Find Your Style
Women
Men
Accessories
Search for clothing, brands, styles...
×
Women
Men
Accessories
Glossary Example Format
Search
Loading...
No suggestions found
Glossary Writing Headlines - LinkedIn Learning and Lynda are registered ...
studocu.com
Glossary Writing Booklet Template (teacher made) - Twinkl
twinkl.co.in
Course-1-Glossary, project management, google course work - Glossary ...
studocu.com
Synopsis Format 2022 23 - SYNOPSIS FORMAT ( For B. Tech-IT/CSIT Final ...
studocu.com
Dictionary Guide Display Poster (teacher made)
twinkl.co.in
Synopsis Format for clear idea - FORMAT OF SYNOPSIS Before starting to ...
studocu.com
General APA Guidelines - APA Formatting and Style Guide APA (American ...
studocu.com
Gram's Stain Report Format | MS Word & Pdf
labsmartlis.com
Sample Abstract for International Conference 1 - Title ...
studocu.com
Rivers Topic KS2 Glossary of Terms (teacher made) - Twinkl
twinkl.co.in
Glossary Of Newspaper Terms - Glossary of Newspaper Terms Ad ...
studocu.com
Invoice Template | Download Invoice Templates - Swipez
swipez.in
Year 1 Grammar Glossary (teacher made) - Twinkl
twinkl.co.in
Space Glossary (teacher made) - Twinkl
twinkl.co.in
Glossary Finance - CAPITAL ASSET PRICING MODEL (CAPM) A model used to ...
studocu.com
GSTR-1 Return Format in PDF - LegalWiz.in
legalwiz.in
Multi-Currency Accounting – Create, Alter, and Delete
vedcrm.vedantsoft.in
GST Delivery Challan Format for Free - Easy Download
refrens.com
Mobile Shop Bill Format Download | Free Invoice Template For Mobile Shop
stockregister.in
KS1 English Glossary Pack (teacher made) - Twinkl
twinkl.co.in
Mandatory HSN/SAC Codes in GST Invoices from 01.04.2021
taxguru.in
Free Invoice Format | Download and Send Invoices Easily - Wise
wise.com
GST Export Invoice and Foreign Currency Billing | Sleek Bill
sleekbill.in
Hospital Management Software | Billing Prints | Formats
softcure.in
An LGBT Glossary of Terms (teacher made) - Twinkl
twinkl.co.in
Mind Map: Glossary - CA Foundation PDF Download
edurev.in
150+ Real Estate Terms to Know: Ultimate Glossary of Words Related to ...
assureshift.in
Journal Article Format Example
conferencealerts.in
Free, Easy-To-Use, Excel Templates: Billing & stocking template for a ...
xlant.in
GST Export Invoice with Foreign Currency Billing
billingsoftware.in
Free Invoice Format | Download and Send Invoices Easily - Wise
wise.com
👉 KS1 Music Glossary of Terms (teacher made) - Twinkl
twinkl.co.in
Viking Vocabulary | Glossary of Useful Vocabulary | KS2
twinkl.co.in
KS1 Non Chronological Report Examples Resource Pack
twinkl.co.in
Music Terms Worksheet | Music & Art | Twinkl USA
twinkl.co.in
Quotation Format - Free Templates | Easy Download | Refrens
refrens.com
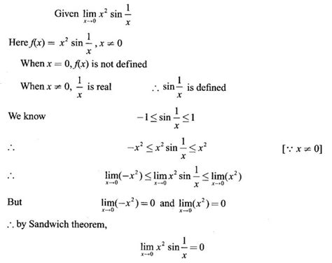
Limit of a Function - Definition, Theorem, Solved Example Problems ...
mech.poriyaan.in
Please help with in-hand salary calculation Deloitte India Deloitte ...
glassdoor.co.in
Learning Chunk Definition & Meaning | SlideLizard® Glossary
slidelizard.com
ClearTax GST Software- How to Create Export Invoices
cleartax.in
Glow Glossary
glowglossary.com
SBI BANK CODE SBCHQ-GEN-PUB-IND-INR MEANING.SBI DIFFERENT TYPES OF ...
