Find Your Style
Women
Men
Accessories
Search for clothing, brands, styles...
×
Women
Men
Accessories
Hakusan Ishikawa
Search
Loading...
No suggestions found
INR Full Form: What is full form of INR?
bankersadda.com
INR extends winning streak
msn.com
KWD to INR conversionDownload it from KWD to INR conversion for free 7.99
durslt.du.ac.in
Value 360 announces it closed Q1 2024-25 with INR 10… | PRmoment.in
prmoment.in
Top 10 Countries Where INR Has the Highest Value in 2025
currentaffairs.adda247.com
Explore the smoothest whiskey collection: Best Scotch under INR 2000
lifestyleasia.com
33000 euro to inr - Claim a ₹300 Bonus Today! Android IOS V- 1.79
tax.lsgkerala.gov.in
BTC to INR Converter, Convert Bitcoin to INR Exchange 2022 - Exchanger24
exchanger24.org
Airtel 499 INR Special Prepaid Plan Price in India - Buy Airtel 499 INR ...
flipkart.com
INR 57 lakhs cleared for TOPS athletes in five sports by Mission ...
thebridge.in
Hakusan Tourism (2023): Best of Hakusan, Japan - Tripadvisor
tripadvisor.in
ISHIKAWA-KEN INSECTARIUM (2026) All You Need to Know BEFORE You Go ...
tripadvisor.in
ISHIKAWA JUMOKU PARK (2025) All You Need to Know BEFORE You Go (with ...
tripadvisor.in
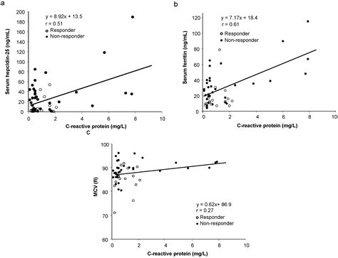
Hepcidin-25, Mean Corpuscular Volume, and Ferritin as Predictors of ...
mdpi.com
MT HAKUSAN (2025) All You Need to Know BEFORE You Go (with Photos ...
tripadvisor.in
HAKUSAN ALPINE PLANTS BOTANICAL GARDEN (2025) All You Need to Know ...
tripadvisor.in
Hepcidin-25, Mean Corpuscular Volume, and Ferritin as Predictors of ...
mdpi.com
Beyond Kanazawa: Discover the Real Ishikawa
japan-guide.com
D51822 LOCOMOTIVE (2025) All You Need to Know BEFORE You Go (with ...
tripadvisor.in
MINAMI-RYUGABANBA VISITOR CENTER (2025) All You Need to Know BEFORE You ...
tripadvisor.in
Relationship between the Surface Roughness of Material and Bone Cement ...
mdpi.com
ISHIKAWA HAKUSANROKU FOLK MUSEUM (2025) All You Need to Know BEFORE You ...
tripadvisor.in
Roots of Ishikawa Museum (Hakusan) - All You Need to Know BEFORE You Go
tripadvisor.in
NAGAI RYOKAN (Hakusan) - Onsen Ryokan Reviews & Photos - Tripadvisor
tripadvisor.in
OLD KAGAICHINOMIYA STATION (2025) All You Need to Know BEFORE You Go ...
tripadvisor.in
TORIGOE RURAL CULTURE LORE MUSEUM (2025) All You Need to Know BEFORE ...
tripadvisor.in
MEOTOIWA ONSEN RAKUYO (2026) All You Need to Know BEFORE You Go (with ...
tripadvisor.in
SUZUOKI, Hakusan - Restaurant Reviews, Phone Number & Photos - Tripadvisor
tripadvisor.in
HAKUSAN SHIRAMINE NATURE SCHOOL (2025) All You Need to Know BEFORE You ...
tripadvisor.in
SHISHIKU KOGEN PARAGLIDING SCHOOL (2026) All You Need to Know BEFORE ...
tripadvisor.in
SHISHIKU KOGEN PARAGLIDING SCHOOL (2026) All You Need to Know BEFORE ...
tripadvisor.in
〜Bass & Voice〜Sho Amano with Riku AkazakiAt Ishikawa HakusanO.A ...
allevents.in
MIKAWA ONSEN YASUMARU NO YU (2025) All You Need to Know BEFORE You Go ...
tripadvisor.in
International Trade Settlement in Indian Rupee (INR)
taxguru.in
Hakusan Travel Guide | Hakusan Tourism - KAYAK
kayak.co.in
Hakusan Tourism (2023): Best of Hakusan, Japan - Tripadvisor
tripadvisor.in
ICHIRINO SANSO KERIE (Hakusan) - Onsen Ryokan Reviews & Photos ...
