Find Your Style
Women
Men
Accessories
Search for clothing, brands, styles...
×
Women
Men
Accessories
Gamecube Disc Sensor
Search
Loading...
No suggestions found
New TVS Victor Disc Variant Price is INR 51,188: Launched | India.com
india.com
DO Controller With Sensor Products at price INR 72000 in Coimbatore ...
gabyinstruments.in
Drop2Kart Bill Counter - Counts All INR Currency, UV/MG Japanese ...
flipkart.com
Drop2Kart Cash Counter - Updated for All INR Currency, UV/MG/MT CMOS ...
flipkart.com
Photoelectric Speed Sensor Encoder Coded Disc Code Wheel
sensorembedded.com
CM30-25NPP-EW1 SICK | SICK Capacitive Threaded Barrel Proximity Sensor ...
in.rsdelivers.com
Burst Alert Sensors | Burst Indicator System | Rupture Disc Sensor
bsbsystems.in
Precise sensors for thickness measurement | Micro-Epsilon
micro-epsilon.in
Photoelectric Speed Sensor Encoder Coded Disc Code Wheel – QuartzComponents
quartzcomponents.com
Photoelectric Speed Sensor Encoder Coded Disc Code Wheel – QuartzComponents
quartzcomponents.com
Nintendo Gamecube Double Disc Replacement Case (5-Piece) : Amazon.in ...
amazon.in
Envistia 2-pack 27mm Piezoelectric Disk Element Piezo Sound India | Ubuy
ubuy.co.in
Piezoelectric Transducer Sensor: Piezo Disk Buzzer
sensorembedded.com
Application of MXenes Material for Sensors | Encyclopedia MDPI
encyclopedia.pub
Breakthrough in Piezoelectric Polymers: Advancements & Applications
iasgyan.in
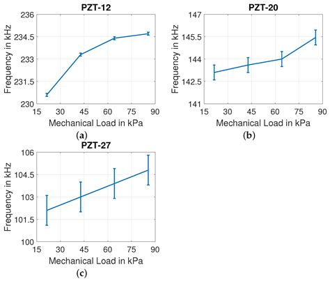
Dependence of Piezoelectric Discs Electrical Impedance on Mechanical ...
mdpi.com
Particle Emissions and Disc Temperature Profiles from a Commercial ...
mdpi.com
Dependence of Piezoelectric Discs Electrical Impedance on Mechanical ...
mdpi.com
Photoelectric Speed Sensor Encoder Coded Disc Code Wheel
vishaworld.com
Piezoelectric Transducer Sensor: Piezo Disk Buzzer
sensorembedded.com
Wheel
gorsuelectronic.com
BO motor + Wheel + Encoder Disc + Encoder sensor Combo BO motor + Wheel ...
robokits.co.in
Ruiwaer 12PCS 27mm Piezo Disc Element Sensor with Wire, Piezoelectric ...
amazon.in
Photoelectric Speed Sensor Encoder Coded Disc Code – REES52
rees52.com
Buy 5PCS IR Infrared Slotted Optical Optocoupler Speed Measuring Sensor ...
desertcart.in
ELPH Piezoelectric Sensor/Buzzer/Transducer/Disc 27Mm Piezo - Set Of ...
flipkart.com
ELPH Piezoelectric Sensor/Buzzer/Transducer/Disc 27Mm Piezo - Set Of 20 ...
flipkart.com
BS&B Safety Systems India - Industrial Rupture Disc Manufacturers with ...
bsbsystems.in
4 Pieces 27mm Gold Color Piezo Discs Piezoelectric Element ...
desertcart.in
Ihc Photoelectric Speed Sensor Encoder Coded Disc Code Wheel Electronic ...
flipkart.com
Precise capacitive sensors | Micro-Epsilon
micro-epsilon.in
3 Pieces 27mm Gold Color Piezo Discs Piezoelectric Element ...
desertcart.in
REES52 Photoelectric Speed Sensor Encoder Coded Disc code wheel for ...
amazon.in
Elevator Load Monitoring Sensors - Shear Pin Load Cell (SHP) Trader ...
sensomaticloadcell.in
Ultrasonic Piezo Disc Sensors - EPCOS / TDK | Mouser
mouser.in
Piezo Disc 27mm Piezo Discs Element Sensor Acoustic Pickup Transducer ...
amazon.in
Piezoelectric Disc Piezo 35mm Acoustic Sound Sound Disc Sounder Sensor ...
desertcart.in
Medal of Honor Frontline - Gamecube : Amazon.in: Video Games
amazon.in
7 pieces 27mm gold color Piezo Discs – piezoelectric element ...
amazon.in
Buy Tempo Disc Wireless Thermometer, Hygrometer, Barometric Pressure ...
desertcart.in
Buy HUMSER Bicycle Pedal Assist 8 Magnet Disc Sensor Electronic ...
amazon.in
Engineered RNA-sensor on filter-paper discs that can distinguish ...
