Find Your Style
Women
Men
Accessories
Search for clothing, brands, styles...
×
Women
Men
Accessories
Homogeneous Vector Equation
Search
Loading...
No suggestions found
Lec-16: System of Homogeneous Linear Equation - Linear Algebra Video ...
edurev.in
Problems Based On Homogeneous Equations - Examples
civil.poriyaan.in
Homogeneous equation of euler's and legendre's type - Ordinary ...
eee.poriyaan.in
Homogeneous equation of euler's and legendre's type - Ordinary ...
eee.poriyaan.in
Linear Algebra: Understanding Singularity, Triviality, consistency ...
gateoverflow.in
Homogeneous Equations Video Lecture - Physics for Grade 12
edurev.in
Q13 (i) Find the vector equation of the line passing through the point ...
iqclasses.in
Homogeneous Coordinates
cse.iitd.ernet.in
The first order, first degree differential equation y = f(x,y) is said ...
edurev.in
Q8 (i) Find the vector equation of the plane which is at a distance of ...
iqclasses.in
Find the vector equation of the line passing through the point (2, 3 ...
iqclasses.in
Poynting Vector and Poynting Theorem - Electromagnetic Waves
eee.poriyaan.in
ODEs; Linear-Nonlinear; Homogeneous-Non Homogeneous Equations - GATE ...
edurev.in
Reducible to Homogeneous Differential Equation Video Lecture ...
edurev.in
Q13 (i) Find the vector equation of the line passing through the point ...
iqclasses.in
Linear partial differential equations of second and higher order with ...
mech.poriyaan.in
Linear partial differential equations of second and higher order with ...
civil.poriyaan.in
Governing Equations in Homogeneous Continuum Mechanics (HMC) : Amazon ...
amazon.in
Eigen Values and Eigen Vectors - Definition, Properties, Worked Examples
mech.poriyaan.in
1st order 1st degree differential equation - Homogeneous DE - Equation ...
edurev.in
An Improved Vector System for Homogeneous and Stable Gene Regulation
mdpi.com
Linear partial differential equations of second and higher order with ...
mech.poriyaan.in
Linear partial differential equations of second and higher order with ...
mech.poriyaan.in
Difference between homogeneous and nonhomogeneous linear equations ...
brainly.in
The vector equation of the tangent line al point r, of curve ...
scoop.eduncle.com
Linear partial differential equations of second and higher order with ...
civil.poriyaan.in
Vector Projection Formula, Dot Product, Calculation
pw.live
Linear partial differential equations of second and higher order with ...
civil.poriyaan.in
Linear partial differential equations of second and higher order with ...
civil.poriyaan.in
Linear partial differential equations of second and higher order with ...
mech.poriyaan.in
Linear partial differential equations of second and higher order with ...
civil.poriyaan.in
Find the vector equation of the plane passing through the point R(2,5 ...
brainly.in
Linear partial differential equations of second and higher order with ...
mech.poriyaan.in
F= mv^2/r + mgh is this equation homogenous - Brainly.in
brainly.in
Linear partial differential equations of second and higher order with ...
mech.poriyaan.in
Solution of HomogeneousandNon Homogeneous Equations Video Lecture ...
edurev.in
Homogeneous Constant Coefficient Equations: Any Roots - Differential ...
edurev.in
Angle Between Two Vectors- Meaning, Formula, Examples
adda247.com
Non-homogeneous linear equation
civil.poriyaan.in
Problems Based On Homogeneous Equations - Examples
civil.poriyaan.in
Module 4 Legendre's - Legendary equation - MODULE 4 4 Cauchy and ...
studocu.com
Linear partial differential equations of second and higher order with ...
mech.poriyaan.in
Solution of Homogeneous System of Linear Equations Example- 2 Video ...
edurev.in
Find the Cartesian and vector equations of the planes through the line ...
esaral.com
2nd order linear homogeneous differential equations 2 - Mathematics ...
edurev.in
Linear partial differential equations of second and higher order with ...
mech.poriyaan.in
Linear partial differential equations of second and higher order with ...
mech.poriyaan.in
Homogenous Differential Equations - IB Math HL 1 6 Homogeneous ...
studocu.com
Find the non-trivial solution (if exist) of the given homogenous system ...
brainly.in
Find the vector equation of a plane whose Cartesian equation is
esaral.com
(4y+3x)dy/dx+y-2x solve differential equations by homogeneous - Brainly.in
brainly.in
System Of Linear Equations - Non Homogeneous Equation - Matrices Video ...
