Find Your Style
Women
Men
Accessories
Search for clothing, brands, styles...
×
Women
Men
Accessories
Generalised Quantifiers
Search
Loading...
No suggestions found
INR Full Form: What is full form of INR?
bankersadda.com
Understanding the Saudi Riyal Currency | INR to SAR
orientexchange.in
BTC to INR Converter, Convert Bitcoin to INR Exchange 2022 - Exchanger24
exchanger24.org
CA Fresher bags INR 49.20 Lakhs Package in 58th ICAI Campus Placement Event
taxscan.in
Best whiskey under INR 1500 for a pocket-friendly drinking experience
lifestyleasia.com
Ugro Capital Crosses Inr 10000 crore aum milestone launches 10k ...
psuconnect.in
KWD to INR conversionDownload it from KWD to INR conversion for free 7.99
durslt.du.ac.in
INR extends winning streak
msn.com
Perpetual Protocol Live Price Chart, PERP to INR live price and Market cap
suncrypto.in
1 LTC to INR Converter, 1 Litecoin to INR in 2022 - Exchanger24
exchanger24.org
INR Fluctuation After Coumadin? Expert Q&A & Guidance
justanswer.com
Mast Masala Oats | TATA Soulfull | INR 209/- only
soulfull.co.in
How to show an export invoice in INR on web? - General - Swipe
community.getswipe.in
INR Meaning: International Normalized Ratio
bloodsense.ai
Optimal INR Target Range for Atrial Fibrillation
journal.rouleur.cc
BSNL 146 INR Special Prepaid Plan Price in India - Buy BSNL 146 INR ...
flipkart.com
Sundar Pichai: Google unveils 4-step plan for 75,000 Cr INR digital ...
economictimes.indiatimes.com
Aristotelian Diagrams for the Proportional Quantifier ‘Most’
mdpi.com
Aristotelian Diagrams for the Proportional Quantifier ‘Most’
mdpi.com
Aristotelian Diagrams for the Proportional Quantifier ‘Most’
mdpi.com
Aristotelian Diagrams for the Proportional Quantifier ‘Most’
mdpi.com
Coagulation Analyzer - Micropoint Q3 Pro Electrometer PT-INR Trader ...
r2healthcare.in
Aristotelian Diagrams for the Proportional Quantifier ‘Most’
mdpi.com
The Geometry of Generalized Likelihood Ratio Test
mdpi.com
Anticoagulation in Acute Pulmonary Embolism: Which Drug? How Long ...
universimed.com
Aristotelian Diagrams for the Proportional Quantifier ‘Most’
mdpi.com
International Trade Settlement in Indian Rupee (INR)
taxguru.in
The Geometry of Generalized Likelihood Ratio Test
mdpi.com
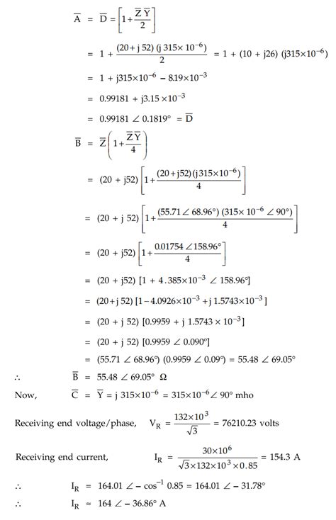
Generalised Circuit Constants of a Transmission Line
eee.poriyaan.in
India and Malaysia can now trade in Indian rupee
currentaffairs.adda247.com
Elements a Generalized Measurement System - Concepts of Measurements
eee.poriyaan.in
Aristotelian Diagrams for the Proportional Quantifier ‘Most’
mdpi.com
Uses and SideEffects of Warfarin: What You Need to Know
medicoverhospitals.in
ESL Quantifiers: Much or Many Worksheet (teacher made)
twinkl.co.in
Indian Financial System, 5e by H R Machiraju
vikaspublishing.com
International Trade Settlement in Indian Rupee (INR)
taxguru.in
Sell 1INCH for NZD | 1INCH to NZD Calculator
binance.com
Buy Gold Pendant Set with Earrings Online India | Latest Gold Pendant ...
