Find Your Style
Women
Men
Accessories
Search for clothing, brands, styles...
×
Women
Men
Accessories
Grouping Math Factoring
Search
Loading...
No suggestions found
Factoring by Grouping Worksheet | Resource |Twinkl USA
twinkl.co.in
View question - Factoring Methods - Why is Grouping the 'best'?
web2.0calc.com
50+ factoring worksheets for 11th Class on Quizizz | Free & Printable
quizizz.com
Maths Grouping Worksheet | Early Level | CfE | Twinkl
twinkl.co.in
Making Groups of Two Differentiated Worksheets - Twinkl
twinkl.co.in
What Are Factor Pairs? | Definition & Examples | Twinkl
twinkl.co.in
What are Factor Trees? Characteristics, Uses and Examples
twinkl.co.in
factorise : 4x^2+12xy+9y^2-6x-9y - Brainly.in
brainly.in
Potential and Field Due to Dipole - Physics Optional Notes for UPSC PDF ...
edurev.in
What is a Multiple in Maths? Multiples of a Number? - Twinkl
twinkl.co.in
Class 8 - Factorisation | Math Practice, Questions, Tests, Worksheets ...
in.edugain.com
👉 Equal Groups Maths Year 1 Multiplication Activity Sheets
twinkl.co.in
Math - No Problem! Sharing and Grouping, Kindergarten Ages 5-6: Buy ...
flipkart.com
Formulate one real-life problems involving factors of polynomials ...
brainly.in
Buy 2nd Grade Basic Math Success Workbook: Place Values, Addition ...
amazon.in
Relational Algebra in DBMS - DBMS Tutorial | Study Glance
studyglance.in
Overview on the Factoring Business and Its Recent Developments
samistilegal.in
Grade R Robotics and Coding Decomposition - Grouping Activity
twinkl.co.in
Assessing Math Concepts: Grouping Tens : Richardson, Kathy: Amazon.in ...
amazon.in
Group Mathematics | Primary Resource | Teacher Made
twinkl.co.in
Set Theory & Algebra: Abelian group
gateoverflow.in
Elimination OF LEFT Recursion - ELIMINATION OF LEFT RECURSION AND LEFT ...
studocu.com
Solve the following algebra questions for practice of SSC CGL
qmaths.in
Algebra practice Questions for ssc cgl
qmaths.in
Goyal ICSE Foundation Math for Class 8 - Latest for 2025-26 Session ...
thebookmasters.in
Grade R Pattern Activities | Maths Pack | South Africa
twinkl.co.in
Buy APPLIED LINEAR ALGEBRA Book Online at Low Prices in India | APPLIED ...
amazon.in
Understand Reverse Factoring: A Solution for Improved Cash Flow
legacypartners.in
Understanding Rhesus(Rh) Factor
allen.in
Different blood groups — lesson. Science State Board, Class 10.
yaclass.in
Factoring and Forfaiting - Key Differences and Which Opt is Best?
navi.com
Understanding Rhesus(Rh) Factor
allen.in
Kindergarten Math Problem of the Day - May Worksheet
twinkl.co.in
make a square table starting from 1 to 100 - Brainly.in
brainly.in
Long division of polynomial - Brainly.in
brainly.in
3.4 Thurston Group Factor Theory of Intelligence
detsndt.ac.in
Factoring - Import and Export solution - BNP Paribas Factoring
factoring.bnpparibas.com
BEST DEAL OF THE YEAR AWARD
indiafactoring.in
Group Project Rubric for 3rd-5th Grade | Twinkl USA - Twinkl
twinkl.co.in
Understand Reverse Factoring: A Solution for Improved Cash Flow
legacypartners.in
Obtain all the zeros of the polynomial f(x) 3x4+6x3-2x2-10x-5 if its ...
brainly.in
What is Set Mathematics? - Answered - Twinkl Teaching Wiki
twinkl.co.in
By grouping[tex]8 - 9a - 2 {a}^{3} + {a}^{4} [/tex]Please solve ...
