Find Your Style
Women
Men
Accessories
Search for clothing, brands, styles...
×
Women
Men
Accessories
Iniquality Problem
Search
Loading...
No suggestions found
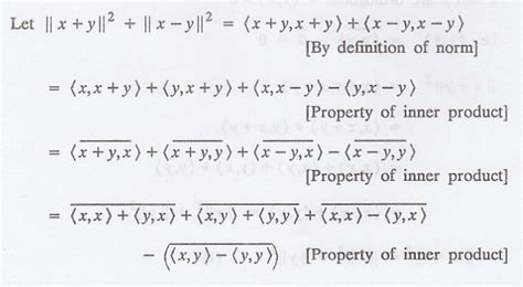
Cauchy-Schwarz inequality, Triangle inequality
ece.poriyaan.in
India's Inequality Problem | The India Forum
theindiaforum.in
Study of an Inequality Problem from an Olympiad - Part 1 - ePrints@APU
publications.azimpremjiuniversity.edu.in
Cauchy-Schwarz inequality, Triangle inequality
ece.poriyaan.in
Income Inequality: The Socioeconomic Divide and Its Economic Impacts ...
kehana.in
Cauchy-Schwarz inequality, Triangle inequality
ece.poriyaan.in
Income Inequality: Causes, Consequences, and Policy Solutions
fairgaze.com
Cauchy-Schwarz inequality, Triangle inequality
ece.poriyaan.in
Cauchy-Schwarz inequality, Triangle inequality
ece.poriyaan.in
Trends in Economic Inequality in India | The India Forum
theindiaforum.in
Cauchy-Schwarz inequality, Triangle inequality
ece.poriyaan.in
Convergence analysis of penalty based numericalmethods for constrained ...
studocu.com
Cauchy-Schwarz inequality, Triangle inequality
ece.poriyaan.in
Cauchy-Schwarz inequality, Triangle inequality
ece.poriyaan.in
Cauchy-Schwarz inequality, Triangle inequality
ece.poriyaan.in
Cauchy-Schwarz inequality, Triangle inequality
ece.poriyaan.in
Cauchy-Schwarz inequality, Triangle inequality
ece.poriyaan.in
Income Inequality in India
finshots.in
Patterns of Social Inequality and Exclusion Class 12 Sociology
edurev.in
Cauchy-Schwarz inequality, Triangle inequality
ece.poriyaan.in
Seventh Grade One-Step Inequality Word Problems
twinkl.co.in
Cauchy-Schwarz inequality, Triangle inequality
ece.poriyaan.in
View question - Please help with another linear inequality problem
web2.0calc.com
India's Inequality Problem | The India Forum
theindiaforum.in
Cauchy-Schwarz inequality, Triangle inequality
ece.poriyaan.in
Overview: Inequalities - Quantitative Aptitude (Quant) - CAT PDF Download
edurev.in
India's Inequality Problem | The India Forum
theindiaforum.in
Cauchy-Schwarz inequality, Triangle inequality
ece.poriyaan.in
Inequality problem only non medical students can solve it - Brainly.in
brainly.in
Solved Problem on Clausius Inequality - Second Law of Thermodynamics
mech.poriyaan.in
state whether the given ordered pair is a solution of given system of ...
brainly.in
50+ Two-Step Inequalities worksheets for 2nd Class on Quizizz | Free ...
quizizz.com
Seventh Grade Two-Step Inequality Word Problems - Twinkl
twinkl.co.in
Eighth Grade Graphing Linear Inequalities in Two Variables Word Problems
twinkl.co.in
Inequalities Word Problems | Math Resource | Twinkl USA
twinkl.co.in
Well-Crafted Linear Inequalities Word Problems | Twinkl USA
twinkl.co.in
Inequality (Direct and Coded) Shortcuts for IBPS RRB PO and Clerk 2025
bankersadda.com
Split Systems of Nonconvex Variational Inequalities and Fixed Point ...
mdpi.com
Graphing Linear Inequalities Worksheet | Twinkl USA - Twinkl
twinkl.co.in
Global Science Press: Two-Level Defect-Correction Method for Steady ...
global-sci.com
Fumio Kishida Plans to Fix Japan’s Gender Inequality Problem | Vantage ...
