Find Your Style
Women
Men
Accessories
Search for clothing, brands, styles...
×
Women
Men
Accessories
Ingrate Logo
Search
Loading...
No suggestions found
Entry #731 by thedesigner15530 for INR 20,000 Logo Design Contest for ...
freelancer.in
Entry #69 by graphicsdesign30 for INR 20,000 Logo Design Contest for ...
freelancer.in
Entry #783 by kawsarahmed21 for INR 20,000 Logo Design Contest for ...
freelancer.in
Entry #873 by shoaibmalik34 for INR 20,000 Logo Design Contest for ...
freelancer.in
Logo inr Zdjęcia - darmowe pobieranie na Freepik
pl.freepik.com
Entry #659 by iliyasmm3 for INR 20,000 Logo Design Contest for ...
freelancer.in
Entry #685 by alauddinh957 for INR 20,000 Logo Design Contest for ...
freelancer.in
Entry #784 by salina03 for INR 20,000 Logo Design Contest for ...
freelancer.in
Entry #735 by Mamun0909 for INR 20,000 Logo Design Contest for ...
freelancer.in
Entry #180 by Aronno00 for INR 20,000 Logo Design Contest for ...
freelancer.in
CA Fresher bags INR 49.20 Lakhs Package in 58th ICAI Campus Placement Event
taxscan.in
Entry #698 by LeonardoGhagra for INR 20,000 Logo Design Contest for ...
freelancer.in
Steam’s New Update Will Remove Games and DLC Priced at Below INR 82.28 ...
in.ign.com
IIT Kanpur Placement 2024: Highest Package: INR 24 LPA & Average ...
zollege.in
Government's INR 4,400 Crore Investment to Boost ECGC and Exports ...
cagpt.in
Shibani Dandekar: Rhea Chakraborty wore an INR 50,000 lehenga for ...
timesofindia.indiatimes.com
Sell Indonesian Rupiah(IDR) | Convert IDR to INR
orientexchange.in
New Nissan Magnite launched at Special Introductory Price of INR 5.99 ...
india.nissanmotornews.com
Sell Old Silver Coins Delhi Best Rate Products at price INR 3500 in New ...
labdiamondfactory.in
1 LTC to INR Converter, 1 Litecoin to INR in 2022 - Сryptocurrency-exchange
cryptocurrency-exchange.us.com
platinum etf funds in india in inr list: Latest News & Videos, Photos ...
economictimes.indiatimes.com
Bismuth subnitrate usp Products at price INR 1599 in Sao Paulo ...
indexim.in
IIT Bhubaneswar Placement 2024: Highest Package: INR 64 LPA, Average ...
zollege.in
MYR to INR Live Rate Today |Convert Malaysian Ringgits to Indian Rupees
orientexchange.in
DR.FIXIT TORCH SHIELD PRIMER (20 LT) Products at price INR 4300 in ...
curetechcivilservices.in
MYR to INR Live Rate Today |Convert Malaysian Ringgits to Indian Rupees
orientexchange.in
Ananya Panday's INR 1.5 lakh gown is proof she's Cannes red carpet ...
timesofindia.indiatimes.com
JADE Products at price INR 22701 in Indorė | Best Furniture store In Indore
wolfcasa.in
GIM Goa Placements 2024 – Average Package INR 15.6 LPA & Highest ...
careerchoice360.in
Resound Linx 3D Rechargeable in Ghatkopar Hearing Aids at price INR 0 ...
speechtherapyclinics.in
Great Lakes Chennai Placements 2024: Highest Package: INR 39.3 LPA ...
zollege.in
Afghani to INR Rate Today, AFN to Rupee Exchange Rate Today
gold-rate.co.in
Karthik Sarma — INR 26,700 Cr (SRS Investment Management) - Hurun India ...
economictimes.indiatimes.com
Anand Kamalnayan Pandit — INR 8,660 Cr (Sri Lotus Developers & Realty ...
economictimes.indiatimes.com
BTC to INR Converter, Convert Bitcoin to INR Exchange 2022 - Exchanger24
exchanger24.org
KAG ||ARCANE BLUE||48X24 Products at price INR 49 in Chennai | Hi Tech ...
hitechceramicsco.in
Apple is Selling its HidrateSpark 'Smart' Water Bottle for INR 4,600
in.ign.com
IIT Guwahati Placement 2024: Check Highest Package: INR 2.05 Crore
zollege.in
How to Use CRM Software to Integrate with Other Business Systems ...
