Find Your Style
Women
Men
Accessories
Search for clothing, brands, styles...
×
Women
Men
Accessories
Fallout 2 Xander Root Map
Search
Loading...
No suggestions found
root lake map | top arcade games for cash Android IOS V- 4.43
biharbhumiplus.bihar.gov.in
fallout online reloaded map|APK V 1.95
eoffice.itiltd.in
Trailer of 'Fallout 2' unveiled
msn.com
অযোধ্যা-প্রয়াগরাজ এক্সপ্রেসওয়ে: রুট, খরচ এবং অন্যান্য বিবরণ
magicbricks.com
World of Recycling - Root Map
worldofrecycling.in
Fallout 2 : Amazon.in: Video Games
amazon.in
Joe Root Sets Records in Multan: Becomes England's All-Time Leading Run ...
freepressjournal.in
Rolex Model Bubbling With Potential: The GMT-Master II Root Beer ...
chrono24.in
Slideshow: Prime Video's Fallout: The Brotherhood of Steel
in.ign.com
The Open storylines to follow: Rory McIlroy, Scottie Scheffler, Xander ...
skysports.com
Root System: Definition, Functions, and Types of Roots
careerpower.in
Nizamabad Dt All Mandal Maps
guruvu.in
Fallout 4: Game of the Year Edition
store.playstation.com
Hyundai i20 - All About i20 Price, Features, Colours, & Specs
carfolio.in
Value of Root 3 | Root 3 Value | √3 Value | Under Root 3 Value
adda247.com
গোরখপুর লিঙ্ক এক্সপ্রেসওয়ে - রুট, মানচিত্র এবং অন্যান্য বিবরণ
magicbricks.com
Street view and updated maps in Map tool
volvobuses.com
How to download Google Maps - Blog
appsmanager.in
Welcome to JKRTC: Jammu & Kashmir Road Transport Corporation
jksrtc.co.in
National Waterways in india - UPSC PDF Download
edurev.in
simplify 3 root 2/ 3+root 16 -4 root 3 / root 6+root 2 +root 6 /root 2 ...
brainly.in
नमो भारत | दिल्ली मेरठ RRTS RapidX | वैशिष्ट्ये, मार्ग नकाशा, भाडे आणि ...
magicbricks.com
Map | CEO Kerala
ceo.kerala.gov.in
Hampi Express
mysore.ind.in
Kelambakkam, Chennai - Map, Pincode, Property Rates, Photos & Reviews 2026
nobroker.in
Operation Husky – The Battle for Sicily Which Launched The Italian ...
warhistoryonline.com
Brahmaputra River System: Origin, Map and Tributaries
adda247.com
If root 2 =1.414 and root 3 =1.732 find the value of 5 /root 2 +root 3 ...
brainly.in
Bangalore Iyengar's Bakery, Sindhanur - Restaurant reviews
restaurant-guru.in
prove that 3root + 2root is an irrational number - Brainly.in
brainly.in
Simplify: under root 5 - 2/under root 5 + 2 - under root 5 + 2/under ...
brainly.in
rationalize the denominator 2 root 5 + 3 root 2 / 2 root 5 minus 3 root ...
brainly.in
Laxmi Restaurant, Hyderabad - Restaurant menu, prices and reviews
restaurant-guru.in
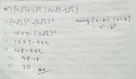
simplify :(4 root 3 +3 root 2 ) x (4 root 3 -3 root 2) - Brainly.in
brainly.in
under root 2 upon under root 2 Plus under root 3 minus under root 5 ...
brainly.in
rationalize 7 root 3 minus 5 root 2 divided by root 48 + root 18 ...
brainly.in
if 3 + root 8 by 3 minus root 8 + 3 - root 8 + 3 + root 8 = a+ b root 2 ...
brainly.in
simply simplify each of the following expression (root 5 -root 2 ...
brainly.in
Simplify 3 root 2 + 2 root 3 whole square 3 root 2 minus 2 root 3 whole ...
brainly.in
The Cricket Show: Unfair to drop James Anderson and Stuart Broad? Joe ...
skysports.com
555n Route: Schedules, Stops & Maps - Guduvanchery Bus Terminal (Updated)
moovitapp.com
ドラマ『フォールアウト』シーズン1
jp.ign.com
Whys Analysis Ultimate Root Cause Analysis Tool (Examples, 55% OFF
ahalia.ac.in
If x= 17+ 12 root 2, then the value of root x- 1/root x is (1) 2root 2 ...