digitalhelper.in
Baleno 40K service at Maruti owned workshop - Team-BHP
team-bhp.com
GSTR 9 - Due Date, Format and Filing of Annual GST Return
paisabazaar.com
Nocturnal Animals PowerPoint | Primary Resources
twinkl.co.in
Free Proforma Invoice Templates Format | Refrens
refrens.com
Urine Routine Examination Report Format | MS Word & Pdf
labsmartlis.com
Glossary Of Administrative Terms (English-Hindi): Buy Glossary Of ...
flipkart.com
Glossary of Shipping and Logistics Terms: Buy Glossary of Shipping and ...
flipkart.com
KS1 Non-Chronological Reports Resource Examples Pack
twinkl.co.in
Internship Certificate Format and Uses - The Free Voice, Articles ...
leaderdesk.in
Joining Letter Format: Samples for Employees and Professionals in All ...
collegesearch.in
Crude Oil Or Product Tanker Cargo Calculations - Ullage Report Print Sample
cargocal.com
CAPS Lesson Plan Template | Twinkl South Africa - Twinkl
twinkl.co.in
Formats of Tax Invoice and Bill of Supply as per GST Act
taxguru.in
What is Data: Its Types, Usage and Storage
sameersrivastava.net.in
LRS Cash Receipt Book - 50 Sheets (Pack of 12) : Amazon.in: Office Products
amazon.in
Safeguarding Terms | Abuse | Poster
twinkl.co.in
Sustainability Simplified – Our Glossary of Terms
sgs.com
What is commercial invoice in exports?
sell.amazon.in
A Glossary of Literary Terms 10 Edition: Buy A Glossary of Literary ...
flipkart.com
GSTR-3B vs GSTR-1 - Reconciliation of Outward Supplies & Comparison Report
cleartax.in
Housing society maintenance bill format 01 - Housing Society Name LOGO ...
studocu.com
Credit Note Format - Free Download
vyaparapp.in
Internship Certificate Format: Best Guide & Sample 2025
cheggindia.com
2006 UK NHS Home Oxygen Order Form (HOOF) Fill Online, Printable ...
pdffiller.com
What is a Dichotomous Key? - Answered - Twinkl Teaching Wiki
twinkl.co.in
Animated GIF Definition & Meaning | SlideLizard® Glossary
slidelizard.com
Best CV Formats in 2025: Templates, Samples, Structure and Examples
collegesearch.in
आम का पल्प ( Mango Pulp ) Glossary | स्वास्थ्य के लिए लाभ + आम का पल्प ...
tarladalal.com
Microlearning Definition & Meaning | SlideLizard® Glossary
slidelizard.com
Delivery Challan Format Free Download
vyaparapp.in
Credit Note Format in GST Free Download
vyaparapp.in
format of ईमेल लेखन in Hindiclass 10 th.. - Brainly.in
brainly.in
Sustainabledevelopment – QUALiTYViVA- Vivek Shrouty
vivekshrouty.in
computer glossary (कम्प्यूटर शब्दावली) "R"
computernetworksite.in
What is Universal Disk Format? A Detailed Overview | Lenovo IN
lenovo.com
Year 5 Forces Scientific Vocabulary Poster
twinkl.co.in
Bus Ticket Format Free Download
vyaparapp.in
Mla Fill In The Blank 2020-2025 - Fill and Sign Printable Template Online
uslegalforms.com
US-00467BG Form - Fill Online, Printable, Fillable, Blank - pdfFiller
travel-consent-form-canada.pdffiller.com
23-12-20 Legal Notice Format - LEGAL NOTICE/ LAWYERS NOTICE-II LEGAL ...
studocu.com
Tax Glossary
grluisi.com
Teacher Resume: Format, Sample, & Writing Guide
zety.com
Glossary
pgrinformatics.nbpgr.ernet.in
Buy Glossary of Indian Crops [Paperback] Das, N.R. Book Online at Low ...
amazon.in
How to Write a Memo [Template & Examples] - Blog
appsmanager.in
Glossary of Indian Medicinal Plants: Buy Glossary of Indian Medicinal ...
