Find Your Style
Women
Men
Accessories
Search for clothing, brands, styles...
×
Women
Men
Accessories
Inherent Risk In Nfl
Search
Loading...
No suggestions found
INR Full Form: What is full form of INR?
bankersadda.com
BUY Polkastarter (POLS)in INR on PocketBits!
pocketbits.in
Policy And Association: Tourism value at risk is INR 15 lakh crores ...
hospitality.economictimes.indiatimes.com
UAE Dirham-Rupee rate today: INR drops to near one-month vs AED amid ...
economictimes.indiatimes.com
usd to inr sbi rate: Latest News & Videos, Photos about usd to inr sbi ...
economictimes.indiatimes.com
Zopper 1 Year Screen Damage Protection Plan for Television Between INR ...
amazon.in
'There's inherent risk' - Alexi Lalas warns any that clubs pursuing ...
goal.com
Cincinnati Bengals' Joe Burrow says head injuries are an inherent part ...
espn.in
Anticoagulation in Acute Pulmonary Embolism: Which Drug? How Long ...
universimed.com
Re: Auditing: Control threat and Inherent threat - India Dictionary
1investing.in
Fillable Online 3. Warning of Inherent Risk/Dangers of Athletic ... Fax ...
pdffiller.com
Holidays Are Hard on the Heart — and the Risks Might Surprise You
everydayhealth.com
Internal Risk Assessment Guidance for Money Laundering/ Terrorist ...
taxguru.in
The NFL risks losing some of its most ardent fans | PennLive letters ...
pennlive.com
Colts Risk Repeating Browns' Mistake with Joe Flacco as Anthony ...
timesofindia.indiatimes.com
Chiefs heiress Gracie Hunt risks wrath of NFL by backing Erika Kirk's ...
msn.com
ESPN/KFF survey: NFL vets split on youth tackle football risks - ESPN
espn.in
NFL fan risks $1.3 million on Chiefs win, and Skip Bayless has thoughts ...
timesofindia.indiatimes.com
Ravindra Jadeja's 18 Crore Price Tag at CSK Questioned As Mixed IPL ...
cricxtasy.com
Hailee Steinfeld’s marriage to Josh Allen raises eyebrows over NFL ...
msn.com
“They’re Good": Shannon Sharpe Discusses the Growing Risk of ...
timesofindia.indiatimes.com
Tom Brady risks it all at Indy 500: NFL legend trades football fame for ...
msn.com
Chiefs heiress Gracie Hunt risks wrath of NFL by backing Erika Kirk's ...
msn.com
Travis Hunter and Shedeur Sanders get 'record insurance coverage' to ...
msn.com
Aaron Rodgers' magic comes with risk - NFL - ESPN
espn.in
Notifications - Reserve Bank of India
rbi.org.in
Chiefs risk controversy with "greenest green flag" Travis Kelce as ...
timesofindia.indiatimes.com
inherent risk template order Doc Template | pdfFiller
pdffiller.com
ESPN/KFF survey: NFL vets split on youth tackle football risks - ESPN
espn.in
Inherent Risk - Meaning, Example and Factors
bajajfinserv.in
Inherent Risk - Meaning, Example and Factors
bajajfinserv.in
Globalisation carries huge opportunities but also has inherent risks ...
economictimes.indiatimes.com
JJIT
jjit.net
Tattoos pose inherent risks of hepatitis, HIV and cancers, warn doctors
dtnext.in
Globalisation carries huge opportunities but also has inherent risks ...
zeenews.india.com
The elements of audit risk - India Dictionary
1investing.in
Leading Financial market data & Forecast provider | Ticker
tickermarket.com
Use of NOACs in diabetes with AF tied to decreased risk of osteoporotic ...
medicaldialogues.in
Stopping aspirin when on warfarin lowers risk of bleeding, finds JAMA study
medicaldialogues.in
What is the degree of risk inherent in these? - Important points about ...
economictimes.indiatimes.com
BNPL: The Rise and Risks of Buy Now Pay Later eBook : Guzman, JJ ...
amazon.in
FM Sitharaman flags anonymity as 'inherent risk' in use of blockchain ...
businesstoday.in
Risk Adjusted Returns - Meaning, Formula and Calculation
bajajfinserv.in
Understanding Compliance Risk: Inherent Risk and Control Risk – Banking ...
