Find Your Style
Women
Men
Accessories
Search for clothing, brands, styles...
×
Women
Men
Accessories
Html Exercise Examples
Search
Loading...
No suggestions found
Ex1b HTML CSS Exe - HTML AND CSS EXERCISES - HTML and CSS Create the ...
studocu.com
HTML Worksheet - Ordered, Unordered, and Definition Lists | TPT
teacherspayteachers.com
Learn HTML and CSS In 24 Hours and Learn It Right | HTML and CSS For ...
amazon.in
Buy The Absolute Beginner's Guide to HTML and CSS: A Step-by-Step Guide ...
desertcart.in
Internal CSS
sitesbay.com
Frames in HTML - HTML Tutorial | Study Glance
studyglance.in
HTML Formatting - 15 Formatting Elements
codeamy.in
Making a Website With HTML in 8 Easy Steps
hostinger.in
Perfect Maths Coursebook 4 | By prabha Sethy | 2nd Edition | HARPER ...
shop.exam360.in
Ourtutorials - HTML
ourtutorials.in
HTML Label Element
myschoolhouse.in
HTML Elements
codeamy.in
Marquee Tag in HTML - HTML Tutorial | Study Glance
studyglance.in
Введение в HTML — Teletype
teletype.in
What Is a Server? Definition, Types, Features, and More
sitechecker.pro
Free Responsive HTML Table Generator With Code - 3schools
3schools.in
How to create an HTML sitemap for SEO and users
serpstat.com
Web Design Company in Kolkata | Spectrum Exploring Technology
spectrumtech.in
How to add image inside table cell in HTML - 3schools
3schools.in
create the following table by html coding as shown in image it's urgent ...
brainly.in
Learn Normalization - 1NF, 2NF & 3NF : DBMS ~ I. T. Engg Portal
itportal.in
The metric system explained, with exercises, examples and illustrations ...
amazon.in
All You Need To Know About Isometric vs Isotonic Exercises – Burnlab.Co
burnlab.co
How to Display HTML Meter element Vertically
encodedna.com
CSS Poster - Poster Made With Css Grid example : CSS Mix
cssmix.net
Roll and Exercise Gross Motor Worksheet Dice
twinkl.co.in
Step-by-Step: How to Sell Your First Digital Product - Guide ...
amazon.in
Examples
civil.poriyaan.in
Exercise
civil.poriyaan.in
6 Stretching Exercises For Better Flexibility And Agility
indiatimes.com
Weight loss workouts on sale to do at home
metrorailnews.in
Buy The Metric System Explained: With Exercises, Examples and ...
amazon.in
Types of Sentences with Examples, Definition, Exercises, PDF
adda247.com
Exercise Physiologist Resume Examples India
resumewritingservices.in
Exercise Prescription Template - Fill Online, Printable, Fillable ...
pdffiller.com
Entrust Office Photos
glassdoor.co.in
Exercise
civil.poriyaan.in
Weight Training for 60-Year-Old Men
everydayhealth.com
Mitos y verdades sobre la actividad física y el ejercicio - TSM Noticias
tsmnoticias.com
What is circuit training? Draw a diagram of 10 stations to improve ...
brainly.in
Examples
civil.poriyaan.in
Direct and Indirect Speech Worksheet, Exercises, Examples, Rules
adda247.com
Simple Past Indefinite Tense- Examples, Formula, Exercise, Rules ...
adda247.com
Exercise
civil.poriyaan.in
Examples
civil.poriyaan.in
Examples
civil.poriyaan.in
Relative Pronoun: Definition and Examples, Exercise
adda247.com
Subject Verb Agreement: Check Rules, Notes, Examples, Exercise for ...
adda247.com
Professional Bio Examples: 29 Work Bios I Keep in My Back Pocket for ...
appsmanager.in
Subject Verb Agreement: Check Rules, Notes, Examples, Exercise for ...
adda247.com
Examples
civil.poriyaan.in
Examples
civil.poriyaan.in
Examples
civil.poriyaan.in
Exercise
civil.poriyaan.in
Questions And Answers
civil.poriyaan.in
Exercise
civil.poriyaan.in
Why It’s Important to Breathe Correctly While You Exercise | Diet & Fitness
indiatimes.com
Buy ANALYSIS AND BEYOND: AN INTRODUCTION WITH EXAMPLES AND EXERCISES ...
amazon.in
HTML Heading - h1 to h6 Header Tag Example
codeamy.in
Present Indefinite Tense: Formula, Exercise, Examples, Structure, Rules
adda247.com
Examples
civil.poriyaan.in
How CSS, JavaScript, & HTML make the best combo for frontend developme
content.techgig.com
Buy Learning How To Read Music Notation In 30 Days: Music Theory For ...
desertcart.in
Difference between aerobic and anaerobic respiration 0 in tabular form ...
brainly.in
Exercise
civil.poriyaan.in
Examples
civil.poriyaan.in
Examples
civil.poriyaan.in
Examples
civil.poriyaan.in
357 games download for android - desktop: today Your weekly bonus today!
annavaramdevasthanam.nic.in
12 Simple Balance Activities for Elementary Students | Twinkl
twinkl.co.in
【HTML5とは】絶対理解できるHTML5の基礎超入門 | プログラミングスクールならテックキャンプ
tech-camp.in
What are Locomotor Skills? - Answered - Twinkl Teaching Wiki
twinkl.co.in
Examples
civil.poriyaan.in
357 games download for android - desktop: today Your weekly bonus today!
