Find Your Style
Women
Men
Accessories
Search for clothing, brands, styles...
×
Women
Men
Accessories
Hmax R Max Formula
Search
Loading...
No suggestions found
Max Healthcare — PT INR report
consumercomplaints.in
Airtel 48 INR 2G Data Prepaid Plan Price in India - Buy Airtel 48 INR ...
flipkart.com
Max Healthcare raises INR 1200 Cr through Qualified Institutions ...
healthcareradius.in
Micropoint PT INR Meter, Finger Prick Blood Test, Rapid 2 Min Results ...
amazon.in
VietJet is back with 0 INR ticket that costs 15k return - The Airline Blog
airlineblog.in
Aviation: SpiceJet pays penalty of INR 10 lakh for training 737 Max ...
travel.economictimes.indiatimes.com
Convert INR To USD: Your Guide On US Currency Exchange Rate
traveltriangle.com
Buy PT INR Log Book Printable, Inr Tracker, INR Anticoagulant ...
etsy.com
nexon ev max: Tata Motors launches Nexon EV MAX at INR 17.74 lakh: All ...
economictimes.indiatimes.com
Maharashtra State Tourism to Offer Travel Packages Starting INR 990 ...
hellotravel.com
1r to inr Android IOS V- 8.68
meeting.lsgkerala.gov.in
HUL to Deploy INR 2,000 Crore to Scale Premium Manufacturing
stylespeak.com
Indian domestic formulations: An INR ~5.5 trillion market by 2034
beta.avendus.com
ZET to INR Calculator | Convert Zetarium to INR at Live Rates | BingX
bingx.com
playstation Rs.1000 INR Gift Card Price in India - Buy playstation Rs ...
flipkart.com
Tata Motors introduces the new Nexon EV MAX at INR 17.74 lakh - News ...
businesstoday.in
INR stock | inr stock forecast
pep.moey.gov.jm
Convert INR To USD: Your Guide On US Currency Exchange Rate
traveltriangle.com
Buy MAX Cropped Denim Dungarees with Frayed Hems from Max at just INR ...
maxfashion.in
Menu at INR Food Truck, Chennai
restaurant-guru.in
A projectile time of flight t is related to horizontal range by the (gt ...
brainly.in
The maximum height of a projectile is half of its range on the ...
brainly.in
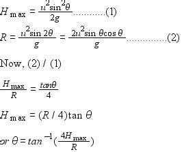
if R is the horizontal range for inclination and H is the height ...
brainly.in
Derive the formula for the range andmaximum height achieved by a ...
brainly.in
Cómo ver en directo online el Arsenal-Chelsea en DAZN y HBO Max ...
espanol.eurosport.com
Who won F1 driver's championship? Final 2025 standings as Lando Norris ...
sportingnews.com
F1 GP de Qatar, hoy en directo: victoria para Max Verstappen con Sainz ...
lavanguardia.com
X-Rays – Production, Properties, Wavelength and Uses|Chemistry Page
chemistrypage.in
Formula for hmax of projectile - Brainly.in
brainly.in
prove that the max horizontal range is four times the max height ...
brainly.in
Einstein's Photoelectric Equation, Threshold wavelength & Frequency | AESL
aakash.ac.in
Range max height and angle of projection kinematics formula - Brainly.in
brainly.in
The temperature (t) dependence of the equilibrium constant (k) of a ...
scoop.eduncle.com
LIVORKA IronPulse Capsules, Iron Pulse Capsules Max Formula, India | Ubuy
ubuy.co.in
Pamprin Maximum Strength Max Formula, with | Ubuy India
ubuy.co.in
What is the speed u of the object at the height of(1/2)hmax? - Home ...
ask.learncbse.in
Repel Insect Repellent Sportsmen Max Formula Pump India | Ubuy
ubuy.co.in
Pamprin Max Formula - Fast-Acting Menstrual Pain India | Ubuy
ubuy.co.in
Prothrombin Time Test (With INR) - All You Need to Know About | Max Lab
maxlab.co.in
In limit state design method, the moment of resistance for a balanced ...
edurev.in
LIVORKA IronPulse Capsules, Iron Pulse Capsules Max Formula, India | Ubuy
ubuy.co.in
LIVORKA IronPulse Capsules, Iron Pulse Capsules Max Formula, India | Ubuy
ubuy.co.in
DROGO Premium Ergonomic Office Chair for Work from Home, High Back ...
