Find Your Style
Women
Men
Accessories
Search for clothing, brands, styles...
×
Women
Men
Accessories
Inherit Definition
Search
Loading...
No suggestions found
INR (Indian Rupee) - Definition, What is INR (Indian Rupee), Advantages ...
cleartax.in
INR (Indian Rupee) - Definition, What is INR (Indian Rupee), Advantages ...
cleartax.in
INR (Indian Rupee) - Definition, What is INR (Indian Rupee), Advantages ...
cleartax.in
INR (Indian Rupee) - Definition, What is INR (Indian Rupee), Advantages ...
cleartax.in
INR (Indian Rupee) - Definition, What is INR (Indian Rupee), Advantages ...
cleartax.in
INR (Indian Rupee) - Definition, What is INR (Indian Rupee), Advantages ...
cleartax.in
Real Weddings: Inside An INR 55 Crore Wedding! – India's Wedding Blog
weddingsonline.in
Real Weddings: Inside An INR 55 Crore Wedding! – India's Wedding Blog
weddingsonline.in
Chromosomal Theory of Inheritance
careerpower.in
Polygenic Inheritance - Definition, Characteristics, and Examples
careerpower.in
Inheritance of Two Genes, Polygenic Inheritance and Pleiotropy ...
edurev.in
Polygenic Inheritance: Characteristics, Examples, Practice Problems and ...
aakash.ac.in
Definition of X-linked dominant inheritance - NCI Dictionary of ...
cancer.gov
Features of Object Oriented Programming - OOP and Java
cse.poriyaan.in
Mitochondrial gene mutations and human diseases - Mitochondrial Inheritance
pressbooks.justwrite.in
Inheritance: Basics - Definition, Concept, Advantages, Syntax
cse.poriyaan.in
Mendel's Laws Of Inheritance And Chromosomal Theory Of Inheritance ...
sciencevision.in
Polygenic Inheritance - Definition, Characteristics, and Examples
careerpower.in
Basic concepts of genetics I — lesson. Science State Board, Class 10.
yaclass.in
TEST 14 - 28 Molecular Basis of Inheritance FACT/DEFINITION TYPE ...
studocu.com
Dihybrid cross - Inheritance of two genes — lesson. Science State Board ...
yaclass.in
Single Inheritance in Java: Definition, Examples & Benefits
ccbp.in
23IT1301 - OOPs - Unit - 2 - Panimalar Engineering College Department ...
studocu.com
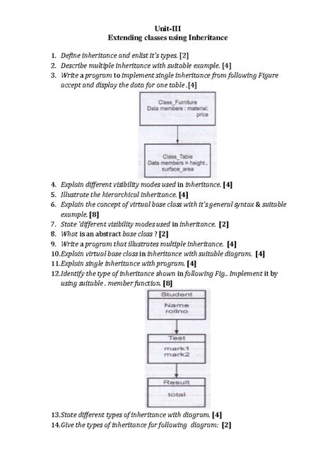
Chapter-03-1 - Assignment - Unit-III Extending classes using ...
studocu.com
Oops with java UNIT IV - java concepts - UNIT-IV Interfaces: Multiple ...
studocu.com
Polygenic Inheritance - Definition, Characteristics, and Examples
careerpower.in
Features of Object Oriented Programming - OOP and Java
cse.poriyaan.in
Principles of Inheritance and Variation ncert solution class 12 Biology
shapefuture.in
What is Inheritance? Definition in C++ Tamil - linto.in
linto.in
ABAP Objects - Achieve Multiple Inheritance using Interfaces
zevolving.com
Aasan Solution: Question: Describe concept of multiple inheritance with ...
aasansolution.in
Genes and Inheritance Match and Draw (teacher made) - Twinkl
twinkl.co.in
Class in Python – Girish Godage
girishgodage.in
Polygenic Inheritance: Characteristics, Examples, Practice Problems and ...
aakash.ac.in
Polygenic Inheritance: Characteristics, Examples, Practice Problems and ...
aakash.ac.in
Hierarchical Inheritance : Example
minigranth.in
Inherited Characteristics – Learning Resource - Twinkl
twinkl.co.in
Difference Between Heredity And Inheritance in Biology: Definition ...
