Find Your Style
Women
Men
Accessories
Search for clothing, brands, styles...
×
Women
Men
Accessories
Factorising Using Common Factors Using Multiple Variables
Search
Loading...
No suggestions found
Factorise by using common factors: 18ax - 15ay - Brainly.in
brainly.in
Factorisation -Definition, Method, Formulas, and Examples
adda247.com
factorise the following expression using common factor method: a) 3ab ...
brainly.in
Factors and Multiples Math Workbook 4th to 6th Grade: Factoring, Prime ...
amazon.in
Algebra I Factoring With Greatest Common Factor
twinkl.co.in
Identifying Factors and Common Factors Venn Diagram Activity
twinkl.co.in
Common Factors, Common Multiples and Prime Numbers Posters
twinkl.co.in
Factorise these please do step by step - Brainly.in
brainly.in
Sixth Grade Least Common Multiple and Greatest Common Factor Matching
twinkl.co.in
pls solve guys help me I am not understandingfactorise by using common ...
brainly.in
What is a Multiple in Maths? Multiples of a Number? - Twinkl
twinkl.co.in
50+ Greatest Common Factor worksheets for Kindergarten on Quizizz ...
quizizz.com
factorise the following algebraic expressions using common factor 8x² ...
brainly.in
show that 2x+7 is a factor of 2x^3+5x^2-11x-14.hence factorise the ...
brainly.in
Factors And Multiples Powerpoint
twinkl.co.in
factorise the following expression nine x 2 y2 + 6 X Y Z + Z 2 - Brainly.in
brainly.in
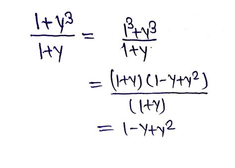
1+y^3 by 1 +ydivide - Brainly.in
brainly.in
(-3)×(-2)×(-6)×(-2) - Brainly.in
brainly.in
50+ Greatest Common Factor worksheets for Kindergarten on Quizizz ...
quizizz.com
Teach Fractions Y6: Common Factors and Multiples CPD Video
twinkl.co.in
Find the HCF by finding factor a) 18 , 24 , 30 - Brainly.in
brainly.in
Find the HCF of 180 and 204 using common factor method - Brainly.in
brainly.in
Year 5 Factors and Multiples Revision Worksheet | Twinkl
twinkl.co.in
Verify that (-x)=xx=(-13/17) LHS AND RHS - Brainly.in
brainly.in
Factors and Multiples Worksheet
twinkl.co.in
Class 8 - Factorisation | Math Practice, Questions, Tests, Worksheets ...
in.edugain.com
Find the prime factorization of the following numbers by division ...
brainly.in
Finding the Greatest Common Factor - Worksheet No.1 | Worksheets | Math ...
math-center.org
Factorise x³+6x²+3x+12 in long term method - Brainly.in
brainly.in
factorise the following expression using common factor method: a) 3ab ...
brainly.in
Year 6 Simplify Fractions Using the Highest Common Factor
twinkl.co.in
Factorize the polynomials: x3 – 6x2 + 3x + 10 - Brainly.in
brainly.in
What is a Factor? | Whole Numbers | Maths | Teaching Wiki
twinkl.co.in
Sixth Grade Greatest Common Factor Maze
twinkl.co.in
What are Factor Trees? Characteristics, Uses and Examples
twinkl.co.in
How to Find the Lowest Common Multiple | Maths Wiki - Twinkl
twinkl.co.in
👉 Rainbow Factor Pairs Activity Numbers 50-100 - Twinkl Maths
twinkl.co.in
factorise the following expression using common factor method: a) 3ab ...
brainly.in
The sum of two rational numbers is 4/9. if one of them is -7/18 then ...
brainly.in
Now simplify the following: (i) 9 + {6 + 5 x 3 – (9÷3 – 8 x 2)} (iv) 9 ...
brainly.in
sort division method of 98,588,1764 - Brainly.in
brainly.in
How to identify relevant variables from a literature review?
projectguru.in
Nonsense/No solution = Report - Brainly.in
brainly.in
Simplify:- x³-4x²+2x+1÷x-1 - Brainly.in
brainly.in
(3+√3)(2 + √2)please tell me rthe answer - Brainly.in
brainly.in
find the hcf of these numbers using common factors methods 15and 35 ...