brainly.in
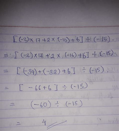
simply it: [(-2)×17+2×(-16)+6]÷(-15). - Brainly.in
brainly.in
Math Work Board~Can be used for centers, rotations, and grouping! Back ...
teacherspayteachers.com
Dr. Seuss math activity sheet by Learning Angels Resources | TPT
teacherspayteachers.com
By grouping[tex]8 - 9a - 2 {a}^{3} + {a}^{4} [/tex]Please solve ...
brainly.in
Mr. Rajiv Nayar – Independent Director
indiafactoring.in
factorise using the therom x3+6x3+11x+6 (all the 3 in the sum r cubes ...
brainly.in
रक्त समूह अवधारणाओं को डिकोड करना (Decoding Blood Group Concepts)
hindiarise.com
Obtain all zeroes of the polynomial 2x4 + x3 – 14x2 – 19x – 6,if two of ...
brainly.in
The GCF of the numbers in the expression (32 + 16) is ?? . The numbers ...
brainly.in
Buy hand2mind Demonstration Clings Ten Frame with Math Counters for ...
desertcart.in
International Factoring Services award
indiafactoring.in
Modern Algebra By Qazi Zameeruddin
vikaspublishing.com
IJRASET Recent Published Paper
ijraset.com
50+ Money Math worksheets for 5th Class on Quizizz | Free & Printable
wayground.com
Buy Differentiating in Geometry, PreK-Grade 2: A Content Companionfor ...
amazon.in
Logo
indiafactoring.in
Differentiated Literacy Instruction: Assessing, Grouping, Teaching ...
amazon.in
Find all the zeroes of a polynomial x4+x3-34x2-4x+120 if two of its ...
brainly.in
TReDS all Compliance required for registration
taxguru.in
Maruti dealers and showrooms in Ahmedabad | Kiran Maruti
kiranmotors.co.in
Sorting Materials into Groups Class 6 notes - All these materials have ...
studocu.com
Phasor Diagrams for Transformer on Load - Single Phase Transformer
eee.poriyaan.in
find the value of the polynomial-q(y)=3y^3-4y+root-11 at y=2 - Brainly.in
brainly.in
Neat Handwriting Alphabet – Cursive Handwriting Poster
twinkl.co.in
US Military To Deploy Navy Ships, USS Gerald R Ford Closer To Israel To ...
timesnownews.com
Salary income questions - Mr. Raj an employee in a company, is drawing ...
studocu.com
2023 Honda Civic Type R unveiled as the most powerful model in 30 years ...
overdrive.in
Blood Grouping & Typing AntiSera | ARKRAY, Inc.
arkray.co.in
ratisbon's | Imperial Germany - I.R.390 grouping to Musketier Winter ...
ratisbons.com
Buy HELAKU Math Flash Cards - Multi Math Flashcards for Kids Set of 4 ...
desertcart.in
Blood Group Types, Erythroblastosis foetalis, Antigens and Antibodies ...
aakash.ac.in
Math Riddles: Find Missing Numbers in these Tricky Logic Math Puzzles
jagranjosh.com
Bulk SMS for Schools | Bulk SMS Templates for Schools
smsgatewaycenter.com
Buy Kindergarten Math Activity Workbook: For Kindergarten and Preschool ...
desertcart.in
Terminal Handling Charges (THC): Meaning, Calculation, and Examples
dripcapital.com
find the total resistance of the circuit ,the value of R ,the current ...
brainly.in
Grouping plants
plantsrescue.com
Blood Group Types, Erythroblastosis foetalis, Antigens and Antibodies ...
aakash.ac.in
Grouping plants
plantsrescue.com
ratisbon's | Pz.Jg. I.R. 448 document grouping to Fw. Seimair - Close ...
ratisbons.com
ratisbon's | A.R.22 document grouping to Oberschirrmeister Schwarting ...