weblink.in
Accurate In-Home PT/INR Testing | mdINR®
mdinr.com
Stunning U-shaped Kitchen Designs 2023 - Decorpot Home Interiors
decorpot.com
Integrate [log(log x)]/x - Brainly.in
brainly.in
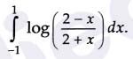
Q3.Integrate -1to1 log 2minusx by 2plusx dx
appliedmaths.in
Integration e^x (log x + 1/x^2) dx - CBSE Class 12 - Learn CBSE Forum
ask.learncbse.in
Toggle navigation
episteme10.hbcse.tifr.res.in
integrate log(2) dx from 0 to pi/2 - Brainly.in
brainly.in
Integrate log x/y base e from 0 to infinity - Brainly.in
brainly.in
Integration {1/log x – 1/(log x)2} dx explain in great detail and give ...
ask.learncbse.in
Integrate e 2logx x power 3 dx Integrate 5 2log5x Integrate 2log4x dx
appliedmaths.in
Top 15 logo trends for 2023
adobe.com
Integrate log e^x using first principles - Brainly.in
brainly.in
how to find integration of. secx.log(secx+tanx) dx - Brainly.in
brainly.in
how to integrate log(sec x) - Brainly.in
brainly.in
integral of x log x dx - Brainly.in
brainly.in
Integrate log(cos x) dx . - Brainly.in
brainly.in
integrate log{(sinx)^cosx}dx by using integration by parts - Brainly.in
brainly.in
Q8.Integrate 2x2 minus 1 by x x2 minus logx dx Integrate e2x plus 1 by ...
appliedmaths.in
integrate (log tan x/2)^2 / sinx - Brainly.in
brainly.in
integrate tan x/(log cos x)^2 - Brainly.in
brainly.in
Integration of Tan x - Explanation, Formula, Proof, Examples
adda247.com
Infinity Natural Resources (INR) - Total assets
companiesmarketcap.com
Q3.Integrate -1to1 log 2minusx by 2plusx dx
appliedmaths.in
15 Best Living Room Decor Ideas for Your Home In 2025
decorpot.com
Integrate Razorpay Payment Gateway in Laravel 12 Without Any Package ...
codehunger.in
(i) f * integrate (1 + x + x ^ 2)/(x ^ 3 * (1 + x)) dx = k/(x ^ 2) + 1 ...
brainly.in
Integrate e 2logx x power 3 dx Integrate 5 2log5x Integrate 2log4x dx
appliedmaths.in
BGIS 2026: Krafton India Reveals Schedule for the Upcoming Tournament ...
in.ign.com
Run Jump - Mocap.in
mocap.in
Integrate the following function: cot x log sin x - Brainly.in
brainly.in
Indian 5 rupees coin Images - Free Download on Freepik
freepik.com
Cryptocurrency Prices, Charts and Market Cap
suncrypto.in
Want to integrate ChatGPT with WhatsApp? Here’s how you can do it ...
livemint.com
USD/INR at Record High! Why RBI is Failing to Curb the Rupee’s Fall ...
in.investing.com
Integral logx-3/(logx)^4 - Brainly.in
brainly.in
HEKT, EVOL, INGRATE, SMERZ, Mayhem Kbh, Copenhagen , 5 April to 6 April ...
allevents.in
Warfarin: View Uses, Side Effects and Medicines
truemeds.in
Accelerating Vision 2030: India Investment Grid
investindia.gov.in
Pi Network price live today (09 Feb 2026) - Why Pi Network price is ...
economictimes.indiatimes.com
Total Environment Over the Rainbow | Over the Rainbow Total Environment ...
totalenvironment.gen.in
Hyderabad: RTA database to integrate with TGICCC to streamline vehicle ...
newsmeter.in
MyWaitlist - Integrate Waitlists in Just a Few Clicks
mywaitlist.in
Products
tamilpaal.com
USD/INR Cracks Big: Falls 2% in 4 Days! | Investing.com India
in.investing.com
Sony PlayStation 5 'Summer Promo' Starts on April 10; Will Offer ...
in.ign.com
ALUMINIUM LOUVER GLASS PARTITIONS AND GLASS HANDRAILS Products at price ...
