Find Your Style
Women
Men
Accessories
Search for clothing, brands, styles...
×
Women
Men
Accessories
Hydroperoxide
Search
Loading...
No suggestions found
Cumene Hydroperoxide 80-15-9 | Tokyo Chemical Industry (India) Pvt. Ltd.
tcichemicals.com
Hydroperoxide mouthwash uses, benefits
vitalityvaulter.in
Tert Butyl Hydroperoxide 70 Manufacturer, Supplier from Delhi
dsschementerprisesllp.co.in
Cumene Hydroperoxide | 80-15-9 | Tokyo Chemical Industry (India) Pvt. Ltd.
tcichemicals.com
Vitamin K1 Hydroperoxide | CAS No- 2241755-02-0 | Simson Pharma Limited
simsonpharma.com
Vitamin K1 hydroperoxide | CAS No- 15576-39-3 | Phytonadione ...
chemicea.com
Tertiary Butyl Hydroperoxide Exporter, Supplier from Thane
lauricelabs.co.in
Cumene Hydroperoxide 99% - ChemicalBook India
chemicalbook.in
Cumene Hydroperoxide | CAS No- 80-15-9 | Simson Pharma Limited
simsonpharma.com
Cumene hydroperoxide technical grade, 80 80-15-9
sigmaaldrich.com
TBHP, Tert-Butyl Hydroperoxide Manufacturer Exporter
anaindustries.in
Cumene hydroperoxide technical grade, 80 80-15-9
sigmaaldrich.com
Cumene Hydroperoxide | 80-15-9 | Tokyo Chemical Industry (India) Pvt. Ltd.
tcichemicals.com
INR Full Form: What is full form of INR?
bankersadda.com
Cumene hydroperoxide technical grade, 80 80-15-9
sigmaaldrich.com
Cumene hydroperoxide technical grade, 80 80-15-9
sigmaaldrich.com
Top 10 Countries Where INR Has the Highest Value in 2025
currentaffairs.adda247.com
Facts about Indian businessman who is buying Lavasa city for INR 1814 ...
timesofindia.indiatimes.com
Cumene Hydroperoxide 99% - ChemicalBook India
chemicalbook.in
Best whiskey under INR 1500 for a pocket-friendly drinking experience
lifestyleasia.com
Ugro Capital Crosses Inr 10000 crore aum milestone launches 10k ...
psuconnect.in
33000 euro to inr - Claim a ₹300 Bonus Today! Android IOS V- 1.79
tax.lsgkerala.gov.in
Anand Kamalnayan Pandit — INR 8,660 Cr (Sri Lotus Developers & Realty ...
economictimes.indiatimes.com
CA Fresher bags INR 49.20 Lakhs Package in 58th ICAI Campus Placement Event
taxscan.in
Tom Cruise's anti-ageing 'poop' facial costs INR 14,000 per sitting ...
timesofindia.indiatimes.com
Understanding the Saudi Riyal Currency | INR to SAR
orientexchange.in
usd to inr sbi rate: Latest News & Videos, Photos about usd to inr sbi ...
economictimes.indiatimes.com
Indian Rupee (₹) - Buy INR Currency Online at Best Rates
makemytrip.com
WazirX to Partially Lift INR Withdrawal Suspension Starting August 26 ...
topnews.in
KWD to INR conversionDownload it from KWD to INR conversion for free 7.99
durslt.du.ac.in
Bortezomib R,R-hydroperoxide - Chemxtel Labs
chemxtel.com
USP Bortezomib R-hydroperoxide (RCL) - Chemxtel Labs
chemxtel.com
8a-Hydroperoxide Ivermectin | CAS No- NA
chemicea.com
USP Bortezomib S-hydroperoxide (RCM) - Chemxtel Labs
chemxtel.com
Process of Converting Ammonia to Hydrogen | Encyclopedia MDPI
encyclopedia.pub
Bortezomib R-Hydroperoxide | CAS No- 886979-78-8 | Simson Pharma Limited
simsonpharma.com
Ritonavir Impurity G(Hydroperoxide Impurity) | CAS No- NA | Simson ...
simsonpharma.com
One-Pot Synthesis of (+)-Nootkatone via Dark Singlet Oxygenation of ...
mdpi.com
The major products P and Q are
tardigrade.in
ISDA
ibdc.dbtindia.gov.in
Anticoagulation in Acute Pulmonary Embolism: Which Drug? How Long ...
universimed.com
Cumene hydroperoxide, 80% 80-15-9 | India | Otto Chemie Pvt Ltd
ottokemi.com
The major products P and Q are
tardigrade.in
8.4.2 Dakin Reaction
archive.nptel.ac.in
One-Pot Synthesis of (+)-Nootkatone via Dark Singlet Oxygenation of ...