firstpost.com
Buy Is Inequality the Problem? Book Online at Low Prices in India | Is ...
amazon.in
Writing Two Step Inequalities From Word Problems Worksheet - Fill ...
pdffiller.com
Trends in Economic Inequality in India | The India Forum
theindiaforum.in
The real problem is of unequal opportunities: Maitreesh Ghatak
forbesindia.com
Does Canada have an income-inequality problem?
forbesindia.com
Sixth Grade Inequalities on a Number Line Practice Activity
twinkl.co.in
Oxfam scandal: Development work has an inherent inequality problem ...
scroll.in
Systems of Inequalities Worksheet Word Problems | Twinkl USA
twinkl.co.in
👉 Representing Inequalities Graphically Resource Pack | Beyond
twinkl.co.in
Trends in Economic Inequality in India | The India Forum
theindiaforum.in
quadratic equation को Solve करने की Best tricks - Government Jobs ...
examgoalguru.in
Problem Set: Inequalities Video Lecture - Quantitative for GMAT
edurev.in
Buy Frank Einstein and the BrainTurbo (Frank Einstein series #3): The ...
amazon.in
From British Raj to Billionaire Raj: How India's income inequality is ...
businesstoday.in
Cauchy-Schwarz inequality, Triangle inequality
ece.poriyaan.in
INEQUALITY IN INDIA | IAS Gyan
iasgyan.in
Wealth Inequality In India | NewsClick
newsclick.in
Identify which is an exponential function, equation or inequality or if ...
brainly.in
Buy The Psychology of Poverty, Wealth, and Economic Inequality Book ...
amazon.in
Quadratic Inequality Problem:One leg of a right triangle is 7cm shorter ...
brainly.in
Cauchy-Schwarz inequality, Triangle inequality
ece.poriyaan.in
Wealth Inequality in a Capitalist Society | NewsClick
newsclick.in
Gender inequality behind mental health problems in Uttarakhand: BMJ Survey
medicaldialogues.in
Variational Inequality Problems in H-Spaces - ethesis
ethesis.nitrkl.ac.in
Cauchy-Schwarz inequality, Triangle inequality
ece.poriyaan.in
50+ Solving Inequalities worksheets for 4th Class on Quizizz | Free ...
wayground.com
Either - Or (Coded Inequality) Practice set - 2 Video Lecture ...
edurev.in
In 75 Years, India’s Education Policies Have Failed to Eradicate ...
thewire.in
Buy The Management of Limb Inequality (Current Problems in Orthopaedics ...
amazon.in
Obesity getting bigger in India: One in every four has a weight problem ...
indiatoday.in
Global Science Press: Analysis of Rothe Method for a Variational ...
global-sci.com
Cauchy-Schwarz inequality, Triangle inequality
ece.poriyaan.in
Inequality Is Out Of Control In India And It May Get Worse, Says Former ...
indiatimes.com
50+ Solving Inequalities worksheets for 2nd Class on Quizizz | Free ...
wayground.com
3 Charts That Show How Income Inequality Is Hurting America | Business ...
businessinsider.in
Yes, India has massive income inequality – but it isn't the second-most ...
scroll.in
Trends in Economic Inequality in India | The India Forum
theindiaforum.in
50+ Solving Inequalities worksheets for 1st Class on Quizizz | Free ...
wayground.com
50+ Solving Inequalities worksheets for 1st Class on Quizizz | Free ...
wayground.com
50+ Ordering Numbers 0-10 worksheets for 7th Class on Quizizz | Free ...
quizizz.com
20 Count to infinity problem in DV Routing Route Poisoning Split ...
studocu.com
In Charts: Inequality in India Among Highest in the World, Top 1% Holds ...
thewire.in
Buy Tourism and Inequality: Problems and Prospects Book Online at Low ...
amazon.in
Grade R: Word Problems to 10 Around the House
twinkl.co.in
Geometric Inequalities: Methods of Proving (Problem Books in ...
amazon.in
Causius Inequality - Second Law of Thermodynamics
mech.poriyaan.in
View question - Solve the inequality $\frac{29}{289}z
web2.0calc.com
Inequality Word Problems Worksheet With Answers Pdf - Fill Online ...
pdffiller.com
Problem Defining and Solving Problem - Intelligent Agents and Problem ...
