Find Your Style
Women
Men
Accessories
Search for clothing, brands, styles...
×
Women
Men
Accessories
Fff Color In Html
Search
Loading...
No suggestions found
Pre-order the Vuzix Blade AR smartglasses at 72,500 INR – Wearables
wearables.in
Shop from Bloomsberry starting at INR 120
bloomsberry.lbbshop.in
Shop from PAYA starting at INR 405
paya.lbbshop.in
The 65,000 INR Garmin Tactix Delta for the S.A.S types – Wearables
wearables.in
Shop from The Philotree starting at INR 199
thephilotree.lbbshop.in
Shop from Orange Bean starting at INR 330
orangebean.lbbshop.in
Shop from Sola starting at INR 1599
sola.lbbshop.in
INR Full Form: What is full form of INR?
bankersadda.com
Shop from ACCITE starting at INR undefined
accite.lbbshop.in
Stylish Watches Under INR 10,000 | Latest Watches – Just In Time
justintime.in
Peach Mala at only INR 650
aandbjewels.lbbshop.in
Sofa Dry cleaning Products at price INR 400 in Indore | Furniture PRIDE
furniturepride.co.in
LION products at price INR 0 in Vadodara | Metal & PVD Coating ...
royalray.in
Win Vouchers Worth INR 25,000 From True Frog | LBB
lbb.in
playstation Rs.1000 INR Gift Card Price in India - Buy playstation Rs ...
flipkart.com
Buy Artklim's Vintage, Artistic Clutches At INR 799 | LBB
lbb.in
ValueQuest Enters PE Segment With INR 1,000 Cr Fund
businessoutreach.in
Buy Artklim's Vintage, Artistic Clutches At INR 799 | LBB
lbb.in
HTML Colors
txon.in
HTML Color Wheel Code Generator and Picker
htmlcolorcode.in
HTML Color Wheel Code Generator and Picker
htmlcolorcode.in
HTML - Colors
learnerslesson.com
DAYCARE MEIN BHOOT ? 👻 Care of Verver : 1 | Full Gameplay In Hindi ...
apnatube.in
HTML Color Picker - Codes, Image, Name, Hex, Rgb - 3schools
3schools.in
HTML COLOR
gocourse.in
Marquee : add background color in HTML - 3schools
3schools.in
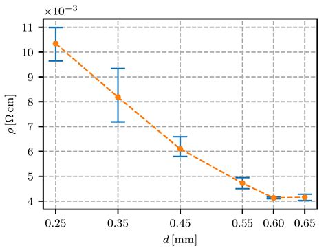
Process Parameters for FFF 3D-Printed Conductors for Applications in ...
mdpi.com
Process Parameters for FFF 3D-Printed Conductors for Applications in ...
mdpi.com
Sc - follow this and be a master - HTML Making web pages with HTML ...
studocu.com
Red Kangaroo Reproduce Sexually Or Asexually Exclusive Media Updates #794
superadmin.kalaignarcentenarylibrary.tn.gov.in
Back To Black: | Grazia India
grazia.co.in
Perry Platypus Periwinkle : Color Mix
colormix.app
How to Insert an Image or a Logo in Your Website With HTML
hostinger.in
Process Parameters for FFF 3D-Printed Conductors for Applications in ...
mdpi.com
99 Shades Of Gray Color With Names, HEX, RGB, CMYK (2023), 59% OFF
iiitl.ac.in
FDM 3D Printing Market: Everything You Need to Know – FibReel
fibreel.com
Foggy Background animation with html and css
tutorjoes.in
SToK ST-MC03 Compatible with Old & New INR- Rs.10, 20, 50,100,200, 500 ...
amazon.in
8 Countries Where Rupee Is Stronger; Indonesian Rupiah, Riel, SLR ...
goodreturns.in
HTML test
eauto.co.in
Sukoon Wallpaper Collection | Life n Colors
lifencolors.in
$FFF
foreverfomofund.onsol.fyi
Amazon.in: INR's Farm Fresh : For Rabbit
amazon.in
Free Responsive HTML Table Generator With Code - 3schools
3schools.in
Download wallpaper 1920x1080 gradient, multicolored, color, abstraction ...