mdpi.com
Buy Lipid Hydroperoxide-Derived Modification of Biomolecules: 77 ...
amazon.in
The product formed in the reaction of Cumene with O2 followed by ...
tardigrade.in
The product formed in the reaction of cumene with O2 followed by ...
tardigrade.in
One-Pot Synthesis of (+)-Nootkatone via Dark Singlet Oxygenation of ...
mdpi.com
Uses and SideEffects of Warfarin: What You Need to Know
medicoverhospitals.in
Hydrogen Peroxide 100 ml Price, Uses, Side Effects, Composition ...
apollopharmacy.in
How to make Hydrogen peroxide? Properties and Uses|Chemistry Page
chemistrypage.in
One-Pot Synthesis of (+)-Nootkatone via Dark Singlet Oxygenation of ...
mdpi.com
GlobelinkWW - Dangerous Goods Classification
globelinkww.com
Investigation of the Two-Way Injection Slurry-Supply Method for the Cu ...
mdpi.com
Loctite 638 Loctite | Loctite Green 638 High Strength, Retaining ...
in.rsdelivers.com
Coagulation Analyzer - Micropoint Q3 Pro Electrometer PT-INR Trader ...
r2healthcare.in
One-Pot Synthesis of (+)-Nootkatone via Dark Singlet Oxygenation of ...
mdpi.com
Convert benzaldehyde to benzyl alcohol in precence of aqueos naoh ...
brainly.in
One-Pot Synthesis of (+)-Nootkatone via Dark Singlet Oxygenation of ...
mdpi.com
Ritonavir EP Impurity G | CAS No- 2034136-66-6 | Ritonavir ...
chemicea.com
Warfarin sodium in India - Chemicalbook.in
chemicalbook.in
1 million dong in indian rupees - Brainly.in
brainly.in
USD/INR Cracks Big: Falls 2% in 4 Days! | Investing.com India
in.investing.com
Warfarin R-Isomer | CAS No- 5543-58-8 | NA
chemicea.com
International Trade Settlement in Indian Rupee (INR)
taxguru.in
Latest Car & Bike News & Reviews | BBC Topgear India Magazine
topgearmag.in
One-Pot Synthesis of (+)-Nootkatone via Dark Singlet Oxygenation of ...
mdpi.com
10-Hydroxy Warfarin | CAS No- 83219-99-2 | Simson Pharma Limited
simsonpharma.com
Gold Necklace Set for Women | Buy Gold Necklace Set Online India ...
manubhai.in
Warfarin: View Uses, Side Effects and Medicines
truemeds.in
India and Malaysia can now trade in Indian rupee
currentaffairs.adda247.com
Sri Lanka and Russia in talks to use the rupee in foreign trade
currentaffairs.adda247.com
How Indian Rupee Stands Against Other Major Currencies
indiatimes.com
Warfarin: View Uses, Side Effects and Medicines
truemeds.in
Warfarin EP Impurity B
kmpharma.in
Buy Gold Pendant Set with Earrings Online India | Latest Gold Pendant ...
manubhai.in
MGT-6 Form Filing Process and Key Requirements
taxguru.in
Warfarin Sodium | CAS No- 129-06-6 | Simson Pharma Limited
simsonpharma.com
Gold Necklace Set for Women | Buy Gold Necklace Set Online India ...
manubhai.in
Buy Gold Bangles Online India with Latest Designs - Manubhai Jewellers
manubhai.in
When propene reacts with HBr in the presence of peroxide, it gives rise ...
edurev.in
8 Obat Stroke yang Efektif dan Tersedia di Apotik - Alodokter
alodokter.com
USD/INR Breaking Imp. Trendline; Is Nifty 50 Topping Out? | Investing ...
in.investing.com
Tatcha Indigo Overnight Repair: Benefits & Full Review - Epicfashion
epicfashion.in
Hurun India 2025: 10 billionaire Indians who entered the rich list this ...
economictimes.indiatimes.com
Next tranche of Bharat Bond ETF opens tomorrow: 10 things on NFO | Mint
livemint.com
Warfarin Sodium
kmpharma.in
Warfarin EP Impurity A | CAS No- 15156-56-6 | Simson Pharma Limited
simsonpharma.com
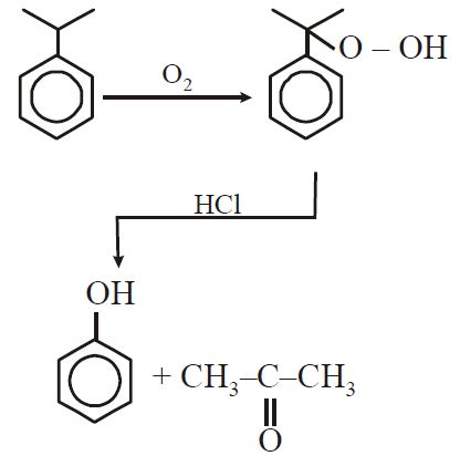
Preparation of Phenol from Cumene & Coal Tar | AESL
aakash.ac.in
Gold Necklace Set for Women | Buy Gold Necklace Set Online India ...