amazon.in
A ball is thrown vertically upwards with a velocity of 40 m/s ...
brainly.in
MAX Function (Maximum Value)
tutorjoes.in
Linear Quantization — Teletype
teletype.in
iPhone 16, iPhone 16 Pro And iPhone 16 Pro Max: India Price, Offers ...
timesnownews.com
Warfarin Overview - Active Ingredient - RxReasoner
rxreasoner.com
Magnesium Effect: Can One Mineral Really Be The Answer To Everything ...
grazia.co.in
iPhone 16 128 GB: 5G Mobile Phone with Camera Control, A18 Chip and a ...
amazon.in
Apple’s First Foldable iPhone May Launch Along With iPhone 18 In 2026 ...
techlusive.in
Warfarin Sodium 129-06-6 | Tokyo Chemical Industry (India) Pvt. Ltd.
tcichemicals.com
Max Function - Argmax and Max Calculus Mark Schmidt January 6, 2016 1 ...
studocu.com
OnePlus 15 rumour roundup: India launch, price, specs and more to expect
msn.com
HP OMEN 16 Intel Laptop | HP® India
hp.com
Precision Treatment in ACS–Role Fibrinolysis | Encyclopedia MDPI
encyclopedia.pub
Indian Rupee against US Dollar since 1947 - Insights
news.faltupana.in
Buy Fiddlys Wooden Money/Piggy Bank, Money Coin Box for Kids/Children ...
amazon.in
Relumins Advanced White Collagen Max Formula Chewable... – Skin ...
skinsolutionstore.in
Entropy
home.iitk.ac.in
Cómo ver en directo online el Arsenal-Chelsea en DAZN y HBO Max ...
espanol.eurosport.com
Buy Vivo V50 5G 256 GB, 8 GB RAM, Titanium Grey, Mobile Phone at ...
reliancedigital.in
Thirumal Alagan
bikeadvice.in
if r value is less than 1 then finding the sum of infinite geometric ...
brainly.in
Relation Between Heat capacity at Constant Volume (CV) & Constant ...
aakash.ac.in
What annual payment will discharge a debt of rs 770 due in 5 years, the ...
brainly.in
Warfarin R-Isomer | CAS No- 5543-58-8 | NA
chemicea.com
Zakat Explained With Simple Calculations | Zakat Vs Income Tax - Learn ...
learnaboutislam.in
inlazer Boost Max _Supplement Weight Gain Capsule | Protein Supplement ...
flipkart.com
Calendario UCI WorldTour 2026: Carreras, fechas y cómo ver con ...
espanol.eurosport.com
Max Verstappen world champion of Formula 1 2022
lifestyleasia.com
Torque Formula- Definition, Units, Applications, Examples
adda247.com
Convert Currency in Number to Words (Indian Rupees) - Version 2 | Live ...
livetolearn.in
Deduce the dimensional formula for R, using ideal gas equation PV = nRT ...
ask.learncbse.in
GP Formula- Sum of n Terms, Sum of Infinite GP
adda247.com
TVS Suzuki Max 100R Price, Images, Colours, Mileage, Specs & Reviews
bikesmedia.in
Buy Repel Insect Repellent Sportsmen Max Formula Spray Pump 40% DEET, 6 ...
ubuy.co.in
section formula in 3 dimension in maths: Definition, Types and ...
aakash.ac.in
TVS MAX 100R price, specs, mileage, colours, photos and reviews ...
bikes4sale.in
Buy Repel Insect Repellent Sportsmen Max Formula Spray Pump 40% DEET, 6 ...
ubuy.co.in
Buy Official Creality K1 Max 3D Printer, 600mm/s Max High-Speed 3D ...
desertcart.in
10 Highest Currencies In The World With Strongest Currency Value ...
goodreturns.in
Used 2003 model TVS MAX 100R for sale in Coimbatore. ID 59607. Black ...
bikes4sale.in
Formula-1 Racing: Red Bull driver Max Verstappen wins F1 Japanese Grand ...
