Find Your Style
Women
Men
Accessories
Search for clothing, brands, styles...
×
Women
Men
Accessories
Github Deployment Status
Search
Loading...
No suggestions found
Convert 1 KHR to INR - Cambodian Riel to Indian Rupee Currency Converter
cleartax.in
INR Full Form: What is full form of INR?
bankersadda.com
BTC to INR Converter, Convert Bitcoin to INR Exchange 2022 - Exchanger24
exchanger24.org
Zoomcar — Refund amount of INR 7053 not received
consumercomplaints.in
MCL signs INR 7.02 crore MoU for AAROGYA initiative
psuconnect.in
BTC to INR Converter, Convert Bitcoin to INR Exchange 2022 - Exchanger24
exchanger24.org
Mast Masala Oats | TATA Soulfull | INR 209/- only
soulfull.co.in
Goldstone Tech acquires 'WowTruck' at INR 8 cr
psuconnect.in
How To Deploy A Git Repository To A Server Using GitHub Actions
programonaut.com
Chapter 2. Using Dev Spaces in team workflow | User guide | Red Hat ...
docs.redhat.com
How to deploy Nuxt 3 App to AWS Amplify with Github
hungrypixel.in
Resolving SSH Authentication Issues in Jenkins: A Step-by-Step Guide ...
medium.ravikyada.in
Use the Sales Order Completion (SOC) Business Blueprint to Train a ...
developers.sap.com
JitPack - GitHub status is down (23/Dec/25) | IsDown
isdown.app
JitPack - GitHub status is down (23/Dec/25) | IsDown
isdown.app
Configure GitHub Webhooks to Track CI & Merge Status | React Native ...
docs.luciq.ai
Integrating GitHub Copilot in Visual Studio: A Complete Guide
filmora.wondershare.com
From Code to Cloud: Mastering EKS Deployment with Terraform and GitHub ...
sourish1978.medium.com
Import GitHub Issues based on Project Status - Akiflow
product.akiflow.com
9 - Create Action to Get Data from SAP S/4HANA Cloud | SAP Tutorials
developers.sap.com
Autoconf Rollen - Dokumentation
docs.logodidact.com
Get started with Helm CI/CD on OpenShift | Red Hat Developer
developers.redhat.com
MuleSoft API Proxy
bitmaskers.in
How To Link To A GitHub PDF Without Downloading It?
programonaut.com
Github - CanaryCD
docs.rehborn.dev
Deploy a Website on Netlify using Github Actions
ravsam.in
Gitlab-CI: Build & Deploy Laravel5 ke Server Production dengan SSH ...
blog.tohir.in
Check all PM2 service ports: Tracking PM2 Application Ports with Ease ...
infiq.ravikyada.in
Function Deployment — NVIDIA Cloud Functions
docs.nvidia.com
Autoconf Rollen - Dokumentation
docs.logodidact.com
Autoconf Rollen - Dokumentation
docs.logodidact.com
CI/CD Pipeline to Deploy Mule Applications in CloudHub 2.0
blogs.mulecraft.in
Deploying Workspace ONE UEM applications to Windows devices | Omnissa
techzone.omnissa.com
AlienVault: Threat Hunting/Network Analysis - Hacking Articles
hackingarticles.in
Langesh | Full Stack Developer
langesh.in
Application config versioning and rollback
techdocs.akamai.com
CI/CD for Kubernetes With Jenkins and Spinnaker
valleysc.in
Deploy a Website on Netlify using Github Actions
ravsam.in
Continuous Integration fundamentals
aboullaite.me
CI / CD pipeline for ESP32 Projects
rbklabs.in
[Flutter Recipe] Create a Weather App in Flutter: Integrating APIs and ...
digitalcurry.in
GitHub down? Current status and problems • Is The Service Down? India
istheservicedown.in
How To Link To A GitHub PDF Without Downloading It?
programonaut.com
End To End Machine Learning Project Implementation With Dockers,Github ...
