Find Your Style
Women
Men
Accessories
Search for clothing, brands, styles...
×
Women
Men
Accessories
Foss Defined
Search
Loading...
No suggestions found
INR (Indian Rupee) - Definition, What is INR (Indian Rupee), Advantages ...
cleartax.in
INR (Indian Rupee) - Definition, What is INR (Indian Rupee), Advantages ...
cleartax.in
INR (Indian Rupee) - Definition, What is INR (Indian Rupee), Advantages ...
cleartax.in
INR (Indian Rupee) - Definition, What is INR (Indian Rupee), Advantages ...
cleartax.in
INR Full Form: What is full form of INR?
bankersadda.com
INR (Indian Rupee) - Definition, What is INR (Indian Rupee), Advantages ...
cleartax.in
INR (Indian Rupee) - Definition, What is INR (Indian Rupee), Advantages ...
cleartax.in
INR (Indian Rupee) - Definition, What is INR (Indian Rupee), Advantages ...
cleartax.in
ICFOSS - News Details
icfoss.in
FOSS Lab Manual - FREE AND OPEN SOURCE SOFTWARE (FOSS) LAB LAB MANUAL B ...
studocu.com
NIR Spectrometers - MICRO NIR VIAVI Wholesale Trader from Noida
atsin.co.in
Mini FOSS Universe | Documentation
docs.openalgo.in
Workshop on “Introduction to FOSS” | FISAT | Federal Institute of ...
fisat.ac.in
FOSS Cell STM
stthomaskannur.ac.in
FOSS Cell STM
stthomaskannur.ac.in
IT8711-FOSS and Cloud Computing Lab Manual valliammai - Page 1 LAB ...
studocu.com
amFOSS | INDIA'S FASTEST GROWING FOSS & COMPUTER SCIENCE CLUB
amfoss.in
FOSS Cell STM
stthomaskannur.ac.in
FOSS Cell STM
stthomaskannur.ac.in
Ribosomal RNA: Types, Transcription and Functions
allen.in
Exercise
civil.poriyaan.in
FOSS Cell STM
stthomaskannur.ac.in
FOSS(Free And Open Source Software) For Android — Teletype
teletype.in
FOSSUnited X OSDG Meetup for promoting FOSS | Life @ IIITH
clubs.iiit.ac.in
FOSS Cell STM
stthomaskannur.ac.in
FOSS Cell STM
stthomaskannur.ac.in
FOSS FEST '23 ORGANIZED BY FOSS CELL AND CASAC - SREE AYYAPPA COLLEGE ...
sreeayyappacollege.ac.in
What is difference betweenlocal and global variable in C?
vedveethi.co.in
Composite Functions: Properties, Definition & Examples | AESL
aakash.ac.in
ICFOSS - Image Gallery
icfoss.in
Rule in Foss Vs. Harbottle and Personal Rights of Members
taxguru.in
Digit at Foss.in – India’s largest free and open source conference
digit.in
Function - Identity R Function The function f R R defined R f(x) Are y ...
studocu.com
A Vastu-compliant duplex in Bengaluru defined by seamless curved lines ...
architecturaldigest.in
Show that the function f : R* → R* defined by f(x) = 1/x is one-one and ...
ask.learncbse.in
Foss v Harbottle case: Rule of Majority
taxguru.in
User-Defined Functions in C | Scaler Topics
saludolearning.in
PESCE FOSS
pescefoss.in
Foss time in India
downtoearth.org.in
Check whether the relation R in R defined as R = {(a, b): a ≤ b3} is ...
ask.learncbse.in
2025 Foss Lake 5k Run /walk, Foss State Park, Butler, 12 July 2025 ...
allevents.in
[Video] The LPA of a state for a year is defined as the average ...
cracku.in
Foss time in India
downtoearth.org.in
Check whether the relation R defined in the set {1, 2, 3, 4, 5, 6} as R ...
ask.learncbse.in
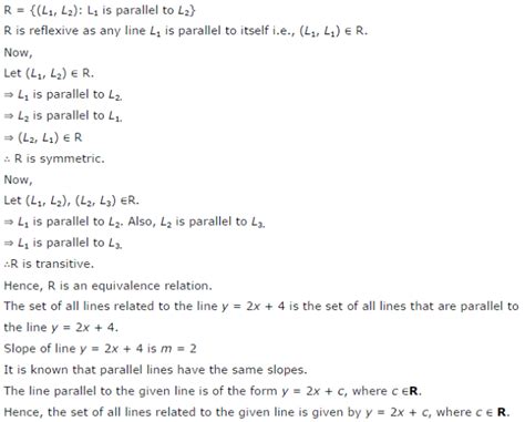
Let L be the set of all lines in XY plane and R be the relation in L ...
ask.learncbse.in
FOSS Cell STM
stthomaskannur.ac.in
FOSS Cell STM
stthomaskannur.ac.in
PESCE FOSS
pescefoss.in
Foss time in India
downtoearth.org.in
Genes- Definition, Structure, Expression, Facts, Characteristics, Functions
careers360.com
Intro to Marine Diesels with Meredith Anderson, Foss Waterway Seaport ...
allevents.in
Martin 'MrSavage' Foss Andersen: Gaming – Profile page
redbull.com
Foss Swim School Office Photos
glassdoor.co.in
FOSS Cell STM
stthomaskannur.ac.in
Show that the function f, defined r\\{0} by f(x)=sin(1/x), whenever x ...
scoop.eduncle.com
Foss time in India
downtoearth.org.in
🧨 Foss Lake Christmas in July 2025 🎄, Foss Lake, 11 July to 12 July ...
