Find Your Style
Women
Men
Accessories
Search for clothing, brands, styles...
×
Women
Men
Accessories
Hobt Dcc Coupling
Search
Loading...
No suggestions found
How do I buy Bitcoin in INR on Binance? | Binance Blog
binance.com
This Hidden Library Offers Membership For INR 200 & Houses Over 4,000 ...
lbb.in
Hydraulic Deep Drawing Press Machine Products at price INR 550000 in ...
hydraulicspress.in
Flanges Leak Testing Coupling Products at price INR 11000 in Pune ...
sealantent.in
Flanges Leak Testing Coupling Products at price INR 11000 in Pune ...
sealantent.in
Optimization of Critical Parameters for Carbodiimide Mediated ...
mdpi.com
1-(3-Dimethylaminopropyl)-3-ethylcarbodiimide Hydrochloride | 25952-53 ...
tcichemicals.com
1-Hydroxybenzotriazole 80029-43-2 | Tokyo Chemical Industry (India) Pvt ...
tcichemicals.com
SKF
skf.com
Anticoagulation in Acute Pulmonary Embolism: Which Drug? How Long ...
universimed.com
Category | Hydromatik - Connections Par Excellence
hydromatik.co.in
PHE 1100TGRSB - Couplings | SKF
skf.com
Report - Afu gu gufyhcxx7 - Chemistry Investigatory Project Study Of ...
studocu.com
Power transmission solutions | SKF
skf.com
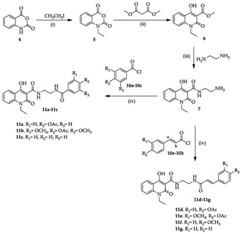
Novel Multi-Target Agents Based on the Privileged Structure of 4 ...
mdpi.com
Development and Preclinical Evaluation of [68Ga]BMSH as a New Potent ...
mdpi.com
Chemistry 7 - N,N- Dicyclohexylcarbodiimide( DCC), Heterocyclization ...
studocu.com
SCHMIDT COUPLING ASSY
technocnc.in
Comparative Study of Resin and Silane Coupling Agents Coating ...
mdpi.com
Universal coupling assembly drawing - Brainly.in
brainly.in
N,O-Dimethylhydroxylamine Hydrochloride | 6638-79-5 | Tokyo Chemical ...
tcichemicals.com
Full Gear Coupling with Separate End Plates in India,Full Gear Coupling ...
prcomponents.com
Tutorial: How to make an Arduino / ESP32 wireless DCC decoder?
loco.engineering
Breathing air couplings | CEJN (IN)
cejn.com
Quick connect couplings and solutions | CEJN (IN)
cejn.com
Break away couplings, hydraulic couplings, agri couplings, farm ...
unitread.co.in
Industrial Coupling - Flexible Spacer Coupling Manufacturer from Navsari
asarengineering.in
Couplings - Fenner Flexible Gear Couplings Manufacturer from Chennai
powermechengineering.in
KTR Couplings Manufacturers, Exporters & Suppliers In India
couplings.in
Screw couplings, hpsc series hydraulic couplings, flat face couplings ...
unitread.co.in
Sheaves - MARTIN SPROCKET & GEAR - PDF Catalogs | Technical ...
pdf.directindustry.com
Screw couplings, hydraulic couplings, flat face couplings, agri ...
unitread.co.in
HRC Coupling | India HRC Coupling Manufacturer
couplings.in
HRC Coupling | India HRC Coupling Manufacturer
couplings.in
Affordable Flexible Gear Couplings Manufacturer & Supplier in Ahmedabad
kevyagearcouplingindia.com
Buy Hydraulic Quick Coupling Pressure Decompression Relief Release Tool ...
ubuy.co.in
KTR Coupling Manufacturer | KTR Coupling in Ahmedabad
couplings.in
Probots 10mm to 10mm Flexible Coupler for 3D Printer CNC Shaft Metal ...
probots.co.in
Makita Accessories ME08121040 Quick coupling
toolnation.com
Jaw Couplings - KTR Rotex Coupling GR-Series Wholesale Trader from Chennai
dynamictradingcompany.in
Jaw Couplings-CBC India
cbc.in
C(sp2)-C(sp3) Cross-Coupling Reactions for Drug Discovery | Tokyo ...
tcichemicals.com
ISO 7241-A series quick couplings, hydraulic couplings, flat face ...
unitread.co.in
Novel Multi-Target Agents Based on the Privileged Structure of 4 ...