krishnaik.in
API Reference | irctc-api
dev.vaddiraju.in
Employee Self Services - Zipbizz
zipbizz.in
Kindle Friendly AWS DevOps Blogs
bejoycalias.in
Autoconf Rollen - Dokumentation
docs.logodidact.com
JBoss AS 7.1.1 with Java 6 fails to deploy appl...| JBoss.org Content ...
developer.jboss.org
How To Check Patent Application Status Online? - LegalWiz.in
legalwiz.in
Git Repository Setup (GitHub + GitLab) | Upwork
upwork.com
Chaos Engineering With Litmus: Detailed Overview of Litmus Architecture ...
infiq.ravikyada.in
[Resolved] Binomo — Withdrawal delay Issue (VIP status)?
consumercomplaints.in
Software testing - Better Code, Better Science
poldrack.github.io
Más ejemplos de diagramas de despliegue
edrawsoft.com
Army begins operational deployment pay | Article | The United States Army
army.mil
Buy EK DO DHAI Glass Facebook Status Print Beer Mug - 350ml from Ek Do ...
homecentre.in
Real-Time High-Load Infrastructure Transaction Status Output Prediction ...
mdpi.com
High SPIN4 Expression Is Linked to Advanced Nodal Status and Inferior ...
mdpi.com
We leverage GitHub Actions for lint checks and integration tests ...
linkedin.com
Autoconf Rollen - Dokumentation
docs.logodidact.com
Cloud Computing मैं Deployment Model कौन से हैं ? पूरी जानकारी ...
avtechtrick.in
IndiGo’s Grand Runaway Fest, fares starting at ₹1,111
goindigo.in
1 million dong in indian rupees - Brainly.in
brainly.in
Build Production Grade Debezium Cluster With Confluent Kafka
thedataguy.in
Review and Updates on the Treatment of Refractory and Super Refractory ...
mdpi.com
Aadhaar Card PAN Card Link Status: How To Check Aadhar PAN Card Link ...
cleartax.in
Inline Milk Lactose Concentration as Biomarker of the Health Status and ...
mdpi.com
Developed an OSS with Over 250,000 Downloads Using Vibe Coding. I Did ...
zenn.dev
Software Application Deployment status - Feb 2012 | Information Kerala ...
ikm.gov.in
The Interactive Effects of Severe Vitamin D Deficiency and Iodine ...
mdpi.com
Saankhya Deployment status in Grama Panchayat - March 2012 ...
ikm.gov.in
Circulating Microvesicle-Associated Inducible Nitric Oxide Synthase Is ...
mdpi.com
The New and Key Roles for Psychological Contract Status and Engagement ...
mdpi.com
Bitcoin Price Chart: Google gives bitcoin currency status & converter
economictimes.indiatimes.com
6 Methods to Fix WhatsApp Status Not Showing
mobiletrans.wondershare.com
Does Aging Have an Impact on Vitamin C Status and Requirements? A ...
mdpi.com
Langesh | Full Stack Developer
langesh.in
Iodine Status of 6–12-Year-Old Children in Russia over the Past 10 ...
mdpi.com
Stand out navy blue corset top – Kostume County
kostumecounty.com
Moningi Srija
cse.iitb.ac.in
Sona9 Betting Site: Sports and Casino Betting Online in India 2025
sona9.in
India and Malaysia can now trade in Indian rupee
currentaffairs.adda247.com
Swami Vivekananda Wallpaper
whoa.in
Chapter 10 - Financial Market (Class Notes), BST, Class 12, CBSE ...
edurev.in
Effects of Zinc Oxide and Arginine on the Intestinal Microbiota and ...
mdpi.com
Improvements in Body Composition after a Proposed Anti-Inflammatory ...
mdpi.com
International Trade Settlement in Indian Rupee (INR)
taxguru.in
A Multi-Institutional, Retrospective, Observational Study on ...
mdpi.com
Exercise Training Induces a Shift in Extracellular Redox Status with ...
mdpi.com
JASMY/INR trading is live on Sun Crypto
help.suncrypto.in
The Added Value of Controlling Nutritional Status (Conut) Score for ...
mdpi.com
Evaluation and Management of Status Epilepticus in Children: IAP Guidelines
medicaldialogues.in
Association of Elite Sports Status with Gene Variants of Peroxisome ...
