Find Your Style
Women
Men
Accessories
Search for clothing, brands, styles...
×
Women
Men
Accessories
Hilbert Matrix
Search
Loading...
No suggestions found
INR Full Form: What is full form of INR?
bankersadda.com
Buy Matrix Solid Bobble Trimmed Throw from Home Centre at just INR 1399.0
homecentre.in
Buy Matrix Gianni Double Bed Comforter from Home Centre at just INR 5999.0
homecentre.in
Buy Matrix Solid Bobble Trimmed Throw from Home Centre at just INR 1399.0
homecentre.in
Buy Matrix Pompom Solid Throw- 180X150 cms from Home Centre at just INR ...
homecentre.in
Crypto Authentication System Using Hilbert Matrices : V Krishna Raja ...
amazon.in
Gaussian Elimination
archive.nptel.ac.in
Buy $J$ Contractive Matrix Functions, Reproducing Kernel Hilbert Spaces ...
amazon.in
Q38. the pauli matrices for three spin- 2 particles are 6,.\u00f5,and ...
scoop.eduncle.com
A Haptic Model for the Quantum Phase of Fermions and Bosons in Hilbert ...
mdpi.com
Kernel methods and Reproducing Kernel Hilbert Space (RKHS) | Personal ...
borisburkov.net
Correlogram based Visualize Correlation Matrix in R | S-Logix
slogix.in
Find rank of matrix in R
mrinalcs.github.io
Correlogram based Visualize Correlation Matrix in R | S-Logix
slogix.in
Inner Product space-Matrices
ece.poriyaan.in
Correlogram based Visualize Correlation Matrix in R | S-Logix
slogix.in
HN-Part1: Interface a LED matrix and display a number on the matrix.
vlabs.iitkgp.ac.in
Eigenvalue of a matrix by jacobi method for symmetric matrix - Solved ...
eee.poriyaan.in
ஓர் அணியின் தரம் (Rank of a matrix) - வரையறை, தேற்றம், நிரூபணம் ...
brainkart.in
Buy Orthogonal Polynomials and Random Matrices: A Riemann-Hilbert ...
amazon.in
Similarity Transformation and Orthogonal Transformation - Theorem ...
mech.poriyaan.in
Correlogram based Visualize Correlation Matrix in R | S-Logix
slogix.in
Properties of eigen values - Matrices
mech.poriyaan.in
Matrices Formula: Definition, Properties, Types, Solution, Examples
pw.live
Find the matrix A2, where A= [aij] is a 2 x 2 matrix whose elements are ...
iqclasses.in
Eigenvalue of a matrix by jacobi method for symmetric matrix - Solved ...
eee.poriyaan.in
Eigenvalue of a matrix by jacobi method for symmetric matrix - Solved ...
eee.poriyaan.in
Questions and Answers - Solved Example Problems | Matrices
mech.poriyaan.in
Eigenvalue of a matrix by jacobi method for symmetric matrix - Solved ...
eee.poriyaan.in
Eigenvalue of a matrix by jacobi method for symmetric matrix - Solved ...
eee.poriyaan.in
Types of Matrices - Business Mathematics and Statistics - B Com PDF ...
edurev.in
Matrices: Vector - Worked Solved Examples
mech.poriyaan.in
Eigenvalue of a matrix by jacobi method for symmetric matrix - Solved ...
eee.poriyaan.in
Properties of eigen values - Matrices
mech.poriyaan.in
Questions and Answers - Solved Example Problems | Matrices
mech.poriyaan.in
Eigenvalue of a matrix by jacobi method for symmetric matrix - Solved ...
eee.poriyaan.in
Inverse Matrix Formula: Examples, Properties, Method
pw.live
[Solved] A word is represented by only one set of numbers as given in ...
cracku.in
Questions and Answers - Solved Example Problems | Matrices
mech.poriyaan.in
Matrices: Vector - Worked Solved Examples
mech.poriyaan.in
Eigenvalue of a matrix by jacobi method for symmetric matrix - Solved ...
eee.poriyaan.in
Properties of eigen values - Matrices
mech.poriyaan.in
Let A be an mxn matrix and B an nxm matrix.It is given that determinant ...
edurev.in
Questions and Answers - Solved Example Problems | Matrices
mech.poriyaan.in
(x) If A and B are symmetric matrices of the same order, then AB - BA ...
iqclasses.in
Q4. (i) For what value of k, the matrix has no inverse? (ii) (iii ...
appliedmaths.in
Main page
home.iitk.ac.in
Let A be an mxn matrix and B an nxm matrix.It is given that determinant ...