wallpaperscraft.com
Currency of Dubai, Know Everything from Denominations to Exchange Rates
currentaffairs.adda247.com
html sitemap pages – Body Building India
bodybuildingindia.com
Home | Spirit of Time
spiritoftime.co.in
Home | Spirit of Time
spiritoftime.co.in
Home | Spirit of Time
spiritoftime.co.in
Home | Spirit of Time
spiritoftime.co.in
Process Parameters for FFF 3D-Printed Conductors for Applications in ...
mdpi.com
Process Parameters for FFF 3D-Printed Conductors for Applications in ...
mdpi.com
Process Parameters for FFF 3D-Printed Conductors for Applications in ...
mdpi.com
Process Parameters for FFF 3D-Printed Conductors for Applications in ...
mdpi.com
Process Parameters for FFF 3D-Printed Conductors for Applications in ...
mdpi.com
International Trade Settlement in Indian Rupee (INR)
taxguru.in
Detan Favourites – Foxtale
foxtale.in
Making a Website With HTML in 8 Easy Steps
hostinger.in
Buy EK DO DHAI Set of 4 HTML Print Shot Glasses - 60ml from Ek Do Dhai ...
homecentre.in
FFF Academy Pro Men's Knit Football Jacket. Nike IN
nike.com
Process Parameters for FFF 3D-Printed Conductors for Applications in ...
mdpi.com
Process Parameters for FFF 3D-Printed Conductors for Applications in ...
mdpi.com
World Currency to Indian Rupee Exchange Rates,Foreign Currency Value in ...
goodreturns.in
Process Parameters for FFF 3D-Printed Conductors for Applications in ...
mdpi.com
A Spotlight On The Top Best 20 HTML Fonts: Choices For Every Designer
milesweb.in
International Trade Settlement in Indian Rupee (INR)
taxguru.in
FFF (Men's Team) 2024/25 Stadium Away Women's Nike Dri-FIT Football ...
nike.com
How to use CSS z-index property to Avoid Overlapping of HTML Elements
encodedna.com
「mofusand」と「日比谷花壇」のコラボアイテムに新作が登場!1月22日(木)より渋谷サクラステージ3階にて期間限定ショップを開催:時事ドットコム
jiji.com
HTML ol Tag - HTML ol Tag Attributes - How to create Ordered Lists in ...
edurev.in
「mofusand」と「日比谷花壇」のコラボアイテムに新作が登場!1月22日(木)より渋谷サクラステージ3階にて期間限定ショップを開催:時事ドットコム
jiji.com
「mofusand」と「日比谷花壇」のコラボアイテムに新作が登場!1月22日(木)より渋谷サクラステージ3階にて期間限定ショップを開催:時事ドットコム
jiji.com
Wallpaper gradient, multicolored, color, abstraction, background hd ...
wallpaperscraft.com
Computer Glasses For Men - Buy Computer Glasses For Men online at Best ...
flipkart.com
Buy EK DO DHAI Set of 4 HTML Print Shot Glasses - 60ml from Ek Do Dhai ...
homecentre.in
Hayato character in Free Fire: All you need to know
sportskeeda.com
International Trade Settlement in Indian Rupee (INR)
taxguru.in
wingreens-logo_77e4d753-94bd-4795-8975-78fad4bbd3cd.png?height=628&pad ...
wingreensworld.com
FNF vs Corren ऑनलाइन खेलना
playminigames.in
Coagulation Analyzer - Micropoint Q3 Pro Electrometer PT-INR Trader ...
r2healthcare.in
Sale | ALO
aloyoga.com
H M Patel
hmpenglish.com
Indus_Valley_Logo_a969be12-faa5-483d-9e7f-4769716aaa2e.webp?height=628 ...
theindusvalley.in
Введение в HTML — Teletype
teletype.in
::Denby Pottery:: Buy Denby Plates, Bowls, Mugs & Dinnerware Se...
