Find Your Style
Women
Men
Accessories
Search for clothing, brands, styles...
×
Women
Men
Accessories
Gcf List
Search
Loading...
No suggestions found
UPW Squad WPL 2025: Complete UP Warriorz Player List with Prices in INR ...
sportskeeda.com
Full List of 81 Players Registered for INR 2 Crore Base Price in IPL ...
cricxtasy.com
Full List of 27 Players Registered at INR 1.50 Crore Base Price in IPL ...
cricxtasy.com
INR North CLUB House Bought OUT Furniture LIST Vizag - NORTH CLUB HOUSE ...
studocu.com
Final IPL 2025 Auction Players List Announced: 81 Players in INR 2 ...
cricxtasy.com
Watch Megh Enters Somoresh's Room with INR 10,000 | Icche Putul Icche ...
zee5.com
MG Windsor EV variant-wise price list revealed, starting at INR 13.50 ...
droom.in
List of Ready-to-Wear Sarees Under 1000 INR
couponscurry.com
IPL 2024 Auction: Full List of Players Available At INR 1.5 Crore Base ...
cricxtasy.com
IPL 2024 auction: List of players with INR 1 crore base price
dnaindia.com
DC Auction 2024 Highlights DUBAI: Kushagra Fetches Dazzling INR 7.2 ...
timesnownews.com
Watch Vishal Gives Sumana a Cheque of INR 5 Crore | Trinayani Trinayani ...
zee5.com
INR USD Rate: List Of Stocks And Sectors Reaping Gains While Dollar ...
malayalam.goodreturns.in
INR North CLUB House Bought OUT Furniture LIST Vizag - NORTH CLUB HOUSE ...
studocu.com
50+ Greatest Common Factor worksheets for 7th Class on Quizizz | Free ...
quizizz.com
Implemet source code for what is List in R | S-Logix
slogix.in
Hcf 48,56,72or 198,360 or 120,68,136 or 1024,576 or 405,783,513 or 16 ...
brainly.in
Hcf of 2310 and 165 - Brainly.in
brainly.in
Finding the Greatest Common Factor - Worksheet No.2 | Worksheets | Math ...
math-center.org
The GCF of the numbers in the expression (32 + 16) is ?? . The numbers ...
brainly.in
CSK Retention List IPL 2026: Full list of players retained by Chennai ...
sportskeeda.com
What is the gcf of 66, 88, and 44 - Brainly.in
brainly.in
Sixth Grade GCF and LCM Math Assessment (teacher made)
twinkl.co.in
CSK Squad IPL 2025: Complete Chennai Super Kings Player List with ...
sportskeeda.com
Find the GCF of 12 16 24 using continuous division - Brainly.in
brainly.in
Fifth Grade Worksheets: Factors and Multiples | Math Center
math-center.org
Relationship between GCF and LCM | Worksheets | Math Center
math-center.org
Rupee To Replace Dollar? Indian Money Nearer To Become International ...
zeenews.india.com
Reserve Bank of India - Publications
rbi.org.in
50+ Greatest Common Factor worksheets for 7th Class on Quizizz | Free ...
quizizz.com
50+ Greatest Common Factor worksheets for 7th Class on Quizizz | Free ...
quizizz.com
Direct Oral Anticoagulants Are Associated with Superior Survival ...
mdpi.com
Implemet source code for what is List in R | S-Logix
slogix.in
MI Squad IPL 2025: Complete Mumbai Indians Player List with Prices in ...
sportskeeda.com
Google Sheet Smart TO DO List with Dashboard – Smart Office Template (INR)
smartofficetemplates.myshopify.com
RCB Squad IPL 2025: Complete Royal Challengers Bengaluru Player List ...
sportskeeda.com
GIDC Digital Directory 2025 સરકારી નથી: Por GIDC Company List ( August ...
gidc.co.in
Price List - Ok gy yu hujb yu huh - S. Product Denomination (gm) Price ...
studocu.com
SRH Squad IPL 2025: Complete SunRisers Hyderabad Player List with ...
sportskeeda.com
IPL 2025 retentions: Full list of players retained by franchises with ...
sportskeeda.com
The Essential Vitamin K Foods Lists for Warfarin Users: With More Than ...
amazon.in
PBKS Squad IPL 2025: Complete Punjab Kings Player List with Prices in ...
sportskeeda.com
Kellogg's Corn Flakes Original | Power of 5: Energy, Protein, Iron ...
amazon.in
CSK Retention List IPL 2025: Full list of players retained by Chennai ...
sportskeeda.com
RCB Retention List IPL 2025: Full list of players retained by Royal ...
sportskeeda.com
KKR Retention List IPL 2025: Full list of players retained by Kolkata ...