edurev.in
Vector Addition: Equations - Equations | Vectors | Vector Components ...
acl.digimat.in
Linear partial differential equations of second and higher order with ...
mech.poriyaan.in
Linear Second Order Homogeneous Differential Equations with Constant ...
edurev.in
Linear partial differential equations of second and higher order with ...
mech.poriyaan.in
Linear partial differential equations of second and higher order with ...
mech.poriyaan.in
சமபடித்தான நேரியச் சமன்பாடுகளின் தொகுப்பு (Homogeneous system of linear ...
brainkart.in
Buy Aris-Vectors, Tensors And The Basic Equa (Dover Books on ...
amazon.in
What is purpose of finding cf in non-homogeneous differential equation ...
brainly.in
Linear algebra-5 - good - Vector Equations We can add/subtract vectors ...
studocu.com
Linear partial differential equations of second and higher order with ...
mech.poriyaan.in
Linear partial differential equations of second and higher order with ...
mech.poriyaan.in
Review of vectors, equations of lines and planes; Sequences in R 3 ...
studocu.com
Q8 (i) Find the vector equation of the plane which is at a distance of ...
iqclasses.in
சமபடித்தான நேரியச் சமன்பாடுகளின் தொகுப்பு (Homogeneous system of linear ...
brainkart.in
Linear partial differential equations of second and higher order with ...
mech.poriyaan.in
Net Force Formula, Introduction, Examples ...
pw.live
Linear partial differential equations of second and higher order with ...
mech.poriyaan.in
Gadadhar Misra | Homepage
isibang.ac.in
Linear partial differential equations of second and higher order with ...
mech.poriyaan.in
பயிற்சி 1.7: சமபடித்தான நேரியச் சமன்பாடுகளின் தொகுப்பு (Homogeneous ...
brainkart.in
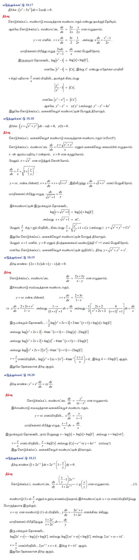
பயிற்சி 10.6 : சமபடித்தான அமைப்பு அல்லது சமபடித்தான வகைக்கெழுச் ...
brainkart.in
பயிற்சி 10.6 : சமபடித்தான அமைப்பு அல்லது சமபடித்தான வகைக்கெழுச் ...
brainkart.in
Graphene-Modified Composites and Electrodes and Their Potential ...
mdpi.com
பயிற்சி 10.6 : சமபடித்தான அமைப்பு அல்லது சமபடித்தான வகைக்கெழுச் ...
brainkart.in
பயிற்சி 10.6 : சமபடித்தான அமைப்பு அல்லது சமபடித்தான வகைக்கெழுச் ...
brainkart.in
Q13 (i) Find the vector equation of the line passing through the point ...
iqclasses.in
பயிற்சி 10.6 : சமபடித்தான அமைப்பு அல்லது சமபடித்தான வகைக்கெழுச் ...
brainkart.in
சமபடித்தான அமைப்பு அல்லது சமபடித்தான வகைக்கெழுச் சமன்பாடுகள் ...
brainkart.in
Solve the following homogenous differential equation (x2y - 2xy2) dx ...
brainly.in
Vector Identity and Vector Equations - Mathematics Optional Notes for ...
edurev.in
The Vector Equation of Lines Video Lecture - JEE
edurev.in
பயிற்சி 10.6 : சமபடித்தான அமைப்பு அல்லது சமபடித்தான வகைக்கெழுச் ...
brainkart.in
Linear partial differential equations of second and higher order with ...
mech.poriyaan.in
First order homogenous equations Video Lecture - Mathematics (Maths ...
edurev.in
பயிற்சி 10.6 : சமபடித்தான அமைப்பு அல்லது சமபடித்தான வகைக்கெழுச் ...
brainkart.in
Buy Mathematics for Engineers: Numbers and Equations, Vectors and ...
amazon.in
Q2. find the solution of the non homogenous differential equation dy f6 ...
scoop.eduncle.com
Homogeneous Differential Equation Video Lecture - Mathematics for IIT ...
edurev.in
பயிற்சி 1.7: சமபடித்தான நேரியச் சமன்பாடுகளின் தொகுப்பு (Homogeneous ...
brainkart.in
பயிற்சி 1.7: சமபடித்தான நேரியச் சமன்பாடுகளின் தொகுப்பு (Homogeneous ...