currentaffairs.adda247.com
USD/INR Price Prediction
news.investingcube.com
GP Formula- Sum of n Terms, Sum of Infinite GP
adda247.com
Indian Rupee Symbol (₹): Facts about the official Currency of India
indiatimes.com
Why to Choose Max Life Smart Term Plan
taxguru.in
Buy Asdfger Products Online at Best Prices in India | Ubuy
ubuy.co.in
Used Suzuki Max R 100 R 100 1999 Model (PID-1415567587) Bike for Sale ...
droom.in
STAMP PAPER (INR 500) • Benir e-Store Solutions
benir.in
New 100 Rupee Note announced by RBI; first look of new currency with ...
zeebiz.com
PlateVet Maxx Syrup
vetallies.in
World Currency to Indian Rupee Exchange Rates,Foreign Currency Value in ...
goodreturns.in
Summation Formula, Definition, Solved Examples
pw.live
Used Suzuki Max R 100 R 100 1999 Model (PID-1415367821) Bike for Sale ...
droom.in
C.R Formula, History, Proposal, Significance & Failure of Rajaji Formula
studyiq.com
Contact - Nanavati Max Super Speciality Hospital, in Vile Parle West ...
bajajfinservhealth.in
Minimum and maximum stock | Knowledge Base
ntep.in
Buy Red Bull Racing - Official Formula 1 Merchandise - Max Verstappen ...
desertcart.in
Hospital Management Software | Billing Prints | Formats
softcure.in
Buzlon Clear Wart Max Formula Wart Cure System Price in India - Buy ...
flipkart.com
Orbital Velocity Formula: Definitions, Examples, Derivations ...
collegesearch.in
C R Formula 1944, Proposals, Reactions, Failure, UPSC Notes
vajiramandravi.com
Spec Comparo: Toyota Hilux Vs Isuzu D-Max V-Cross - Overdrive
overdrive.in
Ramjas College: Courses, Fees, Admissions, Cutoffs, Reviews
collegesearch.in
Panel Side Sill, RH
skhgroup.co.in
Used Suzuki Max R 100 R 100 1999 Model (PID-1415367821) Bike for Sale ...
droom.in
Torque Formula- Definition, Units, Applications, Examples
adda247.com
Quittungen, mit Blaupapier, A6 quer, 1x 100 Blatt | SIGEL
sigel-office.com
Quantitative Aptitude: GATE ECE 2021 | GA Question: 1
gateoverflow.in
Buy Aidance Terragen HG Formula Max – Natural Gentle Cream for Skin ...
desertcart.in
MADHAVI STATIONERS Luxor Schneider LX Max Liquid ink Roller pen - 0.5mm ...
amazon.in
A Comprehensive Spectroscopic Analysis of the Ibuprofen Binding with ...
mdpi.com
F1 launches 2024: All the cars and liveries revealed ahead of new ...
skysports.com
A metal block has dimensions 10cm multiply by 5 cm multiply 2cm and the ...
brainly.in
Buy Repel Insect Repellent Sportsmen Max Formula Spray Pump 40% DEET, 6 ...
ubuy.co.in
Photoelectric Effect: Definition & Experimental Study | AESL
aakash.ac.in
TVS MAX 100 R - TVS SUZUKI MAX 100 Customer Review - MouthShut.com
mouthshut.com
This gold and diamond-encrusted iPhone 11 Pro Max will cost you a ...
gqindia.com
Related Searches
INR Ratio
PT/INR Formula
INR Equation
Warfarin Dose INR
PT/INR Table
INR vs PTT
INR Meaning
PT to INR Conversion
INR Scale
INR Calculation
INR Lab Test
Blood INR Chart
INR Index
Normal INR Value
INR Computation
INR Calculator
INR Formula Example
INR Blood Test Machine
INR Dosing
INR Goal Chart
INR Normal Range Chart
INR Form
Prothrombin Time and INR Chart
1 INR
Coumadin INR Dosing Chart
What Is INR
INR Hematologia
High INR
Isi INR
aPTT and INR
INR Medical Term
Med Math Formulas
How to Calculate INR
Normal INR Levels Chart
INR Values
INR Explained
INR Stands For
Therapeutic INR Level
INR Word
PT/INR Sheets
Elevated PT/INR
INR Diagram
International Normalized Ratio INR
INR Medical Abbreviation
Manual INR Calculation
INR Calculo
INR 5
INR Adjust
USD to INR Formula in Excel
How Is INR Calculated
Search
×
Search
Loading...
No suggestions found