manubhai.in
MGT-6 Form Filing Process and Key Requirements
taxguru.in
Sri Lanka and Russia in talks to use the rupee in foreign trade
currentaffairs.adda247.com
USD/INR at Record High! Why RBI is Failing to Curb the Rupee’s Fall ...
in.investing.com
Did You Know About India's Rs 10,000 Rupee Note
indiatimes.com
Buy Diamond Necklace Online | Diamond Set Online Manubhai Jewellers
manubhai.in
Hurun India 2025: 10 billionaire Indians who entered the rich list this ...
economictimes.indiatimes.com
Buy Diamond Necklace Online | Diamond Set Online Manubhai Jewellers
manubhai.in
Buy Antique Set Online | Antique Set by Manubhai.
manubhai.in
Currency Exchange in Chandigarh at the Best Forex Rates Online
makemytrip.com
Buy Gold Set Online | Gold Set by Manubhai.
manubhai.in
Tatcha Indigo Overnight Repair: Benefits & Full Review - Epicfashion
epicfashion.in
Soft Magnetic Alloys and Their Properties – Permanent Magnets Ltd
pmlindia.com
Buy Gold Ring Online | Gold Ring by Manubhai.
manubhai.in
Generalised System of Preference (GSP)
studyiq.com
Hurun India 2025: 10 billionaire Indians who entered the rich list this ...
economictimes.indiatimes.com
Buy Gold Earrings Online | Gold Earrings by Manubhai.
manubhai.in
Buy Antique Set Online | Antique Set by Manubhai.
manubhai.in
Buy Gold Pendant Set with Earrings Online India | Latest Gold Pendant ...
manubhai.in
How Indian Rupee Stands Against Other Major Currencies
indiatimes.com
Identifying a Quantifier in a Sentence SPaG Grammar PowerPoint
twinkl.co.in
Buy Antique Set Online | Antique Set by Manubhai.
manubhai.in
Diamond Necklace Designs | Buy Diamond Necklace Set Online at Best ...
manubhai.in
Light Weight Gold Jewellery with price | Daily Wear Gold Jewellery Online
manubhai.in
Predicate and Quantifiers 1 - Bsc maths - Studocu
studocu.com
Manubhai Jewellers | Gold & Diamond Jewellers in Borivali, Mumbai
manubhai.in
ESL Countable and Uncountable Nouns Worksheet [A2] | Twinkl
twinkl.co.in
Warfarin: View Uses, Side Effects and Medicines
truemeds.in
USD/INR forecast: Indian rupee analysis ahead of RBI decision By Invezz
in.investing.com
Buy Real Diamond Set Online | Real Diamond Set by Manubhai.
manubhai.in
Warfarin R-Isomer | CAS No- 5543-58-8 | NA
chemicea.com
Taxila Business School Placements 2025 | Highest & Average Package
taxila.in
Hurun India 2025: 10 billionaire Indians who entered the rich list this ...
economictimes.indiatimes.com
How to conduct generalized least squares test?
projectguru.in
Urticaria: A Narrative Overview of Differential Diagnosis
mdpi.com
12. the product of generalized coordinate and its conjugate momentum ...
scoop.eduncle.com
Warfarin Impurity 1 | CAS No- 2514748-07-1 | Simson Pharma Limited
simsonpharma.com
editorials: Latest News & Videos, Photos about editorials | The ...
economictimes.indiatimes.com
Warfarin sodium in India - Chemicalbook.in
chemicalbook.in
Recombinant Virus Quantification Using Single-Cell Droplet Digital PCR ...
mdpi.com
India Tourism
traveltrendstoday.in
International Normalized Ratio (INR) Test Meter Market Trends Report 2026
thebusinessresearchcompany.com
Five Times The RBI Has Withdrawn Or Demonetised Indian Currency Notes
indiatimes.com
Top 10 Best Colour Combinations for Sarees in 2024
hutsandlooms.com
Buy Gold Set Online | Gold Set by Manubhai.