edurev.in
Q19. (i) Find a 2 x 2 matrix B such that B (ii) Solve the matrix equation
appliedmaths.in
Properties of eigen values - Matrices
mech.poriyaan.in
HN-Part1: Interface a LED matrix and display a number on the matrix.
vlabs.iitkgp.ac.in
Inner Product space-Matrices
ece.poriyaan.in
Questions and Answers - Solved Problems | Integral Calculus | Matrices ...
mech.poriyaan.in
Q11. Find the adjoint of the following matrices: Also verify that A ...
appliedmaths.in
Q11. Find the adjoint of the following matrices: Also verify that A ...
appliedmaths.in
Tensor-Based Algorithms for Image Classification
mdpi.com
[Solved] A word is represented by only one set of numbers as given in ...
cracku.in
Transform each of the following matrices into their reduced row echelon ...
appliedmaths.in
Questions and Answers - Solved Example Problems | Matrices
mech.poriyaan.in
Inner Product space-Matrices
ece.poriyaan.in
A Haptic Model for the Quantum Phase of Fermions and Bosons in Hilbert ...
mdpi.com
Keanu Reeves, Priyanka Chopra’s ‘Matrix 4’ Is Officially Titled ‘The ...
in.mashable.com
Q17. Find the inverse of each of the following matrices: Also verify ...
appliedmaths.in
நேர்மாறு அணிகளின் பண்புகள் (Properties of inverse of matrices) - வரையறை ...
brainkart.in
Similarity Transformation and Orthogonal Transformation - Theorem ...
mech.poriyaan.in
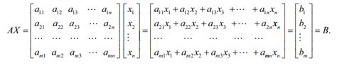
நேரியச் சமன்பாட்டுத் தொகுப்பின் அணி வடிவம் (System of Linear Equation ...
brainkart.in
ஓர் அணியின் தரம் (Rank of a matrix) - வரையறை, தேற்றம், நிரூபணம் ...
brainkart.in
Let A be an mxn matrix and B an nxm matrix.It is given that determinant ...
edurev.in
நேர்மாறு அணிகளின் பண்புகள் (Properties of inverse of matrices) - வரையறை ...
brainkart.in
Questions and Answers - Solved Problems | Integral Calculus | Matrices ...
mech.poriyaan.in
Matrices PPT Maths Class 12
edurev.in
Eigenvalue of a matrix by jacobi method for symmetric matrix - Solved ...
eee.poriyaan.in
நேரியச் சமன்பாட்டுத் தொகுப்பின் அணி வடிவம் (System of Linear Equation ...
brainkart.in
Friday Night Social Ballroom Dance at The Crystal! , W3307 County Road ...
allevents.in
Questions and Answers - Solved Problems | Integral Calculus | Matrices ...
mech.poriyaan.in
Linear Algebra: GATE 2012 MA Matrices
gateoverflow.in
அணிகள்(Matrices) - வரையறை, பொது வடிவம், தேற்றம், விளக்க எடுத்துக்காட்டு ...
brainkart.in
Questions and Answers - Solved Problems | Integral Calculus | Matrices ...
mech.poriyaan.in
Matrices - Engineering Mathematics - Engineering Mathematics PDF Download
edurev.in
Q8. (i) If A is a non-singular matrix, then show that |A-1| = 1/|A| (ii ...
appliedmaths.in
Salsa Lesson for Beginners + Social Dance featuring Latin & Ballroom ...
allevents.in
Let A be an mxn matrix and B an nxm matrix.It is given that determinant ...
edurev.in
Transform each of the following matrices into their reduced row echelon ...
appliedmaths.in
ஓர் அணியின் தரம் (Rank of a matrix) - வரையறை, தேற்றம், நிரூபணம் ...
brainkart.in
Q8. (i) If A is a non-singular matrix, then show that |A-1| = 1/|A| (ii ...
appliedmaths.in
Virtual Labs
cse18-iiith.vlabs.ac.in
அணிகள்(Matrices) - வரையறை, பொது வடிவம், தேற்றம், விளக்க எடுத்துக்காட்டு ...
brainkart.in
சமபடித்தான நேரியச் சமன்பாடுகளின் தொகுப்பு (Homogeneous system of linear ...
brainkart.in
Inner Product space-Matrices
ece.poriyaan.in
Business Mathematics | Unit 1 Matrix and Determinants | B.COM 4th Sem ...
thetreasurenotes.in
Sub-Spaces
ece.poriyaan.in
Q13. Find the adjoint of the following matrices: Also verify that A ...