mdpi.com
USD/INR Cracks Big: Falls 2% in 4 Days! | Investing.com India
in.investing.com
FSSAI
eastregion.fssai.gov.in
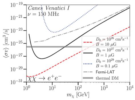
Status, Challenges and Directions in Indirect Dark Matter Searches
mdpi.com
Buy EK DO DHAI Glass Facebook Status Print Beer Mug - 350ml from Ek Do ...
homecentre.in
Vivo TWS 3 - Price in India, Specifications & Features | Earbuds
cashify.in
Earth Leakage Relay Series N96 -Protech Engineering & controls Pvt Ltd ...
protimerelays.co.in
Reflection of Dietary Iodine in the 24 h Urinary Iodine Concentration ...
mdpi.com
Primary Health Care Systems and Their Contribution to Universal Health ...
mdpi.com
The Intersection of a Child’s Demographics and Household Socioeconomic ...
mdpi.com
Elimination of Schistosomiasis Mekongi from Endemic Areas in Cambodia ...
mdpi.com
Novel Clustering Methods Identified Three Caries Status-Related ...
mdpi.com
Current Status and Prospects of Valorizing Organic Waste via Arrested ...
mdpi.com
Rupee Depreciation: Will India's Exports Stand To Gain? | Investing.com ...
in.investing.com
(Refurbished) Portronics Muffs M2 Bluetooth Headphones On Ear with Upto ...
amazon.in
Association between Regular Electronic Nicotine Product Use and Self ...
mdpi.com
International Trade Settlement in Indian Rupee (INR)
taxguru.in
Golds Gym India — golds gym fraud
consumercomplaints.in
Flagship-sitara hotel
tca.in
Global Flap Discs Market 2018-2025 — Teletype
teletype.in
Nadhiya Latest Updates, Gallery, Wiki, Affairs, Contact Info, Biodata, News
goprofile.in
T-Series 32TWO 300H 32 inch (81 cm) LED HD-Ready - Price in India ...
cashify.in
Year-ender 2022: Three factors that will drive INR/USD rate next year ...
livemint.com
Reflection of Dietary Iodine in the 24 h Urinary Iodine Concentration ...
mdpi.com
Vitamin D Food Fortification and Nutritional Status in Children: A ...
mdpi.com
USD/INR at Record High! Why RBI is Failing to Curb the Rupee’s Fall ...
in.investing.com
Asus TUF Gaming F15 FX506LI-HN271TS (Core i5 10th Gen/8 GB/512 GB SSD ...
cashify.in
Related Searches
GitHub Projects
IT Deployment
GitHub Deploy
Git Deployment
GitHub Server
GitHub Pages
GitHub Architecture
GitHub Deployments Indicator
GitHub History
GitHub Gated Deployment
GitHub デプロイ
Staging and Deployment GitHub
GitHub Enterprise
GitHub Deployments Node
Deployment Status
GitHub Workflow
Azure GitHub
Map of GitHub Deployment
GitHub How to Deploy
GitHub Octopus
File Server GitHub
Deployment Logs
Deployment Dashboard
GitHub Review Deployment
Post-Deployment Testing
GitHub Deployment Approval
Git Deployment Strategy
GitHub JS
Cloud Deployment Application
Branch Deployment GitHub
App Service Deployments with GitLab or GitHub Flow
GitHub Deployment Environment
Deployment Strateegy GitHub
GitHub Deployment Pipeline
Git Flow Branching Strategy
GitHub Workflow Templates Dev/Test Prod Deployments
GitHub Deployment Icon
GitHub Diagram Deployment Diagram
GitHub Deployment Matrix
Auto Build Deployment From GitHub to Server
GitHub Approve Deployment
GitHub Deployment Badges
Deployment Word
GitHub Code Deployement Diagram
Build Status GitHub
Pull Request Process GitHub
GitHub Actions
Deployment GitHub to AWS Pipeline
GitHub Environments
GitHub Actions Topology
Search
×
Search
Loading...
No suggestions found