brainly.in
16/22 Rationalise the denominator of-: 55 √3+√2 - Brainly.in
brainly.in
pls solve guys help me I am not understandingfactorise by using common ...
brainly.in
SOLVE THE FOLLOWING LINEAR EQUATION; - Brainly.in
brainly.in
can anyone please explain the method of doing factorization in ...
brainly.in
if the arm of one angle are respectively parallel to the arms of an ...
brainly.in
👉 Year 6 DiM: Division Using Factors Teaching Pack
twinkl.co.in
factorise the following expression nine x 2 y2 + 6 X Y Z + Z 2 - Brainly.in
brainly.in
Factorise x^3-3x^2-9x-5 using factor theorem - Brainly.in
brainly.in
rationalize the denominator of the following - Brainly.in
brainly.in
50+ Greatest Common Factor worksheets for Kindergarten on Quizizz ...
quizizz.com
A fraction becomes 1/3 if the denominator is increased by 1 and it will ...
brainly.in
Write 24 as a product of its prime factors use index notation - Brainly.in
brainly.in
Points to Remember- Factorisation - Mathematics (Maths) Class 8 PDF ...
edurev.in
Factorize: 2x^2-5xy+2y^2-px-py-p^2 . ( please tell the answer, it is ...
brainly.in
Rainbow Factor Pairs | Twinkl Maths Resources
twinkl.co.in
if 3^p=5^q=45^z then show that 1/z =1/q+2/p - Brainly.in
brainly.in
How to solve for x using quadratic,general factorising (please see ...
brainly.in
👉 England Football Venues: Wembley - Expanding and Factorising Worksheet
twinkl.co.in
(x+3) : (x+11) = (x-2) : (x+1) then find the value of x. - Brainly.in
brainly.in
solve the following equation by transposition method and check your ...
brainly.in
How to Find the Lowest Common Multiple | Maths Wiki - Twinkl
twinkl.co.in
(3+y)/(y+7)=35. Solve and verify by substituting the value of y ...
brainly.in
find quadratic polynomial if sum and products of zeroes of the ...
brainly.in
If [tex]\frac{x}{y} +\frac{y}{x} =-1[/tex], find value of [tex]x^{3} -y ...
brainly.in
If one the zerosx3 ax²+bx+c is 1, then the product of other two zeros ...
brainly.in
Common Denominator Fractions Worksheet (teacher made)
twinkl.co.in
prime factorisation of 242 - Brainly.in
brainly.in
Factor of any Given Positive Integer Program in C - C Programs
sitesbay.com
👉 Use Scale Factors | KS2 Maths Concept Video
twinkl.co.in
x -7 / x - 2 = 5 / 4 - Brainly.in
brainly.in
NCERT Triangles 6.3 question number 16 - Brainly.in
brainly.in
Given the expression: 6x10 − 96x2 Part A: Rewrite the expression by ...
brainly.in
Relative Response Factor (RRF) and its Calculation in HPLC Analysis
qcqa.industrialguide.co.in
Euclid’s Division Algorithm - Advance Learner Course: Mathematics ...
edurev.in
Variable Valency: Definitions, Examples, Electrovalency, Causes, Facts ...
collegesearch.in
4 /5 of 5kg of apples were used on Monday. The next day 1 /3of what was ...
brainly.in
Use suitable property to evaluate (3/7+4/5) + -4/5.Please explain too ...
brainly.in
Add the following fraction a.3 1/6 +4 1 /6 - Brainly.in
brainly.in
find x if 9-5 7/8 = x-1/8 - Brainly.in
brainly.in
find the product using suitable properties ( 499 × 599 ) × 0 with steps ...
brainly.in
5 Types of Power Factor Correction | Capacitor bank locations ...
theelectricalguy.in
Verify (-11)x{(-5)+(-7)}={(-11)x(--5)}+{(-11)x(-7)} - Brainly.in
brainly.in
Find the product of this equation and find its value for x = 5 and y ...
brainly.in
Euclid’s Division Algorithm - Advance Learner Course: Mathematics ...
edurev.in
Divide 3y³+2y²+y by y and write the division fact - Brainly.in
brainly.in
Find the compound int on Principal rs6000 Compounded annually at 5% ...