thinkitchen.in
Ублюдок FFF-ранга - 149 глава — Teletype
teletype.in
FFF FF Skin Tool APK Download for Android Free
malavida.com
USD/INR Cracks Big: Falls 2% in 4 Days! | Investing.com India
in.investing.com
FFF Essential Women's Nike Jacket. Nike IN
nike.com
LLogo.png?height=628&pad_color=fff&v=1667726774&width=1200
thehimalayanorganics.in
Swiss Franc (CHF) - Buy Switzerland Currency Online India
makemytrip.com
How to use CSS z-index property to Avoid Overlapping of HTML Elements
encodedna.com
Token Display, Race / Rally Stopwatch, Production Counters, Electronics ...
cosycom.in
Webサービスとは?Webアプリ・クラウドサービスとの違いや作り方も解説 | プログラミングスクールならテックキャンプ
tech-camp.in
गूंगा अंतरिक्ष शूटर ऑनलाइन खेलना
playminigames.in
Colour Names on Splats - Colour Posters for Classroom
twinkl.co.in
MSN Money
msn.com
3d style indian currency rupee sign on white background design | Free ...
freepik.com
FFF FF Skin Tool APK Download for Android Free
malavida.com
Home | Spirit of Time
spiritoftime.co.in
21st December Daily Current Affairs 2022: Today GK Updates for Bank Exam
bankersadda.com
Zen Color - Color By Number – Apps on Google Play
play.google.com
Can’t get enough of Aishwarya Rai Bachchan’s purple pout? | Grazia India
grazia.co.in
Financial Statements 1 - Particulars Debit Credit Equity Share Capital ...
studocu.com
Did You Know About India's Rs 10,000 Rupee Note
indiatimes.com
FFF SHIPPING AND TRANSPORT LLC
fffshipping.com
HTML Lang Attribute: Importance & Best Practices
sitechecker.pro
Nueve fantásticos estilos para Tooltips | Blog Reacción Estudio
blog.reaccionestudio.com
Ублюдок FFF-ранга - 149 глава — Teletype
teletype.in
'All About Presentations' by Jazz Factory: How to choose COLOURS for ...
blog.jazzfactory.in
FFF SHIPPING AND TRANSPORT LLC
fffshipping.com
List Of Countries That Have Opened Special Rupee Vostro Accounts
indiatimes.com
Web Designing Course Syllabus – Excellence Technology
excellencetechnology.in
Ублюдок FFF-ранга - 149 глава — Teletype
teletype.in
GST- Export to Nepal & Bhutan – Critical Questions Answered
taxguru.in
Ублюдок FFF-ранга - 149 глава — Teletype
teletype.in
Section 194Q – Tax deduction on the purchase of goods
taxguru.in
Impact Of Demonetisation Of Rs 500 & 1000 Notes On Travel
traveltriangle.com
New Rs 100 currency note: All you need to know
newsheads.in
Related Searches
Fff Color
Fff Hex Color
Fff Color Code
Background Color Fff
What Color Is Fff
Fff Colour
Ffff Color Code
Color Code Fffff
HTML Tags Color Codes
HTML Font Color Tag
Hex Color Picker
Free HTML Color Code Chart
3 Color Gradient
Color Code Chart with Names
Basic HTML Color Codes
FF Color Codes
Bgcolor In.html
How to Change Text Color HTML
HTML Foreground Color
007Bff Color in HTML
Css Color Fff
Dark Red Color Code
Golden Yellow Color Code
Neon Yellow Color Code
Rainbow Color Code
What Is This Color in HTML
HTML RGB Color Chart
CSS Color Palette
Ffcccb Color in HTML
Gold Fff Color Code
Ff0f Color
White Color HTML Fff
Color of Afff
Colores En HTML
How Me the Colur 666 in HTML
HTML Exmple Color
Off White Color Code
Ggplot2 Color Palette
Gray Color FF
Fff Layout Color
HTML Color Classic Codes
Recognzied Colors in HTML
F0f0f0
HSL Color Chart
jQuery Color Picker
W3Schools HTML Color Picker
Fff CSS Style Color
HTML Color Code of SSA
Chtml Colro
Green Color Hex Code
Search
×
Search
Loading...
No suggestions found