annavaramdevasthanam.nic.in
Present Indefinite Tense: Formula, Exercise, Examples, Structure, Rules
adda247.com
free lottery in india 2025 - Get a ₹250 premium fast!
maitri2excise.mahaonline.gov.in
Simple Past Indefinite Tense: Definition, Examples, Formula, Exercise ...
adda247.com
5 Postpartum Pelvic Floor Exercises to Try After Pregnancy
whattoexpect.com
Main Verbs: Definition, Examples, Types, How to Use, Exercise
adda247.com
free lottery in india india - Best Online Casino: 200% no deposit bonus!
gmcvizianagaram.ap.gov.in
Secretary interview questions and answers - The secretary interview ...
studocu.com
Examples
civil.poriyaan.in
golden lottery promo code 2025 - Get a ₹900 free chips today!
elabharthi.bihar.gov.in
Name of the Book: English Advanced Vocabulary and Structure Practice
qmaths.in
Buy Linear Model Theory: With Examples and Exercises Book Online at Low ...
amazon.in
पेनिस की हार्डनेस और साइज बढ़ाने में मदद करेंगी ये 5 एक्सरसाइज ...
mensxp.com
PRT: The Army's new road map for physical readiness | Article | The ...
army.mil
Asexual Reproduction in Plants Diagram with Explanation - Biology Notes
biologynotes.in
Compound Prepositions: Definition, Examples, Exercise
adda247.com
Examples
civil.poriyaan.in
357 games download for android | Best Online Casino: ₹750 bonus!
endowments.ts.nic.in
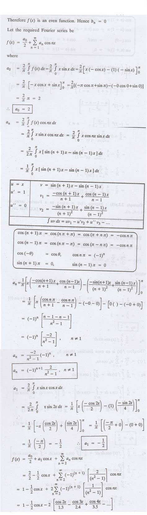
Half-Range Series
civil.poriyaan.in
Examples
civil.poriyaan.in
Naval Exercise Prasthan at ONGC’s R 12A Ratna Platform
psuconnect.in
Examples
civil.poriyaan.in
free lottery in india india - Best Online Casino: 200% no deposit bonus!
gmcvizianagaram.ap.gov.in
Examples
civil.poriyaan.in
Examples
civil.poriyaan.in
Match the following columns
allen.in
Examples
civil.poriyaan.in
Examples
civil.poriyaan.in
Examples
civil.poriyaan.in
Examples
civil.poriyaan.in
Examples
civil.poriyaan.in
Exercise For Vertigo: Causes, Symptoms and Who Should avoid
godigit.com
Consonant Blends – How to Teach Consonant Blends - Wiki
twinkl.co.in
Simple Future Indefinite Tense: Definition, Examples, Rules, Formula ...
adda247.com
Benefits of Exercise Poster - Display Posters - KS2
twinkl.co.in
ISOMETRIC ADDUCTOR SQUEEZE EXERCISE
ohse.in
Direct and Indirect Speech Worksheet, Exercises, Examples, Rules
adda247.com
Buy Grammar for IELTS: All Essential English Grammar Rules from ...
desertcart.in
7 Best Exercises To Reduce Thigh Fat and Tone Up - Fitterfly
fitterfly.com
Remember, once you know what you are trying to communicate, you need to ...
brainly.in
What are Locomotor Skills? - Answered - Twinkl Teaching Wiki
twinkl.co.in
Past Tense - Simple, Perfect, Continuous, Exercise, Examples ...
mbarendezvous.com
Enantiomers: Definitions, Examples, Properties, Representation ...
collegesearch.in
CfE First Level Safe Places Worksheet / Worksheets
twinkl.co.in
Examples
civil.poriyaan.in
27 of the Best Professional Bio Examples I've Ever Seen [+ Templates ...
appsmanager.in
Леонид — Teletype
teletype.in
Related Searches
HTML Exercises
HTML Exercises for Beginners
HTML Practical Exercises
Sample HTML Examples
Exercise
Practice HTML Coding Worksheets
HtmlForm Practice Exercises
HTML Practice Templates
Home Chair Exercises
CSS Exercises
A Form Example for Exercise for HTML
HTML Tag Worksheet
HTML Practice Images
Senior Chair Stretching Exercises
Web Development Exercises
Simple HTML Exercises
Some and Any Exercises
Best Exercise for Heart
Sample.html Pages for Practice
HTML Web Page Exercises
HtmlTable Exercises
Example for HTML Practise
Simple Compounds Examples
Yoga Exercises for Balance
HTML-site Exercises
HTML Activity Worksheet
50 Preposition Examples
HTML-style Exercises
HTML Class Exercises
CSS Grid Practice Exercises
HTML Prctice Photo
Live Worksheet On HTML
HTML Worksheets with Answers
Interective Exam HTML Templates
Web Programming Exercises
Should and Could Exercises
Activity Sheets for Basic HTML
HTML Practical Exercises Forms
Example of a Good HTML/Text Result
HTML Box Model Practical Exercises
HTML Practical Worksheet
Easy Yoga for Back Pain
Heart Healthy Exercise
HTML Program with Background Image Excercise
Basic HTML Exercises
HTML Practice Exercises
HTML Practice Sheet
High Impact Exercises Examples
Simple CSS Exercise
Y Pulls Exercise
Search
×
Search
Loading...
No suggestions found