Find Your Style
Women
Men
Accessories
Search for clothing, brands, styles...
×
Women
Men
Accessories
Factorize Equation
Search
Loading...
No suggestions found
INR Frequently Asked Questions | RCS
remotecardiacservices.com
Factorisation -Definition, Method, Formulas, and Examples
adda247.com
Solved: Factorise: 8x^2-6x+1 [algebra]
gauthmath.com
factorise the equation - Brainly.in
brainly.in
factorise r^2 - s^2 + r - s - Brainly.in
brainly.in
factorize the following equation - Brainly.in
brainly.in
Factorise quadratic equation - Brainly.in
brainly.in
(2x+3)^2 - 16 without expanding in the firsdt steps, factorise this ...
brainly.in
factorise (r^2+14r-147) - Brainly.in
brainly.in
factorise the equation:1+8x^3 - Brainly.in
brainly.in
Factorise quadratic equation - Brainly.in
brainly.in
Factorise the equation x^3-2x^2-x+2 - Brainly.in
brainly.in
factorize the given equation - Brainly.in
brainly.in
factorise this equation - Brainly.in
brainly.in
factorise=(p-q)^3 + (q-r)^3 + (r-p)^3 - Brainly.in
brainly.in
How to Factorize a Quadratic Equation? Video Lecture - Mathematics ...
edurev.in
find The roots of the equation x2−3x−m(m+3)=0.by factorize method. plz ...
brainly.in
factorize this equation - Brainly.in
brainly.in
factorise: r⁴-(s-r)⁴ - Brainly.in
brainly.in
factorise this equation - Brainly.in
brainly.in
factorize the equation by factor theorem: - Brainly.in
brainly.in
why does the 16a factorise the equation - Brainly.in
brainly.in
pls factorize this equation - Brainly.in
brainly.in
factorize the equation in given image with full explanation. No scam or ...
brainly.in
we're asked to factorize the equation and my answer should be b/a ...
brainly.in
m²-2m-8, Factorize the given equation. - Brainly.in
brainly.in
Using factor theorem, factorize each of the following polynomials:2y3 ...
brainly.in
How to factorize a quadratic equation using the sridhara acharya ...
ask.learncbse.in
6x² + 10x - 4 , Factorize the given equation. - Brainly.in
brainly.in
x^3+13x^2+32x+20 factorize the equation - Brainly.in
brainly.in
how to factorize this equation? - Brainly.in
brainly.in
2x²-(1+2√2)x+√2. factorize the equation using factorization method ...
brainly.in
Factorize This Equation - Brainly.in
brainly.in
factorize the following equation - Brainly.in
brainly.in
FACTORIZE: The equation given above in the picture. Please solve it ...
brainly.in
how to factorize this equation? - Brainly.in
brainly.in
50+ factoring worksheets for 11th Class on Quizizz | Free & Printable
quizizz.com
Algebra I Solve Quadratic Equations by Factoring Practice
twinkl.co.in
Solve the quadratic equation by factorize method root a(a-7) =3root2 ...
brainly.in
Factor Quadratics Worksheet | Resource | Twinkl USA - Twinkl
twinkl.co.in
factorize the equation in given image with full explanation. No scam or ...
brainly.in
factorize the given equation - Brainly.in
brainly.in
6x² + 10x - 4 , Factorize the given equation. - Brainly.in
brainly.in
Let p be a prime number. The quadratic equation having is roots as ...
brainly.in
using remainder theorem, factorize the following equation no 4plzzz i ...
brainly.in
Van't hoff factor formula - Brainly.in
brainly.in
a^4+64b^4. factorize the equation .please answer correctly, i will mark ...
brainly.in
625-64x², Factorize the given equation. - Brainly.in
brainly.in
2a²-19a-21, Factorize the given equation. - Brainly.in
brainly.in
Factorize the equation 2a^7-128a - Brainly.in
brainly.in
[tex]x^{2} +x-132\\Please factorize the above equation - Brainly.in
brainly.in
10 (a) Factorise completely. 2x² 6x - (b) Maker the subject of the ...