brainly.in
find the HCF of the following numbers using Common Factor method ...
brainly.in
[(-5/6)²]⁵,Simplify it using laws of exponents. - Brainly.in
brainly.in
add the following rational numbers :a) -3 /1 and 3/5 b) 31/-4 and -5/8c ...
brainly.in
Using factorization solve (y-2)2 – 9=0. and A quadratic equation whose ...
brainly.in
solve the following equation by transposition method and check your ...
brainly.in
1st ques - 2×/3 + 8 = 182nd ques - 6 × + 8 = 203rd ques- 5 t - 3 = 3 l ...
brainly.in
write 5 different expressions in standard form - Brainly.in
brainly.in
[5-5×{(-36)÷(-3×3×1}+9] - Brainly.in
brainly.in
find the multiplication inverse of {-5/8} × {-3/7} - Brainly.in
brainly.in
7/-9+1/-6 find the sum - Brainly.in
brainly.in
Write an algorithm and flow chart to swap two numbers without using ...
brainly.in
find the area of a triangle whose side are 14 18 and 28 heroines ...
brainly.in
Find lcm of 102 ,136, 170 by using division method - Brainly.in
brainly.in
For each of the following pairs of numbers, show that the product of ...
brainly.in
pls help me with this question from square and square roots - Brainly.in
brainly.in
find the produced using distributive law 740*105 - Brainly.in
brainly.in
Nonsense/No solution = Report - Brainly.in
brainly.in
tan^2 60 +cos^2 45 +sec^2 30+5cos^290 / cosec30 +sec60-cot^230 - Brainly.in
brainly.in
factoriseplease help - Brainly.in
brainly.in
If f(x) =3x cube - 7x square+5x+2,find(2) - Brainly.in
brainly.in
x -7 / x - 2 = 5 / 4 - Brainly.in
brainly.in
6x³ ÷ 2x² = ______ - Brainly.in
brainly.in
solve it fast as you can. - Brainly.in
brainly.in
these three questions for 50 points pls - Brainly.in
brainly.in
Find n so that (4/5)³×(4/5)-6 = (4/5)²n-1 - Brainly.in
brainly.in
Effects Businesses have on the environment - All you need to know
okcredit.in
find the solutions of the following questions - Brainly.in
brainly.in
.Subtract the following integers on number line: (a) 7 from 2 - Brainly.in
brainly.in
Related Searches
Greatest Common Multiple Worksheet
Factoring Out Common Factors
Factoring a Common Factor Using Area
Factorising Common Factors
Factoring with Multiple Variables
Factorising Using the ABC Factorr Method
Factor the Common Factor Out of Expression
Taking Out Common Factors
Common Factors Model
Factor Rules
Factorising Maths
Common Factors of 46 Answers
Factorization Using Common Factors
Factoring Out the Greatest Common Factor Examples
Factorising Using Highest Common Factor
Factorise by Taking Out a Common Factor
Factors Multiples Primes Worksheet
Factorise Meaning
Ultimate Challenge Common Factors SATs
Removing Common Factor Example
Factorising 2 Variables
What Is Factorising in Maths
Factorising Variables Questions
What Is Factor in Math
Factorisation Using the Common Factor Questions
Can Factorisation Have Multiple Factors
What Does Factorise Mean
Take Out Common Factors in an Expression
Method of Finding Common Factors
Factors GCSE
Finding the Highest Common Factor in 2 Algebraic Expressions
Find the Common Factors 10
Divide Out All Common Factors Examples
How to Do Factorisation Common Factors
Factorise 10 Problems Using the Formula Method
Factoring by Common Factors Step by Step
Math Factorising Factors Poster
Easy Ways to Find Common Factors of Each Terms
Taking Common Factors in Algebra
Factorise Common Number
Common Factors in Algerbraic Expressions
Factorizing Common Factor
Factoring an Algeabric Expression Using Greatest Common Factor
Expanding and Factorising Highest Common Factor
Types of Factoring in Math
What Is the Opposite of Factorising Called
Common Factor Method Question
Factorising the Common Term Questions Class's 8
Factor in Maths Using Diagrams
Common Factor Nat5 Factorisng
Search
×
Search
Loading...
No suggestions found