ratisbons.com
Grouping plants
plantsrescue.com
Grouping plants
plantsrescue.com
Grouping plants
plantsrescue.com
Healthcare Digital Marketing Agency 2025 | upGrowth
upgrowth.in
Evaluating Generator Circuit Breakers Short-Circuit Duty, 60% OFF
iiitl.ac.in
Buy 4 Pieces MATH s Teacher s For Classroom Math s For Middle and High ...
desertcart.in
ratisbon's | Document grouping to Lt. Lehmann & WWI veteran Sprenger ...
ratisbons.com
Grouping plants
plantsrescue.com
ratisbon's | WW1 - Medical uniform grouping for a Hauptmann d.R ...
ratisbons.com
Grouping plants
plantsrescue.com
NH Public Schools | NH Department of Education
my.doe.nh.gov
Grouping plants
plantsrescue.com
Grouping plants
plantsrescue.com
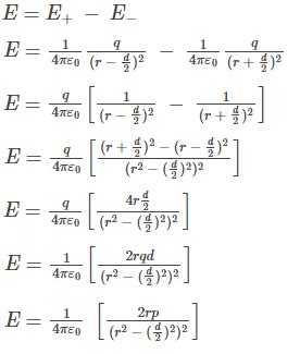
Potential and Field Due to Dipole - Physics Optional Notes for UPSC PDF ...
edurev.in
ratisbon's | Olt. Hermann R. - medal & document grouping | DISCOVER ...
ratisbons.com
Grouping plants
plantsrescue.com
Potential and Field Due to Dipole - Physics Optional Notes for UPSC PDF ...
edurev.in
What must be subtracted from the polynomial [tex] f(x)=x^{4}+ 2x^{3 ...
brainly.in
ratisbon's | Waffen-SS Inf.Rgt.6 Urkundengruppe SS-Rottenführer Eggers ...
ratisbons.com
Hero Honda Karizma R - JungleKey.in Image
junglekey.in
Advanced Human Capital Management Software Solutions from JSM – 19 ...
jsmtechnologies.com
If the equation 25x²-kx+9=0 has equal roots then find the value of x ...
brainly.in
Rashi kitne type ke hote he...sare rashi ka nam likhiye....both eng and ...
brainly.in
NATIONAL SERVICE SCHEME
skuniversity.ac.in
Related Searches
Grouping Method Factoring
Factoring by Grouping Worksheet
Example of Factoring by Grouping
Factoring Algebra 1
Factoring by Grouping Formula
Factoring Using Grouping
Factoring Math Problems
Group Factoring
Factoring Algebra 2
Factoring by Grouping Worksheet. Easy
Factoring Polynomials Grouping
Factoring by Grouping Steps
Factoring by Grouping Practice
Factoring by Grouping PDF
Factoring Trinomials Worksheet with Answers
Factoring Step by Step
Factoring Using AC Method
Factor by Grouping Examples
Factoring Properties
Factoring by Grouping Diagram
Factorization by Grouping
Box Method Factoring
Algebraic Factoring
Quadratic Factor by Grouping
Factoring Binomials Worksheet
Solve by Grouping
Factoring 4 Terms by Grouping
Factor by Grouping Calculator
Four Terms Grouping
Understanding Factoring
Factoring by Grouping and General Trinomials
Factoring by Grouping Definition
Factoring Rules Math
Factoring Tutorial
Factoring by Grouping Lesson Plan
Grouping Equation
Factoring by GCF
Factoring Quadrinomials
Grouping Formula for Factoring
ABC Method Factoring
Factoring by Grouping Practice Questions
Factoring Formulas
Grouping Factoring Equation D
How to Factor by Grouping
Different Types of Factoring
Factoring Quadratic Expressions
Factor by Grouping WS
Factor by Grouping Sample
Factor by Grouping Trinomials
Grouping Factoring Worksheet
Search
×
Search
Loading...
No suggestions found