sportskeeda.com
RR Squad IPL 2025: Complete Rajasthan Royals Player List with Prices in ...
sportskeeda.com
GT Squad IPL 2025: Complete Gujarat Titans Player List with Prices in ...
sportskeeda.com
DC Squad WPL 2025: Complete Delhi Capitals Player List with Prices in ...
sportskeeda.com
DC Retention List WPL 2025: Full list of players retained by Delhi ...
sportskeeda.com
UPW Retention List WPL 2025: Full list of players retained by UP ...
sportskeeda.com
GT Retention List IPL 2025: Full list of players retained by Gujarat ...
sportskeeda.com
LSG Squad IPL 2025: Complete Lucknow Super Giants Player List with ...
sportskeeda.com
answer it all the questions - Brainly.in
brainly.in
PBKS Retention List IPL 2025: Full list of players retained by Punjab ...
sportskeeda.com
MI: MI Retention List WPL 2025: Full list of players retained by Mumbai ...
sportskeeda.com
Table for n factor in acidic and basic medium plz give all oxidising ...
brainly.in
MI Squad WPL 2025: Complete Mumbai Indians Player List with Prices in ...
sportskeeda.com
Greatest Common Factor(GCF) in Bengali For WB Primary TET
adda247.com
NDLI: GCF and LCM Word Problems
ndl.gov.in
MI Retention List IPL 2025: Full list of players retained by Mumbai ...
sportskeeda.com
Find email id and split the domain name from a given list in R|S-Logix
slogix.in
RR Retention List IPL 2025: Full list of players retained by Rajasthan ...
sportskeeda.com
Delhi Ration Card: List 2025, Status Check, Download, Apply Online
cleartax.in
DC Squad IPL 2025: Complete Delhi Capitals player list with prices in ...
sportskeeda.com
LSG Retention List IPL 2025: Full list of players retained by Lucknow ...
sportskeeda.com
indian rupee: Rupee at 80: List of sectors winning or feeling the heat ...
economictimes.indiatimes.com
WPL 2025 Auction: Full list of sold players in WPL Auction 2025 with ...
sportskeeda.com
scrapbook stickers printable – WOOPME
woopme.com
Welcome to Varsha Technologies
varshatechnologies.co.in
Hurun India 2025: 10 billionaire Indians who entered the rich list this ...
economictimes.indiatimes.com
Role of Biomarkers in GCF during orthodontic tooth movement: Buy Role ...
flipkart.com
DC Retention List IPL 2025: Full list of players retained by Delhi ...
sportskeeda.com
Sony Bravia to Panasonic Full HD Smart TV, best TVs in India in July ...
tech.hindustantimes.com
50 % Flat Off Acrylic Home Personalized Name Plates on Design For ...
woopme.com
Orchids Bio Waste Dust Bin 30 Litres (Red)
getorchidshygiene.com
The Big Bold Family Vehicle: Kia Announces Prices for New Carens Clavis ...
myreality.co.in
Q Up Stand Primary Basic Model CP Mold Heavy Duty Blue Belt (Pack Of 2
getorchidshygiene.com
laptop trackpad mobile phone stickers – WOOPME
woopme.com
Cartoon Cat & Mouse Switch Board Printed Stickers for Home Living Kids ...
woopme.com
IPL: IPL 2025 Auction: Full list of sold players in IPL Auction 2025 ...
sportskeeda.com
45 % Customized Personalized Name Plates Flat Off on Acrylic Design For ...
woopme.com
Top-10 Most Common Phobias in the World, Check the List
currentaffairs.adda247.com
List Of Countries That Have Opened Special Rupee Vostro Accounts
indiatimes.com
Sukesh Chandrasekhar extortion case: Jacqueline Fernandez faces ...
freepressjournal.in
Office Personalized Customized Acrylic Name Plates Design Online For ...
woopme.com
Swiss Beauty Hydra Eye Serum Patch, Aloe vera 60gm | Fashion Storm India
fashionstorm.in
laptop trackpad mobile phone stickers – WOOPME
woopme.com
Insight Cosmetics Pro Concealer Palette (15gm) | Fashion Storm India
fashionstorm.in
Implemet source code for what is List in R | S-Logix
slogix.in
woopme : Please Dont Waste Water Sign Board Vinyl With Forex Sheet – WOOPME
woopme.com
posters for wall home bedroom house – WOOPME
woopme.com
Reading R-Controlled [Vowel] Syllables--Unit 3 by Reading on Strawberry ...
teacherspayteachers.com
How to top up Free Fire MAX diamonds from GamesKharido for Mystery Shop ...
sportskeeda.com
Kyloug Fast Fashion Private Limited
kyloug.in
Hurun India 2025: 10 billionaire Indians who entered the rich list this ...