manubhai.in
Hairstyle & Haircare for Men 2023 | Best Men's Haircuts 2023 | Hair ...
mensxp.com
Solo Leveling: ReAwakening ending - Will Jinwoo survive the Red Gate?
lifestyleasia.com
Plus Size Black Red SnugWeave™ Winter Kurta
amydus.com
Generalised Circuit Constants of a Transmission Line
eee.poriyaan.in
Certifications
pasteljade.com
Track Orders – Tailor Kadai
tailorkadai.in
EPR Registration and Compliance
taxguru.in
Luthra And Luthra, Atozlearn Edutech Private Limited, Ixambee, Fundraise
livelaw.in
Generalised Anxiety Disorder Mind Map
twinkl.co.in
USDINR – Is It A Price Action Pullback Or Shakeout ? | Investing.com India
in.investing.com
Jackie Shroff net worth: A look at the Apna Bhidu's cars, houses and more
lifestyleasia.com
Warfarin Sodium | CAS No- 129-06-6 | Simson Pharma Limited
simsonpharma.com
logo_1200_x_628_px.jpg?v=1720118200
artrise.in
Generalised Circuit Constants of a Transmission Line
eee.poriyaan.in
Buy Diamond Necklace Online | Diamond Set Online Manubhai Jewellers
manubhai.in
'Crazxy' ending explained: Will Abhimanyu get out of the ethical trap?
lifestyleasia.com
International Normalized Ratio (INR) Test Meter Market Trends Report 2026
thebusinessresearchcompany.com
Aiwo Breath Easy – Aiwo Limited
aiwo.com
Electrical Engineering
ee.iitm.ac.in
Manubhai Jewellers | Gold & Diamond Jewellers in Borivali, Mumbai
manubhai.in
Buy DATA ANALYSIS USING HIERARCHICAL GENERALIZED LINEAR MODELS WITH R ...
amazon.in
Sunil Gavaskar urged BCCI to restrict Salary for uncapped players to ...
bhaskarenglish.in
Best Warfarin Embryopathy Specialists in India
medicoverhospitals.in
New alcohol launches by Indian brands in 2025 | Lifestyle Asia India
lifestyleasia.com
Learning Mandala and Doing Business in It Are Two Different Learnings ...
nehascreations.com
Buy Diamond Necklace Online | Diamond Set Online Manubhai Jewellers
manubhai.in
ESL Some or Any Practice Worksheet (teacher made) - Twinkl
twinkl.co.in
Guide to Sarees For Fat Women - Plus Size Saree Draping | Amydus
amydus.com
Buy Antique Set Online | Antique Set by Manubhai.
manubhai.in
FAQ
keydroid.in
Run Jump - Mocap.in
mocap.in
Asymptotic Dependence Modelling of the BRICS Stock Markets
mdpi.com
Home | Telcoin
telco.in
NFRA- Applicability, Power, Responsibilities and Filings
taxguru.in
Warfarin EP Impurity A | CAS No- 15156-56-6 | Simson Pharma Limited
simsonpharma.com
EAL Grammar Support Pack - Countable and Uncountable Nouns - Older Learners
twinkl.co.in
A Resolution Principle for a Logic with Restricted Quantifiers: Buy A ...
flipkart.com
Predicates AND Quantifiers - PREDICATES AND QUANTIFIERS Predicates: A ...
studocu.com
Related Searches
Quantifiers English Grammar
Quantifiers Exercises PDF
Quantifiers ESL
Some Most All Quantifiers
Quantifiers ESL Worksheet
Teaching Quantifiers
Quantifiers Activities
List of Quantifiers
Quantifiers English
Noun Quantifiers
Types of Quantifiers
What Are Quantifiers
What Is Quantifiers
ESL Quantifiers Board Game
Quantifiers Table
Quantifiers Que Son
Quantifiers Diagram
Quantifiers Reading Comprehension
Quantifiers Exercises Some Any No
English Quantifiers
Quantifiers in English
Quantifiers Worksheet
Adverbs of Frequency Exercises
Different Types of Quantifiers
Search
×
Search
Loading...
No suggestions found