Find Your Style
Women
Men
Accessories
Search for clothing, brands, styles...
×
Women
Men
Accessories
Intamin 10 Inversion
Search
Loading...
No suggestions found
10 best bottles of whiskey in India under INR 3000 to add to your home bar
lifestyleasia.com
WPL Auction: Deepti Sharma sold to UP Warriorz for INR 2.6 crore ...
newsd.in
Best whiskey bottles under INR 900 to add to your home bar
lifestyleasia.com
Best Women Watches Under INR 15K | LBB
lbb.in
Ugro Capital Crosses Inr 10000 crore aum milestone launches 10k ...
psuconnect.in
HFCL Secures Landmark Deal from BSNL: Bags Purchase Order Worth INR 141 ...
hfcl.com
BTC to INR Converter, Convert Bitcoin to INR Exchange 2022 - Exchanger24
exchanger24.org
Indian Rupee (₹) - Buy INR Currency Online at Best Rates
makemytrip.com
Fries For INR 10 | LBB, Delhi
lbb.in
Pi Coin Price Today, Pi Coin to INR live price, marketcap and chart
suncrypto.in
Villas For Less Than INR 10,000 In Maharashtra | LBB, Mumbai
lbb.in
Best Women Watches Under INR 15K | LBB
lbb.in
Starbucks Coffee For Just INR 100 | LBB, Chennai
lbb.in
Kingfisher For INR 10, Bira For INR 25 And More At This Andheri East ...
lbb.in
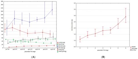
Extended Precordial T Wave Inversions Are Associated with Right ...
mdpi.com
Extended Precordial T Wave Inversions Are Associated with Right ...
mdpi.com
Extended Precordial T Wave Inversions Are Associated with Right ...
mdpi.com
India shining: Rupee inches closer to becoming international currency ...
timesnownews.com
POUND TO RUPEE TODAY AND FORECAST
dollarrupee.in
How Indian Rupee Stands Against Other Major Currencies
indiatimes.com
10 Best Inversion Yoga Poses, How to Perform & Benefits
godigit.com
Aster India reports strong revenue and EBITDA performance. Q1 FY25 ...
asterhospitals.in
Beginners Guide To Inversions w/Michelle , Bodhi Hot Yoga, St. John's ...
allevents.in
Enhanced Whale Optimization Algorithm for Improved Transient ...
mdpi.com
Diplomado Inversión En Bolsa | Euroinnova
euroinnova.com
Arm Balances & Inversions with Monica Arellano, The Vinyasa People Yoga ...
allevents.in
Enhanced Whale Optimization Algorithm for Improved Transient ...
mdpi.com
Inversions 2day Yoga Workshop, 136.1 Yoga Studio, Chennai, 29 April to ...
allevents.in
Temperature and Temperature inversion
iasnotes.in
Uterine inversion, causes, signs and sypmptoms and treatment - UTERINE ...
studocu.com
Temperature Inversion, Causes, Types, Diagram, Effects, Examples
studyiq.com
Temperature Inversion with Complete Concept and Impact
apsed.in
ORTHOTICS PROSTHETICS RESEARCH
kmomocha.in
Top 10 Inversion Systems of 2023 - Best Reviews Guide
in.bestreviews.guide
inversions of four-bar chain - Kinematics of Mechanisms - Theory of ...
mech.poriyaan.in
inversions of single slider-crank chain - Kinematics of Mechanisms ...
mech.poriyaan.in
Lateral inversion — lesson. Science State Board, Class 9.
yaclass.in
तापमान व्युत्क्रमण: प्रकार एवं मौसम पर प्रभाव (Temperature Inversion ...
hindiarise.com
Fundamentals of Arm Balances and Inversions with Ted Lardner, Cleveland ...
allevents.in
Temperature Inversion and Air Pollution | AQI India
aqi.in
Arm Balances and Inversions Workshop with Richard Dampney, Crescent ...
allevents.in
How does the phenomenon of lateral inversion occurs? - EduRev Class 10 ...