brainkart.in
பயிற்சி 10.6 : சமபடித்தான அமைப்பு அல்லது சமபடித்தான வகைக்கெழுச் ...
brainkart.in
Vector Equations and Applications practice problems 2 - Vector ...
studocu.com
சமபடித்தான அமைப்பு அல்லது சமபடித்தான வகைக்கெழுச் சமன்பாடுகள் ...
brainkart.in
Linear partial differential equations of second and higher order with ...
mech.poriyaan.in
Find the Cartesian and vector equations of the planes through the line ...
esaral.com
Buy Equation of motion: Differential equation, Newton's laws of motion ...
desertcart.in
Vector Equations and Applications practice problems 2 - Vector ...
studocu.com
Find a Cartesian equation for the curve and identify it. r2 cos2θ=1 ...
ask.learncbse.in
Homogeneous Nucleation Mechanism of NaCl in Aqueous Solutions
mdpi.com
Derivation of equations and List of 3 equations of motion - Physics ...
aakash.ac.in
Q8 (i) Find the vector equation of the plane which is at a distance of ...
iqclasses.in
HeMGNN: Heterogeneous Network Embedding Based on a Mixed Graph Neural ...
mdpi.com
Find the angle between the planes whose vector equations are vector r ...
brainly.in
The particular integral of the differential equation (D2 - 4)y = cos ...
brainly.in
Buy Parallel-Vector Equation Solvers for Finite Element Engineering ...
amazon.in
Find the vector equation of the line passing through the point 2i + 3j ...
brainly.in
பயிற்சி 10.6 : சமபடித்தான அமைப்பு அல்லது சமபடித்தான வகைக்கெழுச் ...
brainkart.in
In a homogeneous non-conducting region whereandmu;r= 1, the value ...
edurev.in
Homogeneous Constant Coefficient Equations: Real Roots - Differential ...
edurev.in
Which of the following representation is incorrect for vector equation ...
brainly.in
x²ydx-(x³+y³)dy =0 from homogenous equation - Brainly.in
brainly.in
Homogeneous and Heterogeneous Mixtures: Explore 10 Examples of Each
adda247.com
16.TWO VECTOR F1=3i+4j and F²=3j+4k are acting simultaneously bat a ...
brainly.in
Q8 (i) Find the vector equation of the plane which is at a distance of ...
iqclasses.in
சமபடித்தான அமைப்பு அல்லது சமபடித்தான வகைக்கெழுச் சமன்பாடுகள் ...
brainkart.in
Non-homogeneous linear equation
civil.poriyaan.in
சமபடித்தான அமைப்பு அல்லது சமபடித்தான வகைக்கெழுச் சமன்பாடுகள் ...
brainkart.in
சமபடித்தான நேரியச் சமன்பாடுகளின் தொகுப்பு (Homogeneous system of linear ...
brainkart.in
Related Searches
Homogeneous Linear Equation
Homogeneous Linear System
Homogeneous Matrix
Homogeneous Quadratic Equation
Homogeneous Equation Examples
Homogeneous Matrix Example
Homogeneous System Linear Algebra
Homogeneous Equation Physics
Homogeneous Solution Matrix
Matrix Homogenous
Homogeneous Transformation
Homogeneous and Non Homogeneous Equation
Homegenous Equation
Homogeneous Differential Equation
Homogeneous Math
What Is a Homogeneous Linear System
Homogeneous Equation for Motion
Homogeneous Equation Form
Homogeneous Line Vector
Homogeneus Equation
Solving Homogeneous Differential Equations
Homogeneous Translation Matrix
Bloch Equation
Associated Homogeneous Equation
Homogeneous Set of Equations
Homogeneous Vector Field
What Are Homogeneous Equations
Homogeneous Integration
Homogeneous Equation Graph
Homogeneous Equation of Circle
Homoegenous Vector
Homogeneous Equation Representation
Coefficient Matrix of a Homogeneous System
First Order Linear Differential Equation
Restrictive Homogeneous Equation
Homogeneous Space
Parametric Vector Form
Homogeneous Coordinates
Into the Relevant Homogeneous Equation
Properties of a Homogeneous Equation
Homogeneous Drawing
Difference Equation About Homogeneus
Matrix of Coefficients
Homegenous Vs. Heterogeneous Vector Equation
Homogeneous Equation for Hindi Medium
Homogeneous Equation in Artificial Intelligence
Basis Vectors
Homogeneous Formula
Vector Helmholtz Equation
Partial Differential Equations
Search
×
Search
Loading...
No suggestions found