Find Your Style
Women
Men
Accessories
Search for clothing, brands, styles...
×
Women
Men
Accessories
Hypothesis Analysis
Search
Loading...
No suggestions found
Demand for INR Test Meters in UK | UK Market Analysis Report - 2036
futuremarketinsights.com
Demand for INR Test Meters in UK | UK Market Analysis Report - 2036
futuremarketinsights.com
Research Methodology: Hypothesis
legalbites.in
Introduction to Hypothesis - Research Methodology Hypothesis Testing ...
studocu.com
R - Assignment 2: Hypothesis Testing and Statistical Analysis - Studocu
studocu.com
Understanding various hypothesis testing steps
projectguru.in
Understanding the importance of a research hypothesis
projectguru.in
Hypothesis Testing Formula, Definition, Steps Solved Example
pw.live
Hypothesis - Study material - Research Methodology - Studocu
studocu.com
Null Hypothesis Definition - India Dictionary
1investing.in
Conceptions, Construct, Attribute, Variables, Hypotheses - Conceptions ...
studocu.com
How to frame a hypothesis from research questions?
projectguru.in
Sustainable Agritourism for Farm Profitability: Comprehensive ...
mdpi.com
A thesis hypothesis plays a significant role in a study
projectguru.in
Research & the Analysis of Research Hypotheses: Buy Research & the ...
flipkart.com
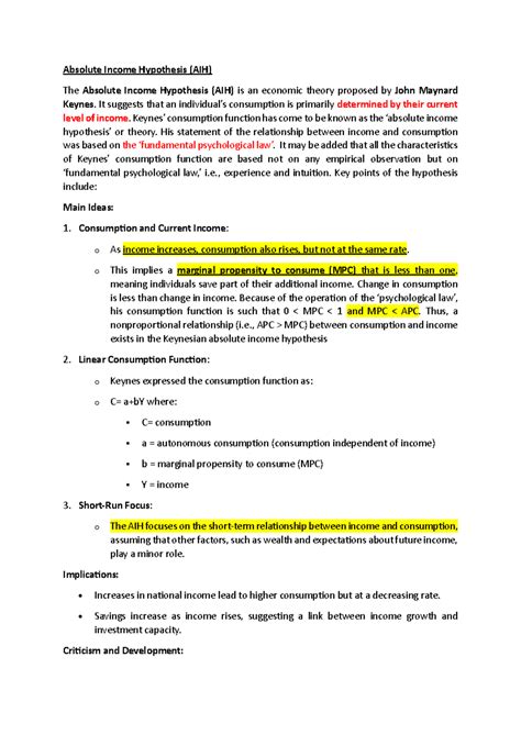
Income hypothesis - study - Absolute Income Hypothesis (AIH) The ...
studocu.com
Modeling and Interpreting Interactive Hypotheses in Regression Analysis ...
flipkart.com
Hypothesis - HYPOTHESIS Meaning: Hypothesis is an assumption that is ...
studocu.com
Research Aptitude Free Study Material/Research Methodology Notes
simplynotes.in
Notes about Research Methods in Medical & Health Studies – WFP Store
store.whitefalconpublishing.com
Effectiveness of Health Care Service Sector
journal.iujharkhand.edu.in
Interpretation of results of meta analysis on different types of plot
projectguru.in
Peacock-Wiseman Hypothesis: Analysis of Public Expenditure Growth - Studocu
studocu.com
Kuznets Curve, Hypothesis, Graph, Criticism, Applications
studyiq.com
Kuznets Curve, Hypothesis, Graph, Criticism, Applications
studyiq.com
Human papillomavirus vaccines, complex regional pain syndrome, postural ...
ijme.in
Buy Statistical Power Analysis: A Simple and General Model for ...
amazon.in
A Study Of Customer Attitude
journal.iujharkhand.edu.in
Research proposal - Study material - Research Methodology - Studocu
studocu.com
Research proposal - Study material - Research Methodology - Studocu
studocu.com
Kuznets Curve, Hypothesis, Graph, Criticism, Applications
studyiq.com
What is Hypothesis - What is Hypothesis? The hypothesis is defined as ...
studocu.com
Kuznets Curve, Hypothesis, Graph, Criticism, Applications
studyiq.com
Buy Statistical Analysis Using R Software Book Online at Low Prices in ...
amazon.in
Buy Regression Analysis By Example Using R Book Online at Low Prices in ...
amazon.in
IMDB Movie Genre Analysis: Common Genres & IMDB Scores Statistics - Studocu
studocu.com
Applications of Hypothesis Testing for Environmental Science: Buy ...