zionandco.in
Custom Logo Kitchen Aprons | Printed & Embroidered | UniformTailor
uniformtailor.in
how to integrate 1 + tan x / x + log sec x - Brainly.in
brainly.in
Atorvastatin - Manfaat, Dosis, dan Efek Samping - Alodokter
alodokter.com
Login
schoolbook.edukee.in
How to Integrate PayPal Payment Gateway in Laravel (Step-by-Step Guide ...
codehunger.in
Integrate Bulkpe API for Payouts
bulkpe.in
Integrate Firebase Realtime Database with Laravel Without Any Package ...
codehunger.in
integration of log of tan x/2 cosec x dx - Brainly.in
brainly.in
Mini padded shoulder bag w/logo - Versace - Women | Luisaviaroma
luisaviaroma.com
Experimenting with AI locally, step one : Build & Integrate, IITM ...
allevents.in
Stand out navy blue corset top – Kostume County
kostumecounty.com
Zoom arrives on Dynamic Island of the iPhone 14 Pro, brings other ...
timesofindia.indiatimes.com
Google partners with S Chand to integrate Google Lens in textbooks ...
printweek.in
solveintegrate 1/((1 + x) * sqrt(3 + 2x - x ^ 2)) dx - Brainly.in
brainly.in
logo
auth.zepto.co.in
Sony PlayStation: Horizon Forbidden West and the Last of Us Part 2 ...
in.ign.com
Hyderabad: Dayara Aroghe ties up with ISB, AIG Hospitals to integrate ...
newsmeter.in
Hurun India 2025: 10 billionaire Indians who entered the rich list this ...
economictimes.indiatimes.com
New Year, New Look — Trendy Blouse Stitching in Chennai for Party Wear ...
tailorkadai.in
Google Maps API in React App
sparkleweb.in
integrate (sqrt tanx+ sqrt cotx) dx - Brainly.in
brainly.in
FAQ
keydroid.in
Indonesian Rupiah - Buy IDR Currency Online in India
makemytrip.com
Integral of dx/x(1+logx)^2 - Brainly.in
brainly.in
Motivational - Marwadi University
sarathi.marwadieducation.edu.in
India shining: Rupee inches closer to becoming international currency ...
timesnownews.com
CBSE mandates mental health & social emotional learning framework in ...
odishatv.in
Q2.Integrate -4to-1 1byx dx Integrate 01 1 by 2x 3 dx
appliedmaths.in
Integrate logx/xn dx - Brainly.in
brainly.in
Integrate Authorize.Net Payment Gateway in Laravel 12 Without Any ...
codehunger.in
Integrate 2 x+2 dx is equal to
iqclasses.in
Credilabs Welfare Foundation | Log in
credilabs.in
Indian Financial System, 5e by H R Machiraju
vikaspublishing.com
Organic cotton hoodie w/logo - Emporio Armani - Boys | Luisaviaroma
luisaviaroma.com
Related Searches
Integrate Io Logo
A and G Integrate Logo
Studio Integrate Logo
Inte Grate Logo
Ingress Logo
Ingrate Quotes
Integrate Logo Icon
Integrate Logo Nigeria
Integrate Logo Transparent
Auto Integrate Logo
Integrate UK New Logo
Integrate Company Logo
One Integrate Cara Logo
Logo with Integrate Lines around It
Ingrade Company Logo
Intégration Logo
Integrate App Logo
Logo Semacon Integrate
Integrate Livwstock Logo
Integrate Software Logo
Style Sync Logo
Integrate Fro Good Norristwonw PA Logo
Anouncement Logo.png Blue
Ingrate Picture
AG Integrate Logo
Ingress Xfac Logo
Logo with Integrate Lines
Integrate and Optimise Logo
Integrate and Build Logo
BioLogos Logo
Inspire Integrated Logo
Images for Ingrese Logo
Azure Ingress Logo
StudySync Logo
Integrate Logo.png
Ingrates Quotes
Integrate Tools Logo
Trills Integrate Logo
Zombie Ingrate
Integrate Logo Idea
Ingrate Meme
Integrate by Alphastruxure Logo
Integrate Associates Logo
Ingress Controller Logo
Image of Ingrate in the Dictionary
Design for Intergration Logo
Conserve Inspire Innovate Integrate Logo Vector
Ingress Group Logo
Ranch Hand Logo
Google Integrate Logos
Search
×
Search
Loading...
No suggestions found