brainly.in
Top 10 Cheapest Cars in India - Sep 2024
smcinsurance.com
show that (root 3 + root 5) whole square is an irrational number.. plzz ...
brainly.in
Square Root of 289 | How to Find the Value of √289 🧮
brightchamps.com
ಪುಣೆ ಬೆಂಗಳೂರು ಎಕ್ಸ್ಪ್ರೆಸ್ವೇ - ಮಾರ್ಗ ನಕ್ಷೆ, ಸಂಗತಿಗಳು, ಇತ್ತೀಚಿನ ಸುದ್ದಿ ...
magicbricks.com
(2square root -3+3 square root 2 by (4 square root-3-5 square root -2 ...
brainly.in
Simplify i) 4 root 3 root 2 2 ? ii)3root 2 4 root 12 root 32? - Brainly.in
brainly.in
About Metro Map Bangalore | Namma Metro | Real Estate | Investment
purvatranquility.in
rationalize the denominator 2 root 3 minus root 5 upon 2 root 2 + 3 ...
brainly.in
3 root 2 root 8 4 root 50 4 root 3 arrange in ascending order - Brainly.in
brainly.in
Prove 2-root 3 is irrational? - EduRev Class 10 Question
edurev.in
simplify 2+root 3 /2-root 3 - 2-root 3 /2+root 3 - Brainly.in
brainly.in
Share Auto Routes – Chennai - Tambaram to Sholinganallur - Share Auto
shareautos.in
Mayiladuthurai District Information, Mayiladuthurai District History ...
tamilagam.in
Shandar biryani, Sindhanur - Restaurant menu, prices and reviews
restaurant-guru.in
simplify root 5+root 3 divided by root 5 - root 3 +root 5-root 3 ...
brainly.in
Bihar - JungleKey.in Image #50
junglekey.in
GeForce Rewards & Giveaways | NVIDIA
nvidia.com
write whether 2 root 45 + 3 root 20 divided by 2 root 5 on ...
brainly.in
Reserve Bank of India - Homepage
paisaboltahai.rbi.org.in
Atmakur, Mahbubnagar - JungleKey.in Image
junglekey.in
कावेरी नदी तंत्र (कावेरी नदी): Cauvery River System (Kaveri River)
hindiarise.com
Srirampura Metro Station Bangalore: Map, Routes and Fares 2025
nobroker.in
Puzhakkal - JungleKey.in Image
junglekey.in
gsrtc Route: Schedules, Stops & Maps - Gandhinagar (Updated)
moovitapp.com
Associations between Patient Report of Pain and Intervertebral Foramina ...
mdpi.com
show that A( root 2, root 2), B(-root 2,-root 2),C(-root 6,root6) are ...
brainly.in
Xander Corvus
imdb.com
Fallout Season 2 Premieres December 2025, Renewed for Season 3
in.ign.com
Google Maps porta i percorsi ecologici in Europa
tuttoandroid.net
59 Route: Schedules, Stops & Maps - Panvel Railway Station (E) (Updated)
moovitapp.com
Buy World Maps World Maps Canvas World Maps Wall Art World Maps Wall ...
etsy.com
Jammu Tawi Railway Station
erail.in
विश्व की महत्वपूर्ण खाड़ियाँ (Important Gulfs of the World)
hindiarise.com
two-state solution for Israel and Palestine. UPSC
iasgyan.in
Mumbai Pune Expressway - Route Map, Cost, Distance and Real Estate Impact
magicbricks.com
Starfield Dialogue Trees Revealed in New Video
in.ign.com
Mumbai Local Train Map
erail.in
Simplify 2 under root 6 /under root 2 +under root 3 +6under root 2 ...
brainly.in
Kerala Railway Stations
tapioca.co.in
7 root 3 / 10+ root 3 - 2 root 5/ root 6+ root 5 - 3 root 2/ root 15 ...
brainly.in
--here--attachment
mysore.ind.in
simplify 2 root 6 upon root 2 + root 3 + 6 root 2 upon root 6 + root 3 ...
brainly.in
India Map Political, Map Of India, Political Map of India with Cities ...
thisismyindia.com
if a is equal to 2-root 5 ÷2+ root 5 and b is equal to 2+root 5 ÷2-root ...
brainly.in
Innovation
innovisionevents.in
Prove that root 2 -1 is irrational - Brainly.in
brainly.in
Dholera SIR | India's Greenfield Smart City Land
dholeraproject.in
Root 2,root 8, root 18,root, 32 are in AP are not how - Brainly.in
brainly.in
Home Location: ಗೂಗಲ್ ಮ್ಯಾಪ್ನಲ್ಲಿ ನಿಮ್ಮ ಮನೆಯ ಲೊಕೇಶನ್ ಅನ್ನು ಪಟ್ಟಿ ...