edurev.in
Temperature Inversion and Air Pollution | AQI India
aqi.in
What is lateral inversion?with the help of a diagram show the ...
brainly.in
Buy Airsoft Guns, Gear & Accessories Online | Ubuy India
ubuy.co.in
Mumbai: BMC Blames 'Thermal Inversion' For Fog-Like Situation In City ...
freepressjournal.in
Inversión: ¿Qué es una EAFI? Asesoramiento profesional.
dev.comparativadebancos.com
Atelier plein air confiance en soi et inversions yoga, Jardin des ...
allevents.in
Virtual Labs
mm-nitk.vlabs.ac.in
Why lateral inversion takes place in plane mirror - Brainly.in
brainly.in
Inversions Demystified w/ Chris & Jess, 823-F Ann St, Stroudsburg, PA ...
allevents.in
Yoga Alignment Lab: Inversions, 1360 Valencia St, San Francisco, 5 ...
allevents.in
Lift Your Asana: Inversions Workshop, 325 E Jimmie Leeds Rd, Galloway ...
allevents.in
Differentiate between.Paracentric inversion and pericentric inversion ...
brainly.in
Inversions & Arm Balances Workshop, 4242 Camino del Rio N, San Diego ...
allevents.in
Coagulation Analyzer - Micropoint Q3 Pro Electrometer PT-INR Trader ...
r2healthcare.in
Arm Balances & Inversions Workshop with Carolina Vivas, 7843 Girard Ave ...
allevents.in
Temperature and Temperature inversion
iasnotes.in
TOMAN to INR: Convert IRR (TOMAN) to Indian Rupee (INR) | Coinbase ...
coinbase.com
विधिशास्त्र का परिचय - hindi iPleaders
hindi.ipleaders.in
inversions of double slider-crank chain - Kinematics of Mechanisms ...
mech.poriyaan.in
Temperature Inversion and Air Pollution | AQI India
aqi.in
Gr. R Phonics: S Flashcards (teacher made) - Twinkl
twinkl.co.in
Intro to Inversions with Vesse & May, The Green Room: A Yoga & Wellness ...
allevents.in
Grade R Transportation 2D Shapes
twinkl.co.in
Buy Doms Wax Crayons 10 Shades at 7.80 INR. - Rapid...
rapiddeliveryservices.in
In `R_1 = 10 Omega, R_2 = 40 Omega and R_3 = 30 Omega, R_4 = 20 Omega ...
allen.in
Buy Airsoft Guns, Gear & Accessories Online | Ubuy India
ubuy.co.in
Buy Airsoft Guns, Gear & Accessories Online | Ubuy India
ubuy.co.in
A New Seismic Inversion Scheme Using Fluid Dispersion Attribute for ...
mdpi.com
Stand out navy blue corset top – Kostume County
kostumecounty.com
Ropa de diseñador para mujer, ropa para hombre, zapatos y carteras ...
mx.saks.com
Juego Sonido Inicial: Letra R (teacher made) - Twinkl
twinkl.co.in
why is the word ambulance printed laterally inverted on an ambulance ...
brainly.in
About Us - Inversion Management Services Pvt. Ltd.
inversionms.in
How Indian Rupee Stands Against Other Major Currencies
indiatimes.com
Rupee likely to go to 81 82 to the US dollar, or even higher. Here’s ...
businesstoday.in
Characteristics and types of temperature inversions - Environmental ...
studocu.com
Curso de IA aplicada al Sector Inmobiliario para dejar de perder tiempo ...
hainok.com
BBVA AM firma los Principios de Inversión Responsable | BBVA
bbva.com
重庆乐和乐都主题公园(重庆野生动物世界) - Klook India
klook.com
ILT20 auction: Complete list of players sold and their prices | Cricket ...
crickettimes.com
India and Malaysia can now trade in Indian rupee
currentaffairs.adda247.com
Technology - Sport Entertainment
sportentertainment.in
10.jpg
diamondtimes.in
Protect HS Code for Export & Import | Protect Trade HS Codes
seair.co.in
The variation of radial probability density `R^2` (r) as a function of ...
allen.in
The circuit has resistors of equal resistance R. The equivalent ...