economictimes.indiatimes.com
Hurun India 2025: 10 billionaire Indians who entered the rich list this ...
economictimes.indiatimes.com
Orchids Bio Waste Dust Bin 60 Litres (Red)
getorchidshygiene.com
Orchids Bio Medical Waste Dustbin Pack Of 4 (30 LITRES)
getorchidshygiene.com
Woopme: Decorative Petrol Self Adhesive Vinyl Decal Sticker For Car ...
woopme.com
Woopme: Johnie walker Petrol Self Adhesive Vinyl Decal Sticker For Car ...
woopme.com
woopme : Do Not Drink Sign Board Vinyl With Forex Sheet – WOOPME
woopme.com
SRH Squad IPL 2025: Complete SunRisers Hyderabad Player List with ...
sportskeeda.com
Punjab Kings (PBKS) Full Players List IPL 2023 announced: Check base ...
dnaindia.com
Best thriller novels you must read right now
lifestyleasia.com
RCB Retention List IPL 2025: Full list of players retained by Royal ...
sportskeeda.com
HINDUSTAN TIMES, HT CITY – B77
b77life.com
Ministries in India | List of Ministries - PSU Connect
psuconnect.in
Scorpion Fly Glue Pad Machine
getorchidshygiene.com
JaypeeDigital | eBook Reader
jaypeedigital.com
Insight Cosmetics Non-Transfer Lip Color 4ml | Fashion Storm India
fashionstorm.in
bump on board stickers – WOOPME
woopme.com
Funny Boy Peeing Diesel Universal for all Car Stickers – WOOPME
woopme.com
32 degrees of ambedkar list - Brainly.in
brainly.in
Hurun India 2025: 10 billionaire Indians who entered the rich list this ...
economictimes.indiatimes.com
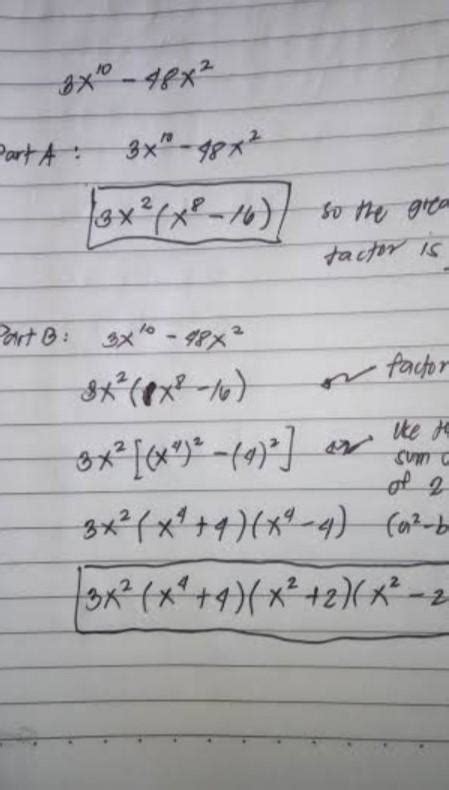
Given the expression: 6x10 − 96x2 Part A: Rewrite the expression by ...
brainly.in
Green Climate Fund (GCF) - Environment Notes
prepp.in
At 31, ‘Chennai boy’ becomes India’s youngest billionaire with ₹21,190 ...
msn.com
List Chief Ministers of Karnataka Since 1947 to 2025
jaincollege.ac.in
Types Of Numbers Tests | Math activities
math-center.org
Related Searches
GCF Math
GCF Problems
GCF Chart
Finding GCF
Greatest Common Factor Math
Example of GCF
GCF Factor List
Find the GCF for the List
Greatest Common Factor Worksheet
GCF Listing Method
Greatest Common Factor Calculator
What Is GCF
Greatest Common Factor Table Chart
How to Get GCF
GCF of 85
GCF Numbers
GCF How to Solve
GCF Graph
GCF Grade 4
GCM Math
GCF List Up to 200
Greatest Common Factor Tree
Methods to Find GCF
Highest Common Factor
Greatest Common Multiple Worksheet
Greatest Common Factor Definition
List of Common Factors
GCF Grouping
List All Factors of 13
GCF Cheat Sheet
GCF of 14 and 20
GCF Activity
Factoring Using GCF
121 GCF
GCF for 144
GCF of 18 and 27
Greatest Common Factor Chart 1 100
GCF Worksheets Grade 4
GCF PPT
GCF Solving
How Do You Find Greatest Common Factor
GCF of 47
Greatest Common Factor of 12
56 Factor Tree
GCF Math Examples
GCF Means
GCD of Three Numbers
GCF of 180 and 300
GCF of 3 and 4
Factors of 22
Search
×
Search
Loading...
No suggestions found