mdpi.com
KTR Coupling Manufacturer | KTR Coupling in Ahmedabad
couplings.in
Sensegood Instruments Flange Coupling for Motor Shaft
sensegoodinstruments.com
Jutagoss Universal Joint Shaft Coupling for RC Robot Boat Car India | Ubuy
ubuy.co.in
Electron−Phonon Coupling Mediated Self-Trapped-Exciton Emission and ...
jncasr.ac.in
Industrial automation applications | Industrial automation examples ...
seimitsu.in
31-902 Bachmann OO Gauge Class 57XX 7754BR Black Late Crest (Missing ...
themodelcentre.com
Products | Stäubli India
staubli.com
Gear Coupling, Pin Bush Coupling Manufacturer, Brake Drum Coupling Supplier
goldenengineering.co.in
Mill Motor Type Gear Coupling in Singapore,Mill Motor Type Gear ...
prcomponents.com
ISO-16028 series quick couplings, hydraulic couplings, flat face ...
unitread.co.in
India Rotex Couplings, Rotex Couplings Manufacturers
couplings.in
Full Gear Coupling with Integral End Plate in Hyderabad,Full Gear ...
prcomponents.com
Blog
komatsuindia.in
L-190 Star Rubber Spider Coupling BLACK Rubber Spider Insert Fits L-190 ...
amazon.in
logo_1200_x_628_px.jpg?v=1720118200
artrise.in
USD/INR Breaking Imp. Trendline; Is Nifty 50 Topping Out? | Investing ...
in.investing.com
Novel Multi-Target Agents Based on the Privileged Structure of 4 ...
mdpi.com
Buy 1 1/2 in. x 2 in. PVC DWV Hub x Hub Increaser/Reducer Coupling ...
ubuy.co.in
PHE L090-20MM - Couplings | SKF
skf.com
Coupling
kalpex.in
Jaw Couplings - KTR Rotex Coupling GR-Series Trader - Retailer from Chennai
dynamictradingcompany.in
Flexible Gear Coupling in Pune | Bizzporto
bizzporto.com
R3188 Hornby HO/OO Gauge BR Class N2 69543 BR (Late), Missing Coupling ...
themodelcentre.com
MEDICAL QUICK COUPLING - MEDICAL QUICK COUPLING Exporter, Manufacturer ...
hmp.org.in
Solar Tyre Couplings PH Series | Manufacturers, Suppliers in Delhi, india
vgroovepulley.in
Vertical Mounting Gear Coupling in USA,Vertical Mounting Gear Coupling ...
zurr.in
3mmx3mm Mini Brass Universal Joint Coupling
flyrobo.in
Facile Synthesis of Some Coumarin Derivatives and Their Cytotoxicity ...
mdpi.com
Promo WIPRO Coupling Pemadam (Tembaga) CCO-250 Cicil 0% 3x - Kota ...
tokopedia.com
Axial Travel Type Gear Coupling in India,Axial Travel Type Gear ...
prcomponents.com
Full Gear Brake Drum Coupling in Argentina,Full Gear Brake Drum ...
prcomponents.com
Bangalore DCC Bank Recruitment 2023 Last Date To Apply
bankersadda.com
BELT CENTRE (MUMBAI) | FENNER TIMING BELTS
fennerbelt.in
10mm X 6mm Aluminum Flexible Shaft Coupling
flyrobo.in
Chain Coupling Manufacturer & Supplier in Ahmedabad, India- Spark Coupling
chaincoupling.in
Ringspann Grid Coupling, Hub only, Size 1110T, Interference fit Bore= 3 ...
zoro.com
Buy SharkBite 34 Inch Slip Coupling, Push to Connect Brass Plumbing ...
ubuy.co.in
Incoloy 825 Forged Fittings Manufacturer and Supplier
duplexsteelalloys.com
Shear Pin Type Gear Coupling in Mexico,Shear Pin Type Gear Coupling ...
prcomponents.com
Tyre Coupling | Tyre Coupling Manufacturer
couplings.in
King Group - Production Infrastructure
kinggroup.in
DCC-EX command station kit with WiFI | Loco.Engineering
loco.engineering
Flexible Shaft Couplings : Application Servo Motor configure & order ...
in.misumi-ec.com
Novel Multi-Target Agents Based on the Privileged Structure of 4 ...
mdpi.com
King Group - Production Infrastructure
kinggroup.in
Glycinamide Hydrochloride 1668-10-6 | Tokyo Chemical Industry (India ...