digit.in
How are currency notes issued in India
theweek.in
Konkan Road Map - Konkankatta.in
konkankatta.in
14) Simplify: 2 root 6/root 2+ root 3 + 6 root 2/ root 6 + root 3 -- 8 ...
brainly.in
Map Sample Task 1 || www.amanielts.in || - AMAN IELTS || Free IELTS ...
amanielts.in
Fallout: Walton Goggins announces season 2 has wrapped filming with ...
wionews.com
Book Jon Root For Celebrity Endorsement | Appearance
partymap.in
root 2 + root 3 by 3 root 2 minus 2 root 3 equals to 2 minus b root 6 ...
brainly.in
the simplest form of under root 8 + under root 28 minus under root 828 ...
brainly.in
Arupadai Veedu
tapioca.co.in
R.M.S (root mean square) value or effective value - Basic circuits analysis
eee.poriyaan.in
Xander Zhou が日本では初のイベントを東京・大阪の2都市で開催
honeyee.com
xXx: Return Of Xander Cage – Movies on Google Play
play.google.com
Integration of root tanx? - EduRev Class 12 Question
edurev.in
Saara HERBAL FRESH Arrow Root Powder,(650grams) Araru Root Powder ...
amazon.in
Find two rational numbers between root 2 and root3 - Brainly.in
brainly.in
About – Google Maps
google.co.in
Hyderabad Metro Green Line: Key Details, Route Map, Stations and Timings
magicbricks.com
Ретродропы — зачем проекты раздают миллионы долларов?\r Whitelist Media ...
teletype.in
prove that root 2 plus root5 is an irrational number Related: Chapter ...
edurev.in
Bangalore to Kerala
tapioca.co.in
Explained : भारत में प्रत्येक रुपया कहां से आता है और कहां जाता है, ऐसे ...
ndtv.in
Simplify 7 root 3 divided by root 10 + root 3 minus 2 root 5 divided by ...
brainly.in
How to go to Temple from our Sree Krishna Garden Resorts
krishnagardens.in
given that root 3 = 1.723 and root 5 = 2.236 , find the value of 6 ...
brainly.in
If x =root 3+root 5by root 3- root 5and y= root 3 - root 5 by root 3 ...
brainly.in
Bangalore - Thiruvannamalai : Route Queries - Page 24 - Team-BHP
team-bhp.com
Anatomy of Roots Important Topics, Explanation, Epiblema & Monocot root ...
aakash.ac.in
Related Searches
Map of Fallout 2
Xander Root Fallout New Vegas
Fallout 2 Map Locations
Fallout 1 2 Map
New Reno Fallout 2 Map
Fallout 2 World Map
Blank Fallout 2 Map
Fallout 2 Game Map
Fallout 2 Complete Map
Fallout 2 Map All Locations
Fallout 2 Encounter Map
Fallout 2 Den Residential Map
The Squat Fallout 2 Map
Custom Fallout Map
Fallout 2 Map Expansion Mod
Fallout 1 and 2 Map Full
Fallout Texas Map
Fallout 1 and 2 Combined Map
Fallout 2 Map Large
Xander Root Soup Fallout
Fallout 2 Temple of Trials Map
Fallout 2 Restoration Project Map
Fallout Map Assets
Fallout 4 Boston Map
Fallout 2 Map Metzger
Fallout 2 Map Size
Fallout NV Xander Root
Falot 2 Map
Fallout 2 Map Editor
Fallout Map Creator
Fallout 2 Story Map
Fall Put 2 Map
Fallout 2 San Francisco Map
Fallout 2 HD Map
World Map. List Fallout 2
Fallout 1 MapGuide
Broc Flower and Xander Root
Google Ear Fallout 2 Map
Walkthrough Fallout 2 Map Rat
Fallout 2 World Map Poster
Falloput 2 The Den Map
Fallout 1 and 2 Maps Together
Fallout 2 Map with Cut Locations
Fallout 1 Map of Hubtown
Fallout 2 Overlay Map
Amap of Fallout 2
Fallout 2 Arroyo Xander Roots
Fallout New Vegas Map Interactive
Fallout 2 Map Real Worl
Fallout 2 4K World Map
Search
×
Search
Loading...
No suggestions found