aakash.ac.in
Multiple Inheritance - Definition, Concept, Syntax, Implementation ...
cse.poriyaan.in
Polygenic Inheritance: Characteristics, Examples, Practice Problems and ...
aakash.ac.in
monohybrid cross inheritance one gene in biology: Definition, Types and ...
aakash.ac.in
Polygenic Inheritance: Characteristics, Examples, Practice Problems and ...
aakash.ac.in
Polygenic Inheritance - Definition, Characteristics, and Examples
careerpower.in
Polygenic Inheritance - Definition, Characteristics, and Examples
careerpower.in
Define Inherit, Inherit Meaning, Inherit Examples, Inherit Synonyms ...
smartvocab.in
Define Inherit, Inherit Meaning, Inherit Examples, Inherit Synonyms ...
smartvocab.in
Inherited vs Environmental Characteristics Display Poster
twinkl.co.in
Polygenic Inheritance: Characteristics, Examples, Practice Problems and ...
aakash.ac.in
Polygenic Inheritance - Definition, Characteristics, and Examples
careerpower.in
Polygenic Inheritance - Definition, Characteristics, and Examples
careerpower.in
Polygenic Inheritance: Definition, Overview, Meaning, Examples, Plants ...
careers360.com
Inheritance - Lecture notes 5 - C++ Inheritance In C++, inheritance is ...
studocu.com
Polygenic Inheritance - Definition, Characteristics, and Examples
careerpower.in
Polygenic Inheritance - Definition, Characteristics, and Examples
careerpower.in
Polygenic Inheritance - Definition, Characteristics, and Examples
careerpower.in
Polygenic Inheritance - Definition, Characteristics, and Examples
careerpower.in
UNIT 2 - QB - jhjg - Unit - 2 Two Marks Questions with Answers Q Define ...
studocu.com
Principles of Inheritance and Variation ncert solution class 12 Biology
shapefuture.in
Inheritance and Biological Characterization of an Orange-nymph Mutant ...
mdpi.com
Polygenic Inheritance - Botany Optional for UPSC PDF Download
edurev.in
What is Mutation? Definition of Mutation, Mutation Meaning - The ...
economictimes.indiatimes.com
Sexing Of Human Updates To Private Media #708
superadmin.kalaignarcentenarylibrary.tn.gov.in
Write a program in java using inheritance - LAB 9 1 a program in Java ...
studocu.com
Polygenic Inheritance - Definition, Characteristics, and Examples
careerpower.in
Polygenic Inheritance - Definition, Characteristics, and Examples
careerpower.in
Histiocytosis Program Spit for a Cure: New Study to Define the Role of ...
texaschildrens.org
Sources of Water
careerpower.in
ABAP Objects - Achieve Multiple Inheritance using Interfaces
zevolving.com
Polygenic Inheritance - Definition, Characteristics, and Examples
careerpower.in
explain the result of Mendel monohybrid cross - Brainly.in
brainly.in
Polygenic Inheritance - Definition, Characteristics, and Examples
careerpower.in
04 Interface - Inheritance - JAVA PROGRAMMING INTERFACE. Interface ...
studocu.com
Simple present tense of inherit in Telugu | ltsenglish.com
ltsenglish.com
What is Technical Analysis? Definition of Technical Analysis, Technical ...
economictimes.indiatimes.com
define chromosome theory inheritance. - Brainly.in
brainly.in
JAVA Notes mid 2 - you can learn it for your semister exams - JAVA UNIT ...
studocu.com
Polygenic Inheritance - Definition, Characteristics, and Examples
careerpower.in
What is Risk Management? Definition of Risk Management, Risk Management ...
economictimes.indiatimes.com
Polygenic Inheritance - Definition, Characteristics, and Examples
careerpower.in
Polygenic Inheritance - Definition, Characteristics, and Examples
careerpower.in
Define each of the following terms - supertype b. subtype c ...
studocu.com
Ratio and Proportion - Definition, Examples and Formulas
sscadda.com
International Law - International Law Definition International law ...
studocu.com
OOP FFF micro - AIM OF PROJECT To explore the concept and implications ...