tcichemicals.com
Pin Bush Coupling Manufacturer - N-Eupex Coupling
couplings.in
ISO 7241-A series quick couplings, hydraulic couplings, flat face ...
unitread.co.in
ROTEXGS9-COMPLETE KTR | KTR Flexible Coupling Flector 20mm | 203-2402 | RS
in.rsdelivers.com
PHE UJMB63 - Couplings | SKF
skf.com
Fenner Couplings Manufacturers, Exporters & Suppliers In India
couplings.in
Products | Stäubli India
staubli.com
Rupee Depreciation: Will India's Exports Stand To Gain? | Investing.com ...
in.investing.com
RRL Hose Pipe - Fire Hose Pipe 15 Mtr Trader - Wholesaler / Distributor ...
protectorfiresafety.in
Chem-project compress - Study of the Effect of Metal Coupling on the ...
studocu.com
Kaeser Compressor Couplings Manufacturer at Best Price in Ahmedabad ...
compressorspareparts.co.in
Quick Release Couplings Manufacturers
powerflexindustries.co.in
Buy Myqqhbs 3/8Inch NPT Thread ISO7241-1A Hydraulic Couplings Hydraulic ...
desertcart.in
Pinbush Couplings - LOVEJOY PIN AND BUSH COUPLING RB Series Trader ...
dynamictradingcompany.in
Incidence of Osteoporosis in Primary Care Patients with Atrial ...
mdpi.com
Novel Multi-Target Agents Based on the Privileged Structure of 4 ...
mdpi.com
Flexible Coupling | Flexible Tyre Coupling | Flexible Pin & Bush ...
multiplefabric.com
Produktkonfigurator | mayr®
mayr.com
KTR Coupling Manufacturer | KTR Coupling in Ahmedabad
couplings.in
PHE L100NRWRAP - Couplings | SKF
skf.com
NIBCO 1-1/2 in. PVC DWV Hub x Hub Coupling Fitting C4801HD112 - The ...
homedepot.com
Buy Flat Face Hydraulic Quick Connect Coupler, 58 ORFS Bulkhead Skid ...
ubuy.co.in
ISI Mark Certification for Packaged Drinking Water Services at price ...
bis.alephindia.in
King Group - Production Infrastructure
kinggroup.in
Robotic Case Packer Uptime Exceeds 99% | Rockwell Automation | IN
rockwellautomation.com
Buy Hornby Trains & Scale Models Online | Ubuy India
ubuy.co.in
32-975 Bachmann OO Gauge Class 66/9 66952 Freightliner Green, Couplings ...
themodelcentre.com
Philips DCC 600 for sale.
audioscope.net
Flexible Shaft Couplings - Shaft Couplings configure & order | MISUMI India
in.misumi-ec.com
Buy DOITOOL 6 Pcs Scaffolding Spring Locking Pins Scaffold Scaffolding ...
desertcart.in
Pu Coupling Spider Manufacturer in Pune
oilseal.co.in
Related Searches
Hobt EDCI
Hobt Reagent
EDC Hobt
EDCI Hobt Mechanism
DCC Reaction
Hobt Coupling Mechanism
DCC Molecule
DCC Solvent
DCC Chemical
Hbtu Mechanism
Solid Phase Peptide Synthesis
Bop Reagent
Peptide Amidation
Carbodiimide
Steglich Esterification
DCC Organic Chemistry
Amide Coupling
Fmoc Piperidine
Hatu Amide Coupling Mechanism
Hobt EDcl
DCC NHS
BOC DeProtection
Hobt Structure
DCC Dicyclohexylcarbodiimide
EDC DMAP Mechanism
DCC Compound
Hydroxybenzotriazole
Synthesis of Peptides
Hobt Ester
Hatu Activation Mechanism
CO2Me
Amine to Amide Mechanism
Coupling of Hobt and DIC
Carboxylic Acid and Amine
Amidation Carboxilic Acid with DCC and Hobt
Solution Peptide Synthesis
Hobt EDC HCL Mechanism
Hobt Impurity
Carboxylic Acid to Amide Conversion
Amide Coupling Trought DCC Hobt Mechanism
Hatu 缩合机理
Nucleophilic Amide
DCC Condensation Mechanism
DMAP with Alcohol
Synthesis of a C-terminal Thioester through DCC and Hobt Mechanism
Hobt Anhydrous vs Hydrate
Net3 Reagent
Hobt Molecular Weight
Peptide Synthesis Reagents
Hobt Dibtc
Search
×
Search
Loading...
No suggestions found