flipkart.com
Research proposal - Study material - Research Methodology - Studocu
studocu.com
Lots of Digital Files? How Digital Hoarding Is Related to the Academic ...
mdpi.com
Red Queen Hypothesis | Encyclopedia MDPI
encyclopedia.pub
Guessed Synonyms: 46 Synonyms and Antonyms for Guessed | YourDictionary.com
thesaurus.yourdictionary.com
Kuznets Curve, Hypothesis, Graph, Criticism, Applications
studyiq.com
Kuznets Curve, Hypothesis, Graph, Criticism, Applications
studyiq.com
Mathematics for Computer Science - BCS301 - VTU - Studocu
studocu.com
Supply chain management - A Project Report on “A STUDY ON SUPPLY CHAIN ...
studocu.com
Spatial Mismatch Hypothesis Revisited: Buy Spatial Mismatch Hypothesis ...
flipkart.com
European Pharmacy Sales and Profitability Analysis | by Abdulsamad ...
medium.com
Kuznets Curve, Hypothesis, Graph, Criticism, Applications
studyiq.com
Buy The Riemann Hypothesis Book Online at Low Prices in India | The ...
amazon.in
Buy ANALYSIS OF CATEGORICAL DATA WITH R Book Online at Low Prices in ...
amazon.in
Question Bank for Data Science (24MCT33) - Hypothesis Testing ...
studocu.com
Buy Data Analysis and Graphics Using R Book Online at Low Prices in ...
amazon.in
Chi-square GoF: Help
drsm.in
Shrikant's Notes: Paper Review: Determinants of Mobile Learning ...
shrikant-mulik.blogspot.com
Welcome to The Institute of Cost Accountants of India Website
icmai.in
Buy Cognitive Bias in Intelligence Analysis: Testing the Analysis of ...
amazon.in
Vogel's Quantitative Chemical Analysis 6th Edition 6th Edition (English ...
amazon.in
EVs and the impact on the automotive value chain | Autocar Professional
autocarpro.in
WHAT METHOD DO THESE WORDS DESCRIBE: QUESTION, OBSERVATION, HYPOTHESIS ...
brainly.in
Case Study 42HBQR11 Print - See discussions, stats, and author profiles ...
studocu.com
Hypothesis Testing 1: Importance of Sampling in Data Analysis - Studocu
studocu.vn
Buy Exploratory Data Analysis with R Book Online at Low Prices in India ...
amazon.in
Buy R Data Analysis Projects Book Online at Low Prices in India | R ...
amazon.in
USD/INR maintains position due to potential RBI interventions
tmgm.com
Topics in Matrix Analysis eBook : Horn, Roger A., Johnson, Charles R ...
amazon.in
Notes about Research Methods in Medical & Health Studies – WFP Store
store.whitefalconpublishing.com
Buy Multivariate Data Analysis, 7e Book Online at Low Prices in India ...
amazon.in
Flywheel Mechanism and Applications in Modern Engineering - Studocu
studocu.com
Research design - Study material - Research Methodology - Studocu
studocu.com
Chi-square: Help
drsm.in
Buy Microarray Data: Statistical Analysis Using R Book Online at Low ...
amazon.in
Human Relations in Interracial Housing: A Study of the Contact ...
amazon.in
Buy INTRODUCTORY MATHEMATICAL ANALYSIS FOR BUSINESS, ECONOMICS, AND THE ...
amazon.in
Understanding Skewness in Machine Learning: A Beginner’s Guide with ...
cwpc.in
Buy Multivariate Data Analysis, 8th Edition Book Online at Low Prices ...
amazon.in
The Love Hypothesis - The Love Hypothesis by Ali Hazelwood, Paperback ...
flipkart.com
Explain nebular hypothesis for 5 marks? - EduRev Class 11 Question
edurev.in
Buy Introduction to Real Analysis Book Online at Low Prices in India ...
amazon.in
Buy R COMPANION TO POLITICAL ANALYSIS Book Online at Low Prices in ...
amazon.in
The Love Hypothesis - The love hypothesis with 1 Disc: Buy The Love ...
flipkart.com
The Biophilia Hypothesis (Shearwater Book) eBook : Kellert, Stephen R ...
amazon.in
Engaging Hypothesis Testing Techniques for Statistical Analysis ...
coursehero.com
Ask Analytics: Market Basket Analysis in R
askanalytics.in
Collusion is the presentation by a learner of an assignment - BSBWOR ...
studocu.com
Chapter-7-2 - Kkk - KEY CONCEPTS INVOLVED Integration – The process of ...