staging.researchmatters.in
Rain Sensor Hygroscopic Discs Replacement - Repair 1 Sensor Compatible ...
amazon.in
gobagee Piezoelectric Sensor/Buzzer/Transducer/Disc Silver 27mm Piezo ...
flipkart.com
Experimental-Numerical Design and Evaluation of a Vibration Bioreactor ...
mdpi.com
Sorting Disc – Wood-O-Kidz
woodokidz.com
Dependence of Piezoelectric Discs Electrical Impedance on Mechanical ...
mdpi.com
Bolsen 20 mm Ultrasonic Mist Maker Fogger Ceramic Discs with Wire and ...
amazon.in
Buy Armband for Freestyle Libre 1 & 2 14 Day : 4-18" Inch Adjustable ...
desertcart.in
Lead-Free Piezoelectric Acceleration Sensor Built Using a (K,Na)NbO3 ...
mdpi.com
Dependence of Piezoelectric Discs Electrical Impedance on Mechanical ...
mdpi.com
Buy Leak Sensor and Shut-Off Valve Kit for Rheem Hybrid Water Heaters ...
ubuy.co.in
Dependence of Piezoelectric Discs Electrical Impedance on Mechanical ...
mdpi.com
Levemolo 12pcs Piezo Discs Piezoelectric Speaker for Guitar Pickup Diy ...
amazon.in
Auslese Robotics™ 27mm gold colour Piezo Discs – piezoelectric Plate ...
amazon.in
Buy Milisten 24pcs for Accessory Metal Mm Buzzer Guitar Fittings ...
desertcart.in
Dependence of Piezoelectric Discs Electrical Impedance on Mechanical ...
mdpi.com
Buy CORHAD50pcs 27mm Buzzer Acoustic Pickups Piezo Disc Piezoelectric ...
desertcart.in
Dependence of Piezoelectric Discs Electrical Impedance on Mechanical ...
mdpi.com
Rain Sensor Hygroscopic Discs Replacement - Repair 1 Sensor Compatible ...
amazon.in
SRROBOTICS Piezoelectric Sensor Buzzer Transducer Disc 35mm Piezo ...
amazon.in
Dependence of Piezoelectric Discs Electrical Impedance on Mechanical ...
mdpi.com
Dependence of Piezoelectric Discs Electrical Impedance on Mechanical ...
mdpi.com
Spring Loaded Thermocouple Sensors with Molded M12 Connectors
in.omega.com
3 pieces 27mm gold color Piezo Discs – piezoelectric element ...
amazon.in
HiSport Disc Brake Pad Wear Sensors Front and Rear SEM500062 SOE000025 ...
amazon.in
Easy Electronics Piezoelectric Sensor/Buzzer/Transducer/Disc 27Mm Piezo ...
flipkart.com
2 pieces 27mm gold color Piezo Discs – piezoelectric transducer ...
desertcart.in
Buy EZGO Golf Cart 73327G01, Speed Sensor, PDS, 2000-2009 Online at ...
ubuy.co.in
Dependence of Piezoelectric Discs Electrical Impedance on Mechanical ...
mdpi.com
Dependence of Piezoelectric Discs Electrical Impedance on Mechanical ...
mdpi.com
Dependence of Piezoelectric Discs Electrical Impedance on Mechanical ...
mdpi.com
MagiDeal Analog Piezoelectric Ceramic Vibration Sensors for Arduino,Can ...
amazon.in
Rsoise Rain Sensor Discs, 16 Pieces, Replacement Hygroscopic Discs for ...
amazon.in
E12821 - Symbol disc for touch sensors - ifm
ifm.com
ECOMISTIQ® 20mm DC12-24V Ultrasonic Mist Maker Ceramic Atomize Discs ...
amazon.in
Dependence of Piezoelectric Discs Electrical Impedance on Mechanical ...
mdpi.com
Dependence of Piezoelectric Discs Electrical Impedance on Mechanical ...
mdpi.com
Special Sensors - Special Disc Sensor Manufacturer from Chennai
sensomaticloadcell.in
Traction Motor Speed Sensor - Advanced Rail Controls
arc.net.in
Dependence of Piezoelectric Discs Electrical Impedance on Mechanical ...
mdpi.com
DHT22 Temperature Sensor Online | Buy DHT22 Humidity and Temperature ...
robocraze.com
Experimental-Numerical Design and Evaluation of a Vibration Bioreactor ...
mdpi.com
Dependence of Piezoelectric Discs Electrical Impedance on Mechanical ...
mdpi.com
Dependence of Piezoelectric Discs Electrical Impedance on Mechanical ...
mdpi.com
CM | Alfa Laval
alfalaval.in
The Use of Moving Surface Temperature Probes in Formula SAE® Racing ...
coleparmer.in
E12821 - Symbol disc for touch sensors - ifm
ifm.com
CLUB BOLLYWOOD 2 Pcs Front and Rear Disc Brake Pad Wear Sensor ...
