Find Your Style
Women
Men
Accessories
Search for clothing, brands, styles...
×
Women
Men
Accessories
Fdr Second Term In Office
Search
Loading...
No suggestions found
Franklin D. Roosevelt As War Time President: Hand-On and Decisive | War ...
warhistoryonline.com
Explus Office Photos | Glassdoor
glassdoor.co.in
Buy Inside the Oval Office: The White House Tapes From FDR to Clinton ...
amazon.in
Franklin D. Roosevelt As War Time President: Hand-On and Decisive | War ...
warhistoryonline.com
Trump's second term started off with an unusual polling milestone
msn.com
Explus Office Photos
glassdoor.co.in
Buy The Second Bill of Rights: FDR's Unfinished Revolution-And Why We ...
amazon.in
Buy Inside the Oval Office: The White House Tapes from FDR to Clinton ...
amazon.in
Differences Between Joe Biden’s & Donald Trump’s Oval Office
indiatimes.com
FDIC Publishes October Enforcement Actions | FDIC.gov
fdic.gov
Printable Franklin D. Roosevelt Fact File | U.S. Presidents
twinkl.co.in
FDR House - Office/Commercial For Rent | JLL - IN
property.jll.co.in
nov 29, 1931 - FDR takes office (Timeline)
time.graphics
Home [www.supervisorterralawsonremer.com]
supervisorterralawsonremer.com
International Trade Settlement in Indian Rupees (INR) – RBI FAQs
taxguru.in
Partial Thromboplastin Time Wikipedia, 58% OFF
elevate.in
Get iPhone 13pro second handed model at genuine price in your budget ...
olx.in
FDR House - Office/Commercial For Rent | JLL - IN
property.jll.co.in
Best Managed Office space in Indiranagar, Bangalore | Rent Fully ...
myhq.in
Hustlehub HSR Layout Managed Office in HSR Layout, Bangalore | Rent ...
myhq.in
Hustlehub HSR Layout - Coworking Space and Shared Office Space in HSR ...
myhq.in
11 Intriguing Unfinished Paintings By Famous Painters Which Deserve A ...
indiatimes.com
‘The only thing we have to fear is fear itself’: FDR’s words resonate ...
theweek.in
Hustlehub Managed Office in HSR Layout, Bangalore | Rent Private Office ...
myhq.in
Dr Mayank Sharma assumes office of Financial Advisor (Defence Services)
psuconnect.in
Roosevelt University : Rankings, Fees, Courses, Scholarships
shiksha.com
Capgemini Invent Office Photos
glassdoor.co.in
Ahmedabad plane crash Why Black Box is actually Orange in colour
wionews.com
Coimbatore - Capgemini India
capgemini.com
Explore more about our Bhubaneswar offices | Capgemini India
capgemini.com
Second Term Examination 2025 - SSLC Social science II - Final Touch
biovisions.in
Roosevelt School District Office Photos
glassdoor.co.in
Question 21 Find four numbers forming a geometric progression in which ...
brainly.in
Karnataka 2nd PUC Exam Time Table 2025 OUT, Check Practical and Theory ...
adda247.com
Plus One Second/Mid Terminal Question Papers and Answer Key
hsslive.in
6th Std Second Mid Term Test Question Paper 2025 - 26
kalvikadal.in
The 7th term of an ap us 4 times its 2nd term and 12th term us 2 more ...
brainly.in
Northland Premium Diwali Gift Hamper for Employee Diwali Corporate Gift ...
amazon.in
Routemybook - Buy 2nd Tamil [தமிழ்] Textbook [Based On Samacheer ...
routemybook.com
Nth Term in a Quadratic Sequence | Twinkl Teaching Wiki
twinkl.co.in
Kerala SSLC Second Term Question Paper December 2018 MATHS (MM).pdf ...
studocu.com
The eighth term of an AP is half its second term and eleventh term ...
brainly.in
Dunleavy sworn in for second term as governor, promising to work ‘with ...
adn.com
New Office
vikasglobal.net
Electrical Shop Bill Format Download | Free Invoice Template For ...
stockregister.in
Write a letter to Branch manager of SBI, Patna requesting him to ...
brainly.in
Indian-origin Cincinnati mayor wins second term, defeats VP JD Vance’s ...
english.varthabharati.in
Class 10 maths AP If the sum of first in term m of the AP is 2m^2 + 3m ...
