Proximal Extensor Digitorum
Extensor Digitorum Tendon
Extensor Digitorum Wrist
Extensor Digitorum Communis
Tibialis Anterior M.
Flexor Digitorum
M. Extensor Digitorum Brevis
Common Extensor Digitorum
Extensor Digitorum Anatomy
Extensor Digitorum Communis Muscle
Extensor Digiti Minimi Muscle
Extensor Digitorum Muscle Arm
Peroneus Muscle Group
Central Band of the Extensor Digitorum
Extensor Digitorum Longus
Extensor Hood
Common Digital Extensor
Extensor Digitorum Deficit
Abductor
Extensor Digitorum Ring Finger
Extensor Surfaces
Extensor Digitorum Forearm Strain
Extensor Digitorum Longus Origin
Fibularis Peroneus Group
Extensor Digitorum Forearm Strain Test
Flexor Digitorum Superficialis
Extensor Digitorus Group Foot
Plantar Aponeurosis
Extensor Digitorum mm Belly
What Sport Activates the Extensor Digitorum Muscle
Extensor Digitorum Tendon Inflammation
Dorsal Forearm
Flexor Digitorum Superficialis and Profundus
Tibialis Anterior MS
Anatomy of Extensor Digitorum Communis Basic
Extensor Carpi Radialis Longus Muscle
Anterior Leg Muscle Anatomy
Abductor Hallucis Muscle
Fibular Extensor Digitorum Brevis
Extensor Digitorum Muscle Locarion
Extensor Digitorum Longus+
Käelihased Extensor Digitorum
Abductor Pollicis Longus
Musculus Abductor Hallucis
Extensor Digitorum of the Wirst
Extensor Digitorum Longus 5th Toe
Search
×
Search
Loading...
No suggestions found