flipkart.com
Manupatra
manupatra.com
Transport Invoice Format Free Download
vyaparapp.in
DO letter from Secretary
potoolsblog.in
What Is an Object?
iitk.ac.in
Amazon.in: Buy Geological Glossary, Ed. by R.D. Oldham Book Online at ...
amazon.in
Glossary Dry Fruits Gift Pack - Buy Glossary Dry Fruits Gift Pack ...
flipkart.com
Sample Paper | International Talent Search Examination - ITSE
itse.org.in
make a bilingual glossary of the various spices used in the kitchen ...
brainly.in
Delivery Challan Format Free Download
vyaparapp.in
Free GST Invoice Generator | Free Invoice Maker | Zoho Invoice
zoho.com
Mosca en leche: Easy Spanish Story in Easy-to-Read Format with Spanish ...
amazon.in
Law Dictionary ( Legal Glossary / Vidhi Shabdavali ) 980 Pages: Buy Law ...
flipkart.com
Mobile Shop Bill Book Format - Free download
vyaparapp.in
Abstract Guidelines and Samples - ABSTRACT GUIDELINES: Abstracts must ...
studocu.com
Objectives of Research - OBJECTIVES OF RESEARCH Research is defined as ...
studocu.com
SWOT Analysis: How To Do One [With Template & Examples] - Blog
appsmanager.in
Format of Rejoinder Affidavit against Counter Affidavit in Supreme ...
studocu.com
Review Petition - IN THE SUPREME COURT OF INDIA CIVIL APPELLATE ...
studocu.com
Basic assumptions of Research - Basic assumptions of Research ...
studocu.com
Ta Bill Form For Non Gazetted Officers Excel Format - Fill Online ...
pdffiller.com
BCA Resume Format PBC Unit 3 Type 1 - BCA Resume Format Your Name ...
studocu.com
Data Models and their Types - Simplynotes - Online Notes for MBA, BBA ...
simplynotes.in
What is read/write (R/W)? Understanding and Improving Device ...
lenovo.com
email writing in Hindi for class 9 - Brainly.in
brainly.in
AD, IFSC, Request letter & auth format - (AD CODE LETTER FORMAT) (On ...
studocu.com
Request Letter for Doing Important Amendments in GST ACT
taxguru.in
Bearing Lock Nuts R Type | MISUMI | MISUMI India
in.misumi-ec.com
Model FIR
legalbites.in
Buy An Anglo-Saxon Primer: With Grammar, Notes, and Glossary Book ...
amazon.in
Finance Basics for Investor - India Dictionary
1investing.in
Enantiomers: Definitions, Examples, Properties, Representation ...
collegesearch.in
10+ Free Meeting Agenda Templates PDF&Word – EMEET
emeet.com
Related Searches
Glossary Page Template
Sample of a Glossary
Glossary Template Free
Glossary Example Book
Glossary Table Template
Glossary Layout
Glossary Template Word
Glossary Page. Examples
Microsoft Word Glossary Template
Glossary Example for Kids
Glossary Example for Report
Policy Manual Template Word
Acronym Glossary Template
Business Glossary Example
Glossary Template Excel
Glossary of Terms Template
Glossary Example in Research Paper
What Does a Glossary Look Like
Best Glossary Example
How Does a Glossary Look Like
Appendix Page Example
HTML Glossary Template
Glossary KS1 Example
Mini Glossary Example
Vocabulary Blank Template
MLA Format Essay Template
MLA Writing Format Template
Contoh Format Glossary
PPT Glossary Example
IT Glossary Exemple
Innovative Format Glossary Example
Gloosary Example
Space Glossary
Sample Simple Format of Glossary
Glossary Example in Any Document
Slides Format for Glossary
Glosaryo Format
Confluence Templates
Data Business Glossary Example
Glossary Paper Work
Dissertation Glossary Examples
Example of Glossary Formatting
Magazine Article Format Example
Word Doc Glossary Template
Examples of Glossaries
Gloss Art Format
Glossary Letter
Contoh Tabel Format Glossary
Key Gloassary Example
Large Glossary Sample
Search
×
Search
Loading...
No suggestions found