brainly.in
the 8 term of an AP is half its second term and 11th term exceeds one ...
brainly.in
Post office interest rates table 2023 pdf - Download Post Office (POSB ...
postalstudy.in
the product of first three terms of a GP is 216 3rd term is four times ...
brainly.in
the second term of an arithmetic sequence is 24 and the fifth term is 3 ...
brainly.in
Office Product – Clickere
clickere.in
Second Generation of Computers (1956-1963)
careerpower.in
ABM Grand, 94, 2nd Main, Industrial Suburb, 2nd Stage, Yeshwanthpur ...
property.jll.co.in
Baxter track teams finish second at ISC meet – Newton Daily News
newtondailynews.com
Charlamagne tha God says Biden needs to be pulled from nomination if he ...
foxnews.com
Indian Nawayath Forum elects new office bearers for 2025-2028 term
english.varthabharati.in
The fifth term of an A. P. is thrice the second term and 12th term ...
brainly.in
Government to change selection process of Election Commission of India ...
iasgyan.in
DLF Cyber Park | | DLF Cyber Park Commercial Project Gurgaon
dlfnewprojects.co.in
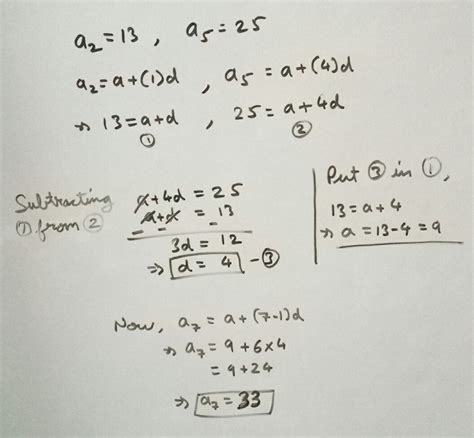
If the 2nd term of an ap is 13 and 5th term is 25what is it's 7th term ...
brainly.in
H M Rochester, Indiranagar Double Rd, Stage 2, Eshwara Layout | JLL ...
property.jll.co.in
Interest on FDR can be treated as Income from Other Sources under Sec ...
taxscan.in
Narendra Modi takes oath for office of Prime Minister for third term
english.varthabharati.in
Kalvi Kadal
kalvikadal.in
Baleària Orders Second Dual Fuel Fast Ferry - VesselFinder
vesselfinder.com
A Aa Second Week Wallpapers
tollywoodblog.in
gretchen whitmer: US Midterm Elections 2022: Michigan Governor Gretchen ...
economictimes.indiatimes.com
Karnataka 2nd PUC 2023 Time Table Released; Check Schedule
fastresult.in
Incorporation of alert to the respective Divisional Head in case the ...
postalstudy.in
Old Office Furniture Buyers in Delhi NCR, Second Hand Furniture Buyers ...
oldfurniturebuyers.in
FDR Cover 6.5"x9.5" Plastic Envelope Synthetic Virgin Fresh Recyclable ...
amazon.in
A Aa Second Week Wallpapers
tollywoodblog.in
Shree Store Ganpati Ganesha Chaturbhuja God Picture for Pooja room ...
firsthub.in
SJR I Park - Tower 1 | EPIP Zone, Opposite Satya Sai Hospital ...
property.jll.co.in
Plus Two Second/Mid Terminal Question Papers and Answer Key
hsslive.in
1.the eighth term of an AP is half its second term and the eleventh ...
brainly.in
Best maternity Hospital in Bangalore | Motherhood Hospitals
motherhoodindia.com
António Guterres’s hour | Meer
meer.com
The performance of a student in 1st term and 2nd term is given .Draw a ...
brainly.in
design milieu | Landscape Architects
designmilieu.in
What is the term of Office of the president of India? - Brainly.in
brainly.in
Solitaire | No. 139/26, Koramangala Intermediate Ring Road, Amarjyothi ...
property.jll.co.in
OFFICENET
polymed.officenet.in
reiner celebrated the death of conservatives like rush limbaugh News ...
economictimes.indiatimes.com
Vijay Sai Towers in Kukatpally, Hyderabad: Price, Brochure, Floor Plan ...
magicbricks.com
Sri Maruthi Nethralaya Vijayanagar, Bengaluru - Contact number, Doctors ...
bajajfinservhealth.in
the eight term of an ap is half its second term and the eleventh term ...