bankingschool.co.in
Basis Risk - Meaning, Types, Formula and Calculation
bajajfinserv.in
2025 NFL draft: Experts on top picks, classes, impact rookies - ESPN
espn.in
Why Derek Carr's surprise retirement has prompted questions - ESPN
espn.in
NBA, NFL, NHL, MLB weigh betting risks after Porter scandal - ESPN
espn.in
Country Risk Analysis-Meaning,Definition,Factors Effecting Country Risk ...
simplynotes.in
‘Study my brain’: NFL shooter who killed four confirmed to have CTE ...
msn.com
Do not overlook risk, and do not chase returns - Should new investors ...
economictimes.indiatimes.com
Fillable Online Assumption of Risk and Release Form - Rock Creek Park ...
pdffiller.com
Re: Auditing: Control threat and Inherent threat - India Dictionary
1investing.in
“Risks” As in Internal Audit
taxguru.in
First Advance Estimates of India’s GDP: What are They and What do the ...
vajiramandravi.com
IPOs Initial Public Offerings in 2024 Big ticket listings that failed ...
indiatoday.in
Audit RISK - AUDIT RISK RISK OF MATERIAL MISSTATEMENT INHERENT RISK ...
studocu.com
International Conference on Risk Management in Engineering via ...
iser.org.in
NFL - Players like Marc Bulger know risks, and play anyway - ESPN
espn.in
Stomach Worms: Symptoms, Causes And Treatment | Aster Blogs
asterhospitals.in
Inherent Vice Old Movie Poster: Buy Movie Posters Online – Dessine Art
dessineart.com
Re: Auditing: Control threat and Inherent threat - India Dictionary
1investing.in
Inherent Jurisdiction U/S 528 BNSS Can Be Exercised To Prevent Abuse Of ...
livelaw.in
Risikobeurteilung | Arbeitssicherheit | Leuze
leuze.com
Fillable Online Liability Release and Assumption of Risk Agreement Fax ...
pdffiller.com
Mitigating Risks in Teleconsultation Practices
medtalks.in
An Enterprise risk has been identified and documented. After the ...
brainly.in
SATHEE: Risk Management In Banking Sector
sathee.iitk.ac.in
AP Review: Google Glass a groundbreaking device, but feels bulky ...
economictimes.indiatimes.com
Nomadic Inherent FR 450 Coverall
nomadic.in
There's no questioning Cam Newton's talent, but that doesn't mean he is ...
espn.in
Inherent Flame Resistance Modacrylic Coverall, Mumbai, India
hicaresafety.in
End practice of recruiting Indians into Russian military: India to Russia
english.varthabharati.in
Risk Management System (Options Algo)
stratzy.in
The Suzuki GSX-R 1000 is Back From the Dead, and Possibly Better Than Ever
msn.com
Shamar Joseph Embodies Inherent Joy and Systemic Fault Lines of Test ...
thewire.in
The Safer Bet - BusinessToday
businesstoday.in
“Order Passed Without Determination ‘A Nullity In The Eye Of Law And ...
24law.in
Audit-7 - Provisions relating to Audit under Companies Act. - Inherent ...
studocu.com
Inherent Powers Under Rule 11 of NCLT Rules Cannot Be Used To ...
livelaw.in
SME IPO frenzy! Manic interest from retail investors, but here’s why ...
timesofindia.indiatimes.com
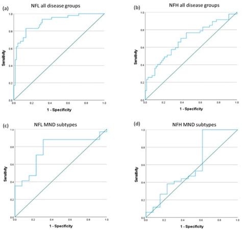
Serum Neurofilaments in Motor Neuron Disease and Their Utility in ...
mdpi.com
Associated Uniforms IFR (Inherent Fire retardant) NAVY BLUE BOILER SUIT ...
flipkart.com
X-ray filters
radiologyhub.in
Mitigating Risks in Teleconsultation Practices
medtalks.in
Low-Dose Colchicine Effective for Preventing Ischaemic Stroke and ...
medicaldialogues.in
Join the waitlist
vineco.in
How to Calculate Implied Volatility in Options Trading
truedata.in
Liberalization of FEMA Regulations for encouraging settlement of cross ...