appliedmaths.in
சமபடித்தான நேரியச் சமன்பாடுகளின் தொகுப்பு (Homogeneous system of linear ...
brainkart.in
அணிகள்(Matrices) - வரையறை, பொது வடிவம், தேற்றம், விளக்க எடுத்துக்காட்டு ...
brainkart.in
ஓர் அணியின் தரம் (Rank of a matrix) - வரையறை, தேற்றம், நிரூபணம் ...
brainkart.in
நேர்மாறு அணிகளின் பண்புகள் (Properties of inverse of matrices) - வரையறை ...
brainkart.in
Q19. (i) Find a 2 x 2 matrix B such that B (ii) Solve the matrix equation
appliedmaths.in
ஒரு சதுர அணியின் சேர்ப்பு அணி (Adjoint of a Square Matrix) - வரையறை ...
brainkart.in
Questions and Answers - Solved Example Problems | Matrices
mech.poriyaan.in
அணிகள்(Matrices) - வரையறை, பொது வடிவம், தேற்றம், விளக்க எடுத்துக்காட்டு ...
brainkart.in
Hrithik In Swades To Brad Pitt In Matrix, AI Imagines How Stars Would ...
in.mashable.com
Block Matrices
archive.nptel.ac.in
Block Matrices
archive.nptel.ac.in
Contact Rachel Hilbert Agent, Manager and Team | PartyMap
partymap.in
Decorate Cupcakes!, W3307 County Road B, Hilbert, WI, 24 March 2024 ...
allevents.in
Questions and Answers - Solved Problems | Integral Calculus | Matrices ...
mech.poriyaan.in
நிரை நிரல் அணியின் மீதான செயல்முறைகள் மற்றும் அதன் பண்புகள் (Operation ...
brainkart.in
Buy Hilbert Transform Applications in Mechanical Vibration Book Online ...
amazon.in
Q3 If A is a column matrix with 5 rows, then what type of matrix is a ...
iqclasses.in
நேரியச் சமன்பாட்டுத் தொகுப்பின் அணி வடிவம் (System of Linear Equation ...
brainkart.in
ஓர் அணியின் மீதான தொடக்கநிலை உருமாற்றங்கள் (Elementary transformations ...
brainkart.in
Q19. (i) Find a 2 x 2 matrix B such that B (ii) Solve the matrix equation
appliedmaths.in
Hilbert Healthcare — Teletype
teletype.in
Consider Mxn(R) the set of n x n matrices with real entries. Define T ...
brainly.in
பயிற்சி 1.8: சரியான விடையைத் தேர்ந்தெடுக்க - அணிகள் மற்றும் ...
brainkart.in
Buy MATRIX Printed Cotton 3-Pc. King Size Bedsheet Set - 240 x 274 cm ...
homecentre.in
Questions and Answers - Solved Problems | Integral Calculus | Matrices ...
mech.poriyaan.in
Mathematical Logic: Matrices
gateoverflow.in
Questions and Answers - Solved Problems | Multiple Integrals | Matrices ...
mech.poriyaan.in
ஓர் அணியின் தரம் (Rank of a matrix) - வரையறை, தேற்றம், நிரூபணம் ...
brainkart.in
Related Searches
Hilbert Transform Table
Hankel Matrix
Hilbert Envelope
David Hilbert Mathematician
Polynomial Matrix
Hilbert Space Examples
Block Matrix
Ill-Conditioned Matrix
Inverse Matrix MATLAB
Hilbert Cube
What Is a Hilbert Matrix
Hilbert Formula
Det Matrix
Hilbert Curve
Matrix Construct
Math Matrix Examples
Matrix Calculus
Quantum Hilbert Space
Determinant of Hilbert Matrix
Hilbert Space Symbol
Gramian Matrix
Hilbert Geometry
Hilb Matrix
Residual Matrix
Hilbert Norm
Hilbet
Hilbert Sort
Encryption Matrix
Matriz De Hilbert
Hilbert All RGB
Sheaf Matrix
Hilbert Matrices
Example Hilbert Matrix
Hilbert Matrix of 3
Squaring Matrices
Square Matrix
Cuahcy Hilbert Matrix
Matrix Inverse Modulo
Inverse Hilbert 4x4 Matrix
Inverse of Coefficient Matrix
Hilbert 曲线
Inverse of a 6X6 Matrix
3X3 Hilbert Matrix
EJ Hilbert
Hilp Matrix
Mathematica Matrix
System of Equations Augmented Matrix
Hilbert Nullstellensatz
Hilbert Mapping
Spatial Matrix
Search
×
Search
Loading...
No suggestions found