brainly.in
List of Presidents of India From 1950 to 2023
currentaffairs.adda247.com
Cyprus President Anastasiades Wins Second Term - The Wire
thewire.in
You won’t believe work gets done at these three Google offices ...
architecturaldigest.in
The 6th term of an ap is 5 times the first term and the 11th term ...
brainly.in
Second Battle of Panipat, History, Reasons, Events & Result
studyiq.com
Pictures of Barack Obama's Victory Celebrations [PHOTOS] - IBTimes India
ibtimes.co.in
Alice Roosevelt, eldest daughter of Teddy Roosevelt, could 'cut down a ...
foxnews.com
the sum of 2nd and 7th term of an ap is 30 if its 15 term is 1 less ...
brainly.in
Know the PM | Prime Minister of India
pmindia.gov.in
Kalvi Kadal
kalvikadal.in
The performance of a student in 1st Term and, 2nd Term is given - CBSE ...
ask.learncbse.in
4. The performance of a student in 1" Term and 2nd Term is given. Draw ...
brainly.in
Sirisena undecided on second term
dtnext.in
Better roads - Second term of Mamata's government in West Bengal: 10 ...
economictimes.indiatimes.com
Second Term Exam 2018 - Question papers & Answer key MM & EM ...
biovisions.in
ADA's Short-Term Price Predictions Leave Cardano Community Baffled: Details
cryptopanic.com
Understanding the Long-Term Impact of COVID Second Variant
medicoverhospitals.in
AKR Tech Park 2 | 46/1, 1st Main Rd, Garvebhavipalya, Krishna Reddy ...
property.jll.co.in
Pictures of Barack Obama's Victory Celebrations [PHOTOS] - IBTimes India
ibtimes.co.in
the sum of second and third term of an Arithmetic sequence is 15 find ...
brainly.in
Greg Barclay gets second term as ICC chairman
english.varthabharati.in
Maharashtra State Map in Marathi Language. Size : 40"x28" inch. Ideal ...
flipkart.com
The product of first and second terms of a gp is 256 and that of second ...
brainly.in
Buy Sunny-room AC Power Adapter Charger for Sony FDR-AX33, FDR-AX53 ...
desertcart.in
Buy Happy 1 Year Anniversary Work Anniversary Card Instant Download PDF ...
etsy.com
Gigaplex - Building No 1 (Mindspace Airoli West) | Plot No 1 I.T.5 ...
property.jll.co.in
Generation of Computers 1st, 2nd, 3rd, 4th, and 5th
careerpower.in
Top Formal Dress Color Combinations for Females
powersutra.co
[Best Answer] If the sum of first m terms of an AP is 2m2 + 3m, then ...
brainly.in
999Store office supplies sunboard 2nd Floor sticker signage Sign Board ...
amazon.in
BTS`s Music Label HYBE to Open Subsidary Office in India in Second Half ...
radiocity.in
Related Searches
FDR in Office
FDR Inauguration
Franklin D. Roosevelt Second Term in Office
FDR Franklin Delano Roosevelt
FDR Third Term
FDR Second New Deal
FDR 1st Term
FDR 2nd Term
How Long Was FDR in Office
FDR Third Term Election
32nd President
FDR First 100 Days
FDR Positions
FDR Sencond Term
Teddy Roosevelt 2nd Term
FDR's Cabinet
What Year Was FDR Elected
Roosevelt Years in Office
FDR Second Term Campaign
FDR Presidential Terms
FDR and His Cabinet
Kids Facts of Franklin D. Roosevelt
FDR 3rd Term Election
Franklin D. Roosevelt Death
Franklin Rooosevelt
FDR Fight
Thngs FDR Did in His Second Term
FDR Term Ofoffice Cartoon
Franklin Roosevelt World War 2
Frederick Roosevelt
FDR 2nd Inaugural
Franklin Roosevelt Achievements
FDR Second Term as President Picture
Franklin Roosevelt Contributions
FDR 4th Inaugural Address
FDR First Term Chart
FDR Electoral College
Wanted for Second Term
FDR Ovel Office
How to Disighn Second Term
Franklin Roosevelt Oval Office
FDR Oval Office in Color
FDR Oval Office Photos
Post Office FDR Form
Quarantine Speech
Inside Oval Office FDR
How Many Times Did FDR Run
Chart of Achievements and Deafeats for FDR Second Term
Oval Office FDR and Churchill
Franklin D. Roosevelt Education
Search
×
Search
Loading...
No suggestions found