manubhai.in
Buy Diamond Necklace Online | Diamond Set Online Manubhai Jewellers
manubhai.in
Thyrocare Founder Partners With YEA and Magnifiq Capital Trust to ...
businessoutreach.in
Buy Gold Set Online | Gold Set by Manubhai.
manubhai.in
Warfarin EP Impurity C | CAS No- 122-57-6 | Simson Pharma Limited
simsonpharma.com
Buy INR's Farm Fresh Premium Pellets Food for Rabbits | 1 KG Advanced ...
amazon.in
USD/INR at Record High! Why RBI is Failing to Curb the Rupee’s Fall ...
in.investing.com
Wedding Gold & Diamond Jewellery set with Price | Buy Bridal Gold ...
manubhai.in
Buy Diamond Necklace Online | Diamond Set Online Manubhai Jewellers
manubhai.in
All about Bandarful coffee liqueur by Himmaleh spirits
lifestyleasia.com
Diamond Necklace Designs | Buy Diamond Necklace Set Online at Best ...
manubhai.in
Rate (INR)
erp.kohinoorpune.com
Diamond Necklace Designs | Buy Diamond Necklace Set Online at Best ...
manubhai.in
Hurun India 2025: 10 billionaire Indians who entered the rich list this ...
economictimes.indiatimes.com
Diamond Earrings Designs | Buy Diamond Earrings Online India - Manubhai ...
manubhai.in
Cameras under 10000: Buy top digital cameras online in India (2024)
lifestyleasia.com
'A' in the following reaction is:
prepp.in
Gold Necklace Set for Women | Buy Gold Necklace Set Online India ...
manubhai.in
Warfarin-D6 | CAS No- 1261395-69-0 | Simson Pharma Limited
simsonpharma.com
Sell 1INCH for NZD | 1INCH to NZD Calculator
binance.com
Gold Necklace Set with Price | Buy Gold Necklace Set Online
manubhai.in
Buy Antique Set Online | Antique Set by Manubhai.
manubhai.in
Buy Absolute Anticoagulant Journal: A Comprehensive logbook for ...
desertcart.in
Manur - Decannulation challenge
manurhospital.in
Certifications
pasteljade.com
Buy Gold Earrings Online | Gold Earrings by Manubhai.
manubhai.in
Hyundai i20 - All About i20 Price, Features, Colours, & Specs
carfolio.in
Buy Gold Ring Online | Gold Ring by Manubhai.
manubhai.in
International Trade Settlement in Indian Rupee (INR)
taxguru.in
Collections
svbventures.in
Related Searches
Hydrogen Peroxide 3%
Hydrogen Peroxide Chemical
Pure Hydrogen Peroxide
Hydrogen Peroxide Compound
Organic Peroxide
Peroxides Examples
Hydroperoxide Structure
Cumene Hydroperoxide
Hydrogen Peroxide Liquid
Urea Hydrogen Peroxide
Hydrogen Peroxide H2O2
Peroxide Anion
Oxygen Peroxide
What Is Hydrogen Peroxide
Hydrogen Peroxide Products
Hydrogen Peroxide Ph
Hydrogen Peroxide Solution
Hydrogen Peroxide 50%
Dibenzoyl Peroxide
Cumyl Hydroperoxide
Hydrogen Peroxide 30%
Hydrogen Peroxide Molecule
Hydrogen Peroxide Symbol
Hydrogen Peroxide and Vinegar
Hydrogen Peroxide for Cleaning
Hydrogen Peroxide Bleach
Isopropylbenzene
Hydrogen Peroxide Reaction
Cumene Process
2-Phenylpropane
Hydrogen Peroxide Molecular Structure
Methyl Hydroperoxide
Hydrogen Peroxide Formula
What Are Peroxides
Sodium Hydroperoxide
Peroxde
Drinking Peroxide
Hydrogen Peroxide Agua Oxinada
100 % Hydrogen Peroxide
Hydrogen Peroxide Mouthwash
Hydroxide Peroxide
Hygiene Peroxide
Food Grade Hydrogen Peroxide
Hydroperoxide Species
Phenyl Propyl Ether
Hydrogen Peroxide Ear Infection
Hydrogen Peroxide Color
Lipid Hydroperoxide Structure
Hydrogen Peroxide On Skin
Peroxide Functional Group
Search
×
Search
Loading...
No suggestions found