studocu.com
What is Inheritance? Definition in C++ Tamil - linto.in
linto.in
Polygenic Inheritance - Definition, Characteristics, and Examples
careerpower.in
Int'l Inheritance Search & Legal Assistance | Metaforce Integrated Services
metaforce.co.in
C++ - fjkyuhijk - Learning Objectives: Base & Derived Classes Define ...
studocu.com
DNA Heritage in geopolitics | Meer
meer.com
D'Angelo dead at 51: What was the Grammy-winning R&B legend’s net worth ...
msn.com
Features of Object Oriented Programming - OOP and Java
cse.poriyaan.in
What is Trade Deficit? Definition of Trade Deficit, Trade Deficit ...
economictimes.indiatimes.com
define chromosome theory inheritance. - Brainly.in
brainly.in
Difference Between DNA and RNA in Biology: Definition, Types and ...
aakash.ac.in
Enantiomers: Definitions, Examples, Properties, Representation ...
collegesearch.in
Polygenic Inheritance - Anthropology Optional for UPSC PDF Download
edurev.in
Polygenic Inheritance - Definition, Characteristics, and Examples
careerpower.in
8th Pay Commission: DA calculation will change! The government can ...
msn.com
Cover - Mitochondrial Inheritance
pressbooks.justwrite.in
MSME Full Form, What is MSME? Definition & MSME Loan Scheme
bankersadda.com
KS2 Tikkun Olam Powerpoint (teacher made) - Twinkl
twinkl.co.in
Children Property Right: 6 cases in which you, your children lose right ...
economictimes.indiatimes.com
New definition of Small Company- Applicable from FY 2021-22 onwards
taxguru.in
C++ - fjkyuhijk - Learning Objectives: Base & Derived Classes Define ...
studocu.com
D'Angelo dead at 51: What was the Grammy-winning R&B legend’s net worth ...
msn.com
Control Memory - Computer Organization and Architecture | EduRev Notes
edurev.in
Purchase Orders: How to Create Them (+ Free Template) - Shopify India
shopify.com
GST- Export to Nepal & Bhutan – Critical Questions Answered
taxguru.in
BGT 2024/25: Jaiswal will inherit mantle of Kohli, Tendulkar - Greg ...
msn.com
Startup India-Definition, Recognition, Benefits and FAQs
taxguru.in
Online Engineering Videos for Design of Structural Analysis-II
magicmarks.in
ABAP Objects Design Patterns - Factory Method | ABAP Help Blog
zevolving.com
Exploring the Golden Ratio in Film and Photography
purposestudios.in
Incoterms explained: Meaning, types, usage, and benefits
sell.amazon.in
Environmental Lapse Rate Vs Adiabatic Lapse Rate | Atmospheric Stability
apsed.in
Jaypee Brothers Publication A Guide To Mental Health & Psychiatric ...
shop.exam360.in
Single Inheritance : Example
minigranth.in
Solar System Planets, Definition, Diagram, Names, Facts
studyiq.com
Richest Feline On The Planet? Karl Lagerfeld’s Cat Choupette Might ...
indiatimes.com
Sources of Water
careerpower.in
Related Searches
Low INR
INR Scale
What Is INR
PT/INR Testing
INR Meaning
INR Ratio
INR Medical
INR Medical Term
PT/INR Test
INR Equation
INR Blood Test
INR Results
Normal INR
INR Coagulation
Elevated INR Causes
INR Means
Abnormal INR
Coumadin PT/INR Levels
INR Formula
INR Medical Abbreviation
INR 2
Home INR Machine
INR Calculation Formula
INR Stands For
Prothrombin Time-Range
Blood INR Chart
INR Interpretation
INR Number
Elevated INR Treatment
INR Therapeutic Range
INR Values Range
PT/INR Procedure
International Normalized Ratio INR
Anticoagulant Definition
INR Factors
Critical Lab Values Chart
aPTT Lab
INR Warfarin Dosing
INR in Medicine
What Should My INR Be
INR DVT
INR What Is It
INR Reversal Guidelines
Coumadin Flow Sheet Template
Partial Thromboplastin Time
How to Compute INR
Point of Care INR
How to Do an INR
Coagulation Profile
INR Bundles
Search
×
Search
Loading...
No suggestions found