cse.poriyaan.in
Buy Tracing the Relationship between Inequality, Crime and Punishment ...
amazon.in
Fighting Inequality And Discrimination Against Women Is Founding Stone ...
indiatimes.com
Relaxed Projection Methods with Self-Adaptive Step Size for Solving ...
mdpi.com
India among top countries with high income, wealth inequality: new UNDP ...
economictimes.indiatimes.com
Buy Tourism and Inequality: Problems and Prospects Book Online at Low ...
amazon.in
Fillable Online Inequality Constraint or Condition Word Problems Guided ...
pdffiller.com
50+ Solving Inequalities worksheets for 4th Class on Quizizz | Free ...
wayground.com
The feasible region for LPP is shown shaded in the figure. Let f =3 x ...
tardigrade.in
The Problem of Social Inequality : McNall, Scott G.: Amazon.in: Books
amazon.in
The real problem is of unequal opportunities: Maitreesh Ghatak
forbesindia.com
Wealth, Power and Inequality in World History: Volume 1 : Farr, James R ...
amazon.in
Does India have an inequality problem? – CEDA
ceda.ashoka.edu.in
Use the drawing tools to graph the solution to this system of ...
brainly.in
The Reproduction of Inequality: How Class Shapes the Pregnant Body and ...
amazon.in
Budget 2020: Niti Aayog shocker; Poverty, hunger and income inequality ...
businesstoday.in
50+ Solving Inequalities worksheets for 3rd Class on Quizizz | Free ...
wayground.com
"The Future of Digital Work: The Challenge of Inequality" by Rajendra K ...
research.iimb.ac.in
Law and Gender Inequality: Buy Law and Gender Inequality by Agnes ...
flipkart.com
Inequality and COVID-19 – IMF F&D
imf.org
Trends in Economic Inequality in India | The India Forum
theindiaforum.in
Addition and Subtraction Word Problems to 10 I Resource
twinkl.co.in
Inequalities in Health: Which inequalities exist and why this is seen ...
amazon.in
'Goes back to decline of Kolkata': Sanjeev Sanyal flags India's real ...
businesstoday.in
Buy SpongeBob Comics: Book 3: The Case of R.B.G. vs. Inequality Book ...
amazon.in
In Charts: Inequality in India Among Highest in the World, Top 1% Holds ...
thewire.in
Income and Wealth Inequalities: Challenges and Problems - Indian books ...
ibpbooks.in
Buy Inequality and Justice (Social Problems) Book Online at Low Prices ...
amazon.in
Grade R Maths: Dinosaur Word Problems to 10 (teacher made)
twinkl.co.in
Inequality in India Is Too Glaring to Be Hidden behind Numbers
liberation.org.in
Buy Reducing Inequality: Addressing the Wicked Problems Across ...
amazon.in
Related Searches
Inequality Math Problems
Inequality Rules
Inequality Word Problems
Inequality Word Problems Worksheet
Solve Inequality
Inequality Questions
Solving Inequality
Linear Inequality Word Problems
Graphing Linear Inequality
Inequality Signs
Quadratic Inequality Word Problems
Or Inequality
How to Solve Inequality
Inequality. Graph
Writing Inequalities Worksheet
Compound Inequality Worksheet
Two-Step Inequalities
Inequality Practice Problems
Inequality Symbols
One Step Inequality Word Problems
How to Check Inequality Problems
Example of Inequality
Inequality Story Problems
Difficult Inequality Problems
Inequality Statement
Inequality Act Problem
Hard Inequality Problems
Inequality Interval Notation
Finding Inequality
Graph Inequalities On Number Line
What Is Inequality in Math
Advanced Inequality Problems
Inequality Equations
Inequality Problems to Slove
Inequality Math Symbol
Multi-Step Inequality
Algebra Inequality Worksheets
Inequality Equation Calculator
Inequalities Math Examples
Rational Inequalities
One Variable Inequality. Graph
Basic Inequality
Inequality No More Than
Inequality Problems Psychology
Inequality Definition
How to Solve Algebraic Inequalities
Methods of Solving Inequality Problems
Inequality Laws
One Step Inequalities
Inequality Problems Examples
Search
×
Search
Loading...
No suggestions found