brainly.in
4x²+5x-2√3=0.quadratic equation root. how to factorise?? - Brainly.in
brainly.in
solve quadratic equation using factorise x2 + 11x - 80 = 0 - Brainly.in
brainly.in
Factorise the following equation(x-2y)²-(2x+y)^2 - Brainly.in
brainly.in
(ab-1)²-64x², Factorize the given equation. - Brainly.in
brainly.in
x⁴-18x²+65, Factorize the given equation. - Brainly.in
brainly.in
Full Wave Rectifier all Formulas with Derivation - Mango Engineer
mangoengineer.in
8x³-125, Factorize the given equation. - Brainly.in
brainly.in
factorise fully 5x+10 - Brainly.in
brainly.in
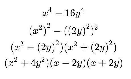
factorize x^4-16y^4 - Brainly.in
brainly.in
[tex]1 - 2x + x ^{2} - y ^{2} [/tex]Factorize the following equation ...
brainly.in
we're asked to factorize the equation and my answer should be b/a ...
brainly.in
Math factorize Click on the equation to see the full question - Brainly.in
brainly.in
Factorise: a2 + b2 – 2(ab – ac + bc). - Brainly.in
brainly.in
4m²+9n²+p²-12mn+6np-4pm, Factorize the given equation. - Brainly.in
brainly.in
plz factorise this equation without finding cubes - Brainly.in
brainly.in
Factorise: 2x^3 -3x^2 -17x +30 - Brainly.in
brainly.in
factorise 5a^2-b^2-4ab+7a-7b - Brainly.in
brainly.in
Factorise the equation- 2a³-3a²b +5ab²-ab - Brainly.in
brainly.in
factorise the equation - Brainly.in
brainly.in
how can I factorize this "x^2-11x+24" by middle term split method in ...
brainly.in
Factorise the below equation:1/4 - 3x + 9x ^ 2 - Brainly.in
brainly.in
factorise the equation [tex] {x}^{3} - {10x}^{2} - 53x - 42[/tex ...
brainly.in
8a³b³-27, Factorize the given equation. - Brainly.in
brainly.in
Factorise this quadratic equation by middle spilting method - Brainly.in
brainly.in
factorise. the following equation - Brainly.in
brainly.in
m^2(m-2)-4(m-2) please help me factorise the following equation ...
brainly.in
How do you know if 4x2−20x+25 is a perfect square trinomial and how do ...
brainly.in
Factorize This Equation - Brainly.in
brainly.in
How to Find Integrating Factor and How To Solve Differential Equations ...
edurev.in
factorize 3y² - 2xy - 6x + 9y - Brainly.in
brainly.in
Factorise the following equation given below : x5-y5 - Brainly.in
brainly.in
Factorize this equation (5a + 4b)^2 - (3a-2b)^2 - Brainly.in
brainly.in
Factorise x^3-x^2-14x+24 by using factor theorem - Brainly.in
brainly.in
x⁴-1 factorise this equation - Brainly.in
brainly.in
(4a-5b)²-16c², Factorize the given equation. - Brainly.in
brainly.in
(ab+6)²-(mn-7)², Factorize the given equation. - Brainly.in
brainly.in
a^4+64b^4. factorize the equation .please answer correctly, i will mark ...
brainly.in
Factorise this quadratic equation by middle spilting method - Brainly.in
brainly.in
Calculate the quality factor of a series - CBSE Class 12 Physics ...
ask.learncbse.in
factorize 15xy-6x-10y+4 - Brainly.in
brainly.in
Pls factorise this equation as soon as possible - Brainly.in
brainly.in
2x²-3x+1 factorise the following using the methond splitting the middle ...