tripadvisor.in
The Site of Matto Castle Hommaru (Hakusan) - All You Need to Know ...
tripadvisor.in
CHIYONIZUKA TSUKETARI DOHYOSEKI (2025) All You Need to Know BEFORE You ...
tripadvisor.in
Hakusan Shrine (Heisenji-Hakusan Shrine), Katsuyama - Tripadvisor
tripadvisor.in
Charismatic Ishikawa captains Japan to emphatic start in Nagoya
en.volleyballworld.com
Hakusan Shrine, Hiraizumi-cho - Tripadvisor
tripadvisor.in
Ishikawa Bridge (Kanazawa) - All You Need to Know BEFORE You Go
tripadvisor.in
Buy Ishikawa Blank Templates: Blank Templates For Root Cause Analysis ...
desertcart.in
Buy ¿ Cómo realizar un diagrama de Ishikawa ?: Metodología paso a paso ...
desertcart.in
ICHIRINO SANSO KERIE (Hakusan) - Onsen Ryokan Reviews & Photos ...
tripadvisor.in
Hakusan Shrine (Heisenji-Hakusan Shrine), Katsuyama - Tripadvisor
tripadvisor.in
logo_1200_x_628_px.jpg?v=1720118200
artrise.in
Epitaxial Non c-Axis Twin-Free Bi2Sr2CaCu2O8+δ Thin Films for Future ...
mdpi.com
Relationship between the Surface Roughness of Material and Bone Cement ...
mdpi.com
India and Malaysia can now trade in Indian rupee
currentaffairs.adda247.com
THE 10 BEST Things to Do Near Ishikawa Jumoku Park (2025)
tripadvisor.in
NANRYU SANSO (Hakusan) - Lodge Reviews & Photos - Tripadvisor
tripadvisor.in
Relationship between the Surface Roughness of Material and Bone Cement ...
mdpi.com
Epitaxial Non c-Axis Twin-Free Bi2Sr2CaCu2O8+δ Thin Films for Future ...
mdpi.com
Hakusan Shrine, Konan - Tripadvisor
tripadvisor.in
HAKUSANEN (Hakusan) - Onsen Ryokan Reviews, Photos, Rate Comparison ...
tripadvisor.in
Rupee Depreciation: Will India's Exports Stand To Gain? | Investing.com ...
in.investing.com
Ishikawa-led Japan make history with first VNL semifinal appearance
en.volleyballworld.com
Higashiyama Hakusan Shrine, Takayama - Tripadvisor
tripadvisor.in
How Indian Rupee Stands Against Other Major Currencies
indiatimes.com
H.U ”KOKI” Memorial Live… & K.Hida 74th Anniversary Of Birth, ライブスポット ...
allevents.in
Marvel
thepeppystore.in
Indian Financial System, 5e by H R Machiraju
vikaspublishing.com
山立会
yamadachikai.thebase.in
USD/INR Breaking Imp. Trendline; Is Nifty 50 Topping Out? | Investing ...
in.investing.com
Welingkar Institute of Management - NewsWire
newswire.nokomis.in
Frases de Kaoru Ishikawa | Frases de famosos
citas.in
Kansai-Hokuriku Area 7 Days Pass + FREE Have Fun in Ishikawa Pass 1 ...
pelago.com
Contact – valientecaps
valientecaps.com
Heisenji Hakusan Jinja, katsuyama, Japan - Top Attractions, Things to ...
hellotravel.com
Buy Gold Bangle Online | Gold Bangle by Manubhai.
manubhai.in
大西つねきさん お話し会と座談会, 白山市労働会館, Kanazawa, 27 September 2024 | AllEvents.in
allevents.in
Relationship between the Surface Roughness of Material and Bone Cement ...
mdpi.com
NISHIYAMA RYOKAN (Hakusan) - Ryokan Reviews & Photos - Tripadvisor
tripadvisor.in
1 million dong in indian rupees - Brainly.in
brainly.in
Heisenji Hakusan Jinja, katsuyama, Japan - Top Attractions, Things to ...