allen.in
Four identical resistance are joined as shown in fig. the equivalent ...
allen.in
Back To Black: | Grazia India
grazia.co.in
Inversión extranjera directa crece 5,7% en México. - Comecuamex
comecuamex.com
Expo Inversión Colombia 2012
nferias.com
USD/INR Breaking Imp. Trendline; Is Nifty 50 Topping Out? | Investing ...
in.investing.com
Buy Inversions: Catalogue of Calligraphic Cartwheels Book Online at Low ...
amazon.in
Inversions: Jazz Guitar Stylists: Various Artists: Amazon.in: Music}
amazon.in
draw an example diagram for lateral inversion - Brainly.in
brainly.in
Accounting for Management: Text and Cases, 3e by S.K. Bhattacharyya ...
vikaspublishing.com
Spherical Inversion on SLn(R) (Springer Monographs in Mathematics ...
amazon.in
How K.R. Narayanan's Fidelity to Constitutional Values Led Him to ...
thewire.in
Young Lions Obstacle Course - Northwest Arkansas - 2025, Jb Hunt Park ...
allevents.in
Turisme de primera, serveis de segona - Canal 10 Empordà
canal10.cat
The variation of radial probability density `R^2` (r) as a function of ...
allen.in
Data analysis using R and Python | R
r.fossee.in
Mahindra launches All-New Veero, setting new standards in the LCV
zeebiz.com
buy EDTA Phlebotomy Vacuum Blood Collection Tube online – Microsidd India
microsidd.com
A traveler on a visit to India is in need of some Indian Rupees (INR ...
brainly.in
US Military To Deploy Navy Ships, USS Gerald R Ford Closer To Israel To ...
timesnownews.com
R-Controlled Vowels Sorting Cards for 2nd-3rd Grade
twinkl.co.in
Mahindra launches All-New Veero, setting new standards in the LCV
zeebiz.com
A conducting sphere `A` of radius `a`, with charge `Q`, is placed ...
allen.in
10_1712911995.jpg
diamondtimes.in
The variation of radial probability density `R^2` (r) as a function of ...
allen.in
tp_10_1.jpg
sxcepatna.edu.in
Two identical balls `A` and `B`. each of mass `2 kg` and radius `R ...
allen.in
NEW WAGON R
abtmaruti.com
Russian crypto ban proposal draws denunciations from Telegram’s Durov ...
cryptopanic.com
Andhra University | Dr. B.R. Ambedkar Chair Home
andhrauniversity.edu.in
Intel Core i5-10310U - Specs, Benchmark Tests, Comparisons, and Laptop ...
laptopmedia.com
MP Board Class 10 Blueprint of Question Papers & Exam Pattern 2020
jagranjosh.com
Vegetable cartoon Images - Free Download on Freepik
freepik.com
Related Searches
PT/INR Test
Normal INR
10 INR Note
INR Ratio
INR Blood
10 INR Bill
PT/INR Meaning
فحص INR
Elevated INR Treatment
10 INR PNG
INR 10 Means
INR Levels Chart
INR 10 RS
INR 10 Crores
Ideal INR
High INR Treatment
Coumadin INR Levels Chart
10 INR Banknote
INR 10 CR Money
Warfarin Inr
10 INR Bill Back
10 INR Note in Wallet
INR of 6
10 Cents to INR
INR Normal Range
Coumadin INR Dosing Chart
10 INR Note Held by Hand
10 INR Temple
Elevated INR Causes
Warfarin INR. Check
Supratherapeutic INR
Warfarin 1Mg Tablets
INR 5
Warfarin Inr Guidelines
10 INR Bill Front
INR Calculator
INR 10 CR Cheque
INR Therapeutic Range
Warfarin 5Mg
INR Currency
INR Rango
USD INR 10 Year Chart
10 INR Note in Natural Light
10 Carod INR
10 INR Note On Wood Surface
10 INR Note with Coffee Cup
10 Rupees INR
Coumadin 5 Mg
10000 INR Note
INR Reversal
Search
×
Search
Loading...
No suggestions found