amazon.in
Buy Nintendo Switch Lite Pokemon Dialga & Palkia Limited Edition with ...
ubuy.co.in
F FABOBJECTS® 12pcs Guitar Pickup Buzzer Acoustic Pickup Transducer ...
amazon.in
Luigi's Mansion - Gamecube : Amazon.in: Video Games
amazon.in
CLUB BOLLYWOOD 1PCS D20mm Ultrasonic Mist Maker Fogger Water Fountain ...
amazon.in
2 pieces 27mm gold color Piezo Discs – piezoelectric transducer ...
desertcart.in
Dependence of Piezoelectric Discs Electrical Impedance on Mechanical ...
mdpi.com
Buy SmartBuy 10 Pack Bd-r Dl 50gb 6x Blu-ray Double Layer Recordable ...
ubuy.co.in
Buy 2022 Newest Xbox -Series -X- Gaming Console System- 1TB SSD Black X ...
ubuy.co.in
DS18B20 DS18B20Z SOP8 temperature sensor – Inkocean Technologies
inkocean.in
Special Sensors - Special Load Cell Trader - Wholesaler / Distributor ...
sensomaticloadcell.in
Buy Artsic Pro PS4 Wireless Controller for Playstation 4, Dual ...
ubuy.co.in
System | Alfa Laval
alfalaval.in
Rosemount | Emerson IN
emerson.com
Drop2Kart LCD Counter with UV/MG Note Sensor, FakeNote Alarm, INR/USD ...
flipkart.com
Piezoelectric Sensor/Transducer/Buzzer - 35mm Diameter – QuartzComponents
quartzcomponents.com
Buy 2 pieces 27mm gold color Piezo Discs – piezoelectric transducer ...
desertcart.in
Dependence of Piezoelectric Discs Electrical Impedance on Mechanical ...
mdpi.com
Auslese Robotics™ 27mm gold colour Piezo Discs – piezoelectric Plate ...
amazon.in
4 pieces 27mm gold color Piezo Discs – piezoelectric element ...
amazon.in
Buy 2022 Autel TPMS Relearn Tool TS408, Upgraded of TS401 Tire Pressure ...
ubuy.co.in
Ford PowerShift Dual-Clutch Transmission (DCT) - A Technical Overview ...
team-bhp.com
6/10/18 Pcs Piezo Discs with Wires, 27mm Piezo Disc Sensor with Wire ...
amazon.in
Samsung India Launches Galaxy A03s with Big 6.5’’ Infinity-V Display ...
news.samsung.com
Buy Logitech G305 LIGHTSPEED Wireless Gaming Mouse, Hero 12K Sensor ...
ubuy.co.in
Buy Thames & Kosmos Huey: The Line-Tracking, Color-Sensing Robot ...
amazon.in
Solar Garden Lamp Drive-On Led Ground Lights Disc Sensor - Poland, New ...
merkandi.in
Elevator Load Monitoring Sensors - Shear Pin Load Cell (SHP ...
sensomaticloadcell.in
Probots Door Window Lock Magnet Sensors - Sensors - Modules Buy Online ...
probots.co.in
Elevator Load Monitoring Sensors - Elevator Sensor Load Cell ...
sensomaticloadcell.in
Elevator Load Monitoring Sensors - Shear Pin Load Cell (SHP) Trader ...
sensomaticloadcell.in
2 pieces 27mm gold color Piezo Discs – piezoelectric transducer ...
amazon.in
Related Searches
GameCube Game Disc
Panasonic GameCube
Nintendo GameCube Disc
GameCube Demo Disc
GameCube DVD Player
GameCube Game Case
Panasonic Q GameCube
Burnout GameCube
GameCube Games Top 100
Wii Cube Game
Wii CD
GameCube Portable Screen
GameCube Mini
GameCube Disc Wallet
GameCube Console
GameCube Back
Super Mario 64 GameCube
GameCube Colors
Wii U Game Disc
GameCube Disc Template
Sonic Adventure 2 GameCube
Pikmin GameCube
All Nintendo GameCube Games
GameCube Dimensions
Gamecube ROMs
GameCube System
Nintendo GameCube Controller
Metroid Prime GameCube
Spongebob GameCube Disc
Happy Feet GameCube
PSP Disc
Pacman GameCube Disc
GameCube Background
Nintendo GameCube Nr Disc
Modded GameCube
GameCube Game Holder
Gamecube GameBoy Player
GameCube Dev Kit
GameCube Tempalte
Nintendo GameCube Super Mario Sunshine
PC Game Disk
GameCube Games Collection
Driven GameCube
GameCube Bubble Gum
GameCube Icon
Fun GameCube Games
Mario Kart Arcade GP GameCube Disc
Zelda Promo Disc GameCube
Action Replay GameCube Disc
Custom Robo GameCube
Search
×
Search
Loading...
No suggestions found