allevents.in
Adieu, FOSS United Foundation | Riya P Mathew
rmathew.in
Show that the function f : R → {x ∈ R : -1
ask.learncbse.in
Foss Analog Quartz Movement Collection With High Quality Strap Best ...
srshopy.in
PESCE FOSS
pescefoss.in
7 Iconic Characters That Defined Priyadarshan`s Films
radiocity.in
amFOSS | INDIA'S FASTEST GROWING FOSS & COMPUTER SCIENCE CLUB
amfoss.in
En uke med Sunshine- Utekino i Nedre Foss Park, Nedre Foss park, Oslo ...
allevents.in
PCT/HCT Foss Woods Birding Class with Peter Trull, Snail Rd ...
allevents.in
If sets A and B are defined as A= (x,y):y=ex,x∈ R and B= (x,y):y=x,x∈ R ...
tardigrade.in
The Future of Software-Defined Vehicles in India’s EV Ecosystem ...
autocarpro.in
FOSS_PESCE - Events
pescefoss.in
amFOSS | INDIA'S FASTEST GROWING FOSS & COMPUTER SCIENCE CLUB
amfoss.in
Difference Between DNA and RNA in Biology: Definition, Types and ...
aakash.ac.in
Mitral Regurgitation Treatment In Hyderabad | Dr.Sudheer
drsudheer.in
VHDL Data Types and Operators
eee.poriyaan.in
Luxury defined in leather – BIRKENSTOCK
birkenstock.in
amFOSS | INDIA'S FASTEST GROWING FOSS & COMPUTER SCIENCE CLUB
amfoss.in
VHDL Data Types and Operators
eee.poriyaan.in
Foss Swim School Office Photos
glassdoor.co.in
#SoftwareFreedom: India’s Lukewarm Relationship with FOSS Needs to ...
thewire.in
Presentación: Todo sobre la letra R
twinkl.co.in
Software Defined Vehicle demands R&D overhauling | nasscom | The ...
community.nasscom.in
A Professional Learning Community Approach for Teacher Development and ...
teacher-network.in
MSME Full Form, What is MSME? Definition & MSME Loan Scheme
bankersadda.com
Impact of the New ‘Wage’ Definition in the Labour Codes: Changes ...
elplaw.in
NTR is Uninterested in Being Defined by Legacy | Esquire India Cover Story
esquireindia.co.in
Harnessing the Power of Virtual Reality in Career Education: Preparing ...
aptcareercounsellors.allegiance-educare.in
Protein: Definition, Structure, Types, and Functions
careerpower.in
ISO Drawings for Aspheric Lenses | Edmund Optics
edmundoptics.in
Show that the relation R in R defined as R = {(a, b): a ≤ b}, is ...
ask.learncbse.in
Sikkim State Lottery Result: July 16, 2025, 6 PM Live - Watch Streaming ...
freepressjournal.in
Immovable Property - Concept and Definition
legalbites.in
Show that the function f : R → {x ∈ R : -1
ask.learncbse.in
Taking software designed vehicles to the next level | Autocar Professional
autocarpro.in
Types of Folds, Parts, Features, Diagram, Fold Mountains
studyiq.com
Defined contribution plans & mastertrust
mercer.com
Noun in Hindi: Meaning, Definition, Types and Examples - HindiMadhyam ...
hindimadhyam.in
Definition of a Company in Law - LegalWiz.in
legalwiz.in
VHDL Data Types and Operators
eee.poriyaan.in
The Fundamentals of Software-Defined Radio | DigiKey
digikey.in
foss-club-bishop-jerome-institute - BJI - Bishop Jerome Institute ...
bji.ac.in
NEWCASTLE CASTLE (Updated 2026) All You Need to Know BEFORE You Go ...
tripadvisor.in
show that the mapping f:R+-->R defined by f(x)=log x, x€R+ is one one ...
brainly.in
Overview
bsphcl.co.in
What Data Says About How Middle Class Is Defined In India | BOOM
boomlive.in
Foss time in India
downtoearth.org.in
Manual
tutorial.gst.gov.in
Speaker Series: Victorian Taste of Conejo with Richard Foss, 51 S Ventu ...
allevents.in
Dan Foss — Teletype
teletype.in
What is Risk Management? Definition of Risk Management, Risk Management ...
economictimes.indiatimes.com
Basic Marine Electrical with Meredith Anderson, Foss Waterway Seaport ...
allevents.in
Common Noun in Hindi – Definition, Rules, Types and Examples
grammarstation.in
From medicine supply chains to insurance: The forces that defined ...
theweek.in
International Trade Settlement in Indian Rupee (INR)
taxguru.in
Software-Defined Vehicles & Careers in Automotive Tech | iACE
iace.ac.in
Luxury defined in leather – BIRKENSTOCK
birkenstock.in
The Well Tree - Heartwood, Foss Waterway Seaport, Tacoma, 15 May 2025 ...
allevents.in
FOSS Community at NIT Calicut | Kartik Singhal
people.cse.nitc.ac.in
Company | Danfoss
danfoss.com
Kunwar Singh College, Laheriasarai, Darbhanga
kscollegedarbhanga.in
Office Interior Design Ideas, Office Decorating, Workspace Decor ...
architecturaldigest.in
10 photos which defined Indian sports in 2022
thebridge.in
Indian Financial System, 5e by H R Machiraju
vikaspublishing.com
Related Searches
Foss Meaning
Le Foss
Foss Phone
Cierra Foss
Ariel Foss
Foss and Gual Calutaion Terms Defined
FOS in for Get
Foss Science
What Does Foss Stand For
What Does Recao Do for FOS
Venke Foss
Foss Patents
Foss 2500
Merle Foss
Foss Curriculum
Bailee Foss
Foss Software
Search
×
Search
Loading...
No suggestions found