ey.com
Magnaflux IN
magnaflux.in
No inherent or dormant racism in Oscars: Steven Spielberg
odishatv.in
Buy Safety First Aid Risk Assessment A2 Poster, Laminated Online at ...
desertcart.in
McGee on Trial for First Degree Murder: The Greatest Risks of his Life ...
amazon.in
Accused On Bail Has No Inherent Right To Travel Abroad For Pleasure Or ...
livelaw.in
Uses and SideEffects of Warfarin: What You Need to Know
medicoverhospitals.in
“PAY FOR PLAY” COLLEGIUM MAFIA AHOY !. QUASHING FIRs IS “JUDICIALLY ...
captajitvadakayil.in
SMT Suman Goyal - Nites - Risk Location 1 Fire Item covers (all the ...
studocu.com
Nomadic Inherent FR Cool Trouser
nomadic.in
Mitigating Risks in Teleconsultation Practices
medtalks.in
International Conference on Climate Change, Health Security, and ...
iser.org.in
Inherent Power U/Sec 151 CPC Can Be Invoked Only When Alternate ...
livelaw.in
Nomadic Inherent FR Cool Shirt
nomadic.in
Assam has inherent strength to fight coronavirus for next 3 months ...
indiatoday.in
World Bank Raises India's FY26 GDP Forecast To 6.5%, Slashes FY27 ...
goodreturns.in
Inherent Elegance Bracelet
tanishq.co.in
Madden NFL 26 - PS4 & PS5 Games | PlayStation (India)
playstation.com
BRSR | Hindustan Unilever Limited (HUL)
hul-performance-highlights.hul.co.in
Invasive Strategy Offers No Added Benefit in Low-Risk SCAD Patients and ...
medicaldialogues.in
Major Risks in Banking Sector: Overview, Types with Detailed Explanation
bankersadda.com
Buy M_o_r(r) Management of Risk Foundation Courseware Book Online at ...
amazon.in
How poll politics is inherent in Telangana, Bengal caste counts - India ...
indiatoday.in
'Article 142 Doesn't Empower Court To Ignore Substantive Rights Of ...
livelaw.in
Inherent investing abilities - Women's Day 2022: Why women make great ...
economictimes.indiatimes.com
Major Gen VK Singh approaches SC for supply of documents in CBI case ...
lawbeat.in
Associated Uniforms IFR (Inherent Fire retardant) ORANGE BOILER SUIT ...
flipkart.com
Buy Credit Risk Analytics with R Book Online at Low Prices in India ...
amazon.in
Inherent Flame Resistance Coverall, Inherent Flame Resistance Coverall ...
hicaresafety.in
Maruti dealers and showrooms in Ahmedabad | Kiran Maruti
kiranmotors.co.in
Stocks: Will 3 ‘I’s halt earnings revival hopes? These stocks are at ...
economictimes.indiatimes.com
Ipsos augments product testing with synthetic data – adds AI for faster ...
ipsos.com
Related Searches
Inherent Risk Assessment
Residual Risk Inherent Risk
Audit Risk
Inherent Risk Meaning
Inherent Risk Examples
Types of Audit Risk
Enterprise Risk Management Framework
Inherent Example
Regulatory Risk
Risk-Based Audit
Fair Risk Model
Fraud Risk Assessment
Inherent Risk Control Risk
Inherent Risk Spectrum
Residual Risk Rating
Inherent Definition
Define Inherent
Inherent Risk Matrix
Audit Risk Formula
Inherent Risk Icon
Inherent Risk Template
Risk Register Excel
Business Risk Clip Art
Internal Audit Risk Assessment
Detection Risk
Inherent Risk Score
External Risk
Inherent Risk Explained
Risk Appetite
Inherent Defect
Risk Control Diagram
Inherent Risk 中文
System Inherent Risk
Inherent Data Risk
Inherent Risk during Research
Inherent Risk vs Residual Risk
Secondary Risk
Risk-Taking Business
Risk Severity Matrix
Risk Vector
Inherent Risk Factors
Compliance Risk Process
Inherent Risk Calculation
Business Disclosure
Risk Inherent Approach
Inherent Risk Questionnaire Examples
OHS Risk Matrix
Inherent Risk Magnitude
Risk Category
Inherent Risk Visual for It
Search
×
Search
Loading...
No suggestions found