hellotravel.com
Online Forex Trading And Currency Trading In India
samco.in
About Us – Delhi Watch Company
delhiwatchcompany.com
AKARI (2026) All You Need to Know BEFORE You Go (with Photos) - Tripadvisor
tripadvisor.in
Sri Lanka and Russia in talks to use the rupee in foreign trade
currentaffairs.adda247.com
「モグラの夢とマー坊レコ発 1Day ツアー」, ライブスポット 夕焼け, Kanazawa, 10 May 2025 | AllEvents
allevents.in
International Trade Settlement in Indian Rupee (INR)
taxguru.in
Custom Jewellery
thewyw.com
Webinar | Gaads Learning
gaads.in
THE 10 BEST Restaurants Near Kanazawa Gyokusen-tei
tripadvisor.in
Call for Reservation
apps.roseatehotels.com
All – The Clownfish
theclownfish.com
Buy Gold Set Online | Gold Set by Manubhai.
manubhai.in
Bureau Of Indian Standards
crsbis.in
Buy Absolute Anticoagulant Journal: A Comprehensive logbook for ...
desertcart.in
Luthra And Luthra, Atozlearn Edutech Private Limited, Ixambee, Fundraise
livelaw.in
Priyansh Saree
ssptex.com
Next tranche of Bharat Bond ETF opens tomorrow: 10 things on NFO | Mint
livemint.com
editorials: Latest News & Videos, Photos about editorials | The ...
economictimes.indiatimes.com
Did You Know About India's Rs 10,000 Rupee Note
indiatimes.com
Buy Antique Set Online | Antique Set by Manubhai.
manubhai.in
USD/INR at Record High! Why RBI is Failing to Curb the Rupee’s Fall ...
in.investing.com
Ishikawa Mayu - Volleyball Olympic Games Paris 2024 - Players
en.volleyballworld.com
Buy INR's Farm Fresh Premium Pellets Food for Rabbits | 1 KG Advanced ...
amazon.in
Buy Diamond Necklace Online | Diamond Set Online Manubhai Jewellers
manubhai.in
Gold Necklace Set for Women | Buy Gold Necklace Set Online India ...
manubhai.in
Gold Necklace Set for Women | Buy Gold Necklace Set Online India ...
manubhai.in
Ducati – Motoaggrandize
motoaggrandize.in
Hinged belt conveyors | KABELSCHLEPP INDIA
tsubaki-kabelschlepp.com
PIXSTOX
pixstox.in
Logo
apventerprises.in
Toggle navigation
episteme10.hbcse.tifr.res.in
SonicWALL Our Products - SSM Networks Website
ssmnetworks.in
Light Weight Gold Jewellery with price | Daily Wear Gold Jewellery Online
manubhai.in
ICMR - National Institute of Nutrition, India
nin.res.in
Corporate T Shirt – Vanji Vogue
vanjivogue.com
Logo
atulcasting.in
All you need to know about Mukesh Ambani's sister, Nina Kothari
lifestyleasia.com
Rate (INR)
erp.kohinoorpune.com
Buy Real Diamond Set Online | Real Diamond Set by Manubhai.
manubhai.in
In charts: As the rupee sinks touches 80 against the dollar, what does ...
scroll.in
Ayat Silver Nosepins
wizzowl.com
Inflation or disinflation - Where are dollar & rupee moving? - The ...
economictimes.indiatimes.com
Related Searches
Hakusan
Hakusan National Park
Hakusan Japan
Kanazawa
Kanazawa Ishikawa Japan
Komatsu Ishikawa Japan
Ishikawa Japan Map
Hakusan Kimura
MT Ishikawa
Hakusan City
Aomori Japan Map
Mount Haku
Ishikawa Prefecture Japan
Hakusan Street
Ishikawa Go
Ishikawa Okinawa Japan
Ishikawa Noto
Nomi City
Hakusan Station
Hakusan Ichige
Hakusan Hike
Ishikawa Province Japan
Xenon Ishikawa
Hakusan Mountain
Hakusan Super Rindou
Hakaosan
Kumamoto Japan Map
Ishikawa Flag
Hakusan China Made in Japan
Ishikawa Place
Hakusan Mountain Climb
Where Is Ishikawa Japan
Hakusan MT Ferrule
Hakusan Kozakura
Ishikawa Gifu
Hakusan Road Signs
Ishikawa
Ihiskawa
Ishikawa Freeport Blvd
Ishikawa Region
Ishikawa Landscape
Hakusan Nakahanba
Oshino Ishikawa Prefecture
Hakusan Daikokuten
Wajima City Japan
Rikusan
Kaga Ishikawa
Hakusan Sake Napa Valley
Ishikawa Akashi
Ozuchi Ishikawa Prefecture
Search
×
Search
Loading...
No suggestions found