brainly.in
Factorise the given equation 15x(x^2-1)-72x^2 - Brainly.in
brainly.in
factorise this equation-(x+2)2+p2+2p(x+2). - Brainly.in
brainly.in
factorise this equation......!!!!! - Brainly.in
brainly.in
a^4+64b^4. factorize the equation .please answer correctly, i will mark ...
brainly.in
POWDER FACTOR WITH SOLVED EXAMPLES | Mine Portal - India's No.1 Mining ...
mineportal.in
Factorize (4z*2 -9)*2 - Brainly.in
brainly.in
Linear Differential Equations and their Solution using Integrating ...
edurev.in
x^2-2x-8 factorise this equation - Brainly.in
brainly.in
4x²-25x_21x² factorize the quadractic equation - Brainly.in
brainly.in
factorise this equation=27-6x-x^2 - Brainly.in
brainly.in
Solving Quadratic Equation by Factoring - Steps and ... Doc Template ...
pdffiller.com
factorise the equation - Brainly.in
brainly.in
factorise this equation using mid term splitting 4x^2-17x+4 - Brainly.in
brainly.in
factorise x² - 21x + 30 and verify the equation - Brainly.in
brainly.in
what is being taking place... explain the steps.... factorise quadratic ...
brainly.in
Factorize the following equation: 6ap + 15a -4p - 10 - Brainly.in
brainly.in
Factorise (p-q) 3 + (q-r) + (r-p) 3 - Brainly.in
brainly.in
factorize 1/4 (a+b)^2 -9/16 (2a-b)^2 - Brainly.in
brainly.in
Factorize: x2 – 12x + 36 - Brainly.in
brainly.in
x²+12x+36, Factorize the given equation. - Brainly.in
brainly.in
Factorise the following: a) 4pq(r2 + 6r – 16) ÷ 2p(r-2) b) (15a2 – 75a ...
brainly.in
9x^2-9y^2-6yz-z^2 factorize the equation - Brainly.in
brainly.in
factorise x⁴-y⁴ this equation please help me - Brainly.in
brainly.in
Factorize this equation (5a + 4b)^2 - (3a-2b)^2 - Brainly.in
brainly.in
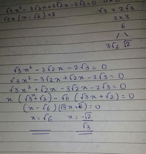
How do I factorise the quadratic equation: (Root 3)x²-2(root 2)x-2(root ...
brainly.in
R. P. Factorise: -21x2 + 16x +5 Use suitable identities to find the ...
brainly.in
Related Searches
Factor Equation Examples
Factored Form Equation
Quadratic Equation by Factorization
Factorise Quadratic Equation
Factorize a Quadratic Equation
Formula to Solve Quadratic Equation
Factors of Quadratic Equation
Quadratic Equation Steps
Factoring Cubic Equations
Completing the Square Equation
Factorization Method of Quadratic Equation
How to Solve Factored Equation
Easy Quadratic Equations
Factorising Equations
Factorisation Equation
Factoring Polynomial Equations
2 Step Algebra Equations
Factorise Algebraic Expressions
Example of Factoring
Solving Quadratic Equations Completing Square
Factorizing Equation
Factorize High Power Equation
Factoring Trinomials Examples
3 Step Algebraic Equations
Factoring Quadratic Equations Worksheet
Ways to Factor Quadratic Equation
Factoring Quadratics Examples
Intermediate Algebra Formulas Cheat Sheet
Factorized Form
Factor Theorem Examples
Factor Polynomials Example
Trinomial Examples with Answers
Zero Product Property Quadratic Equations
Example of Factorization in Math
Quadratic Equation Factorization Questions
Quadratic Equation Factorization with 4
Factorisationquadratic Equation Rule
Quadratic Equation Split
LCM by Prime Factorization Worksheets
List of Quadratic Equations
Quadratic Polynomial Equation
Factorize Examples
Factoring Equations Formula
Factor Equation
Factor Linear Expressions
General Trinomial
Factoring Quadratics Worksheet
Factor Algebra Equations
Factoring Equations Examples
Factorise Quadratic Expressions
Search
×
Search
Loading...
No suggestions found