studocu.com
Venieris and Sebold: SEM 2 Key Insights and Highlights - Studocu
studocu.com
IPO Analysis: R R Kabel Ltd
insights.dsij.in
Enrichment analyses of diseases and pathways associated with precocious ...
precocity.bicnirrh.res.in
Statistical Inference I: Sampling and Hypothesis Testing (SEM-3) - Studocu
studocu.com
Buy Schaum's Outline of Vector Analysis, 2ed (Schaums' Outline Series ...
amazon.in
Buy Numerical Analysis Book Online at Low Prices in India | Numerical ...
amazon.in
Corporate Culture Transformation | Human Resources Management ...
jp.mitsuichemicals.com
Buy Performing Data Analysis Using IBM SPSS(R) Book Online at Low ...
amazon.in
Buy Financial Statement Analysis (IRWIN ACCOUNTING) Book Online at Low ...
amazon.in
Global Dynamics of Environmental Kuznets Curve: A Cross-Correlation ...
mdpi.com
Buy Structural Analysis Book Online at Low Prices in India | Structural ...
amazon.in
Mathematics for Computer Science - BCS301 - VTU - Studocu
studocu.com
Clinical Hypotheses for Rosalyn Gonzaga: Analysis & Implications - Studocu
studocu.com
Drag each label to the correct location on the image. Identify the ...
brainly.in
Instrumental Methods Of Chemical Analysis 2018 Edition: Buy ...
flipkart.com
Ask Analytics: ABC... of Market Basket Analysis
askanalytics.in
Understanding Hypothesis Testing: Turning Data into Decisions | by G ...
medium.com
Effectiveness of Health Care Service Sector
journal.iujharkhand.edu.in
Mastering Confidence Intervals and Hypothesis Testing in | Course Hero
coursehero.com
Technical Analysis Courses in Novocherkassk
ruchirgupta.co.in
Fillable Online wbamc amedd army INVESTIGATOR S INFORMATION - wbamc ...
pdffiller.com
Explain Different hypothesis associated with the formation of planet ...
brainly.in
ஆண்களே உங்கள் மோதிர விரல் ஆள் காட்டி விரலை விட நீளமாக உள்ளதா!!!!நீங்கள் ...
yarl.com
Cell division - 162 BIOLOGY Are you aware that all organisms, even the ...
studocu.com
AIVO Price, Features, Reviews & Ratings - Capterra India
capterra.in
Buy R Companion for Sampling: Design and Analysis, Third Edition Book ...
amazon.in
Research Methodology: Concept and Cases By Dr Deepak Chawla
vikaspublishing.com
Buy A Guide to the Business Analysis Body of Knowledge (Babok Guide ...
amazon.in
Love on the Brain by Ali Hazelwood (ebook)
ebooks.com
Chi-square test - semester 3 practice material for mca students ...
studocu.com
Cerebrospinal fluid (CSF) analysis
openmed.co.in
RESurg | Promoting research across all domains of medicine
resurg.in
Mathematics for Computer Science - BCS301 - VTU - Studocu
studocu.com
[Solved] Explain - Master of Business Administration - Studocu
studocu.com
RESurg | Promoting research across all domains of medicine
resurg.in
Related Searches
Hypothesis Test Chart
Hypothesis Paper Example
Hypothesis Test Table
Statistical Hypothesis
Hypothesis Testing Formula Sheet
Scientific Method Hypothesis Examples
Hypothesis Statistics
Hypothesis-Driven
Testable Hypothesis Examples
Hypothesis Testing Flow Chart
Null Hypothesis Definition
Hypothesis Testing Steps
Anova Hypothesis Testing
Hypothesis of Study
Testing Hypotheses
Hypothesis Statement
Simple Hypothesis Examples
Alternative Hypothesis
Types of Hypothesis Tests
Hypothesis Structure
Hypothesis Case Study
Research Paper Hypothesis Sample
Hypothesis in Math
Complex Hypothesis
Hypothesis Questions
Test for Hypothesis
Hypothesis Development
Hypothesis Tree
Define Hypothesis Testing
Directional Hypothesis Examples
Explain Hypothesis Testing
How to Structure a Hypothesis
Hypothesis Function
Hypothesis Test Equation
Hypothesis Proven
Different Types of Hypothesis Testing
Hypothesis Testing Science
Hypothesis Thinking
Hypothesis Testing Matrix
Theory and Hypothesis
Hypothesis Testing Methods
Regression Hypothesis Testing
Formulate Hypothesis
A Good Hypothesis
5 Step Hypothesis Testing
Main Hypothesis
Quantitative Hypothesis Examples
Hypothesis Meaning
Developing a Hypothesis
Hypothesis Testing Alpha
Search
×
Search
Loading...
No suggestions found