Find Your Style
Women
Men
Accessories
Search for clothing, brands, styles...
×
Women
Men
Accessories
Integer Data Cell
Search
Loading...
No suggestions found
Omron Integer data Type (INT)
plcblog.in
PLC Data Types
plcblog.in
PLC Data Types
plcblog.in
Introduction To Omron PLC Data Type
plcblog.in
Omron Double Integer data Type (DINT)
plcblog.in
PLC Data Types
plcblog.in
Omron Long Integer data Type (LINT)
plcblog.in
Introduction To Omron PLC Data Type
plcblog.in
Introduction To Siemens Data Types
plcblog.in
Connected Components Workbench Micro800 Timer Instructions
plcblog.in
Virtual Labs
cse02-iiith.vlabs.ac.in
Data Mining of Microarray Datasets in Translational Neuroscience
mdpi.com
5DS LAB Manual - 5. Singly Linked List (SLL) of Integer Data a. Create ...
studocu.com
How To Store Above 20 Digit Integer Number In MySQL - Insafweb
insafweb.in
Omron unsigned Integer data Type (UINT)
plcblog.in
IPMAT Indore - The average of five distinct integers is 110 and the ...
afterboards.in
9 - BASIC NOTES - DATA TYPES: INTEGER [int]: For integer types. We can ...
studocu.com
Unit 3 data types,operators, condition,aerrays - Different VB Data ...
studocu.com
Flowgorithm documentation - FLOWGORITHM DOCUMENTATION Data Types ...
studocu.com
Typedef in C - C Tutorial
sitesbay.com
Integer Rules Poster
twinkl.co.in
The number of ordered pairs of positive integers (a , b), such that ...
tardigrade.in
[2025 Updated] 8 Methods to Transfer Data From Samsung to Samsung
mobiletrans.wondershare.com
Let f(x) = [3 + 4 sin x] (where [ ] denotes the greatest integer ...
tardigrade.in
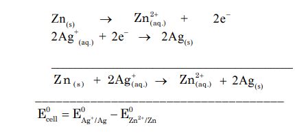
Emf of the following cell at 298 K in V is x × 10-2 ⋅ Zn | Zn 2+(0.1 M ...
tardigrade.in
Omron UDINT_BCD data Type
plcblog.in
How to Add Data in Excel
sitesbay.com
Get cell numbers of Specific texts in Excel using ADDRESS function
encodedna.com
Electric Cell : E.M.F., Terminal Potential, Internal Resistance ...
chemistrypage.in
Using Dual SIM with an eSIM - Apple Support (IN)
support.apple.com
Using Dual SIM with an eSIM - Apple Support (IN)
support.apple.com
Datatype Modifiers in C++ - C++ Tutorial
sitesbay.com
Bill Invoice Format in Excel | Free Download - Wise
wise.com
India becomes largest consumer of mobile data, ranks 109th globally in ...
dnaindia.com
Enter Data in Excel
sitesbay.com
IPMAT Indore - If a function f(a) = max (a, 0) then the smallest ...
afterboards.in
Integers Worksheet for Class 6 - Write all integers between a) 0 and 6 ...
studocu.com
An integer x is chosen from the first 100 positive integers. The ...
tardigrade.in
Use mobile data on your iPhone or iPad - Apple Support (IN)
support.apple.com
TRU TOYS All in One Data Cable Set, Fast Charge 60W USB Universal ...
amazon.in
Write a program to Create a function which accepts an integer as ...
brainly.in
A cell of emf (E) and internal resistance r is connected across a ...
brainly.in
Block it out: Moving from blocks to text Chapter Notes - IGCSE ...
edurev.in
Contiki Cooja Simulator Steps to Convert IP Address into Integer | S-Logix
slogix.in
Last Cell Method
tricks12345.com
[Video] Let n be the least positive integer such that 168 is a factor ...
cracku.in
let p,q,r be positive integers such that q/p is an integer if p,q,r are ...
brainly.in
[Video] Let A be the largest positive integer that divides all the ...
cracku.in
Show that the cube of a positive integer is of the form 6q+r, where q ...
brainly.in
Grade R Data Handling Easter Egg Patterns Bar Graph - Twinkl
twinkl.co.in
Understanding Data Types in C: Size, Minimum and Maximum Values
tutorjoes.in
For any integer a and 3, there exists unique integers q and r such that ...
brainly.in
The cell potential for the following cell Pt | H 2( g )| H +( aq ) | Cu ...
tardigrade.in
Find q and r for the following pairs of positive integers a and b ...
brainly.in
In the following [x] denotes the greatest integer less than or equal to ...
tardigrade.in
Write a program to display the cube of the number upto given an integer ...
brainly.in
Integer Promotions in C - This is called integer promotion. For example ...
studocu.com
Grade R Data Handling Different Homes Bar Graph
twinkl.co.in
Mesenchymal Stem Cells: Current Concepts in the Management of ...
mdpi.com
SDC ARIS SKUAST-K | Digital Innovation Hub for SKUAST-Kashmir
skuastkashmir.in
Automated Accuracy Assessment of a Mobile Mapping System with ...
mdpi.com
Cell: Definition, Diagram, Structure, Types, and Functions
careerpower.in
Use 5G with your iPhone - Apple Support (IN)
support.apple.com
IoT Edge Analytics with Python: Real-Time Data Processing on Raspberry ...
johal.in
NITI AAYOG, India | Voluntary Action Cell
niti.gov.in
Program to Replace all 0’s with 1 in a given integer | Talent Battle
talentbattle.in
In a cell, the following reactions take place The standard electrode ...
tardigrade.in
Mary Meeker Internet Trends report: Falling data costs driving rapid ...
scroll.in
Grade R Data Handling Healthy Snacks Sorting Activity
twinkl.co.in
Questions and Exercises: Operators
iitk.ac.in
IIM Mumbai - Indian Institute of Management Mumbai
iimmumbai.ac.in
Every polynomial function is ...A... and greatest integer function ...
tardigrade.in
Webinar by the Decision Sciences Area on Compromise Decisions in ...
iimb.ac.in
Create an app for data entry for iOS and Android (Ionic or Flutter ...
freelancer.in
Data Handling Activities for Grade 1 - Assessment Sheet
twinkl.co.in
Let f(x)= begincases |4 x2-8 x+5|, text if 8 x2-6 x+1 ≥ 0 [4 x2-8 x+5 ...
tardigrade.in
C Input Output - printf() and scanf() funtions
codeamy.in
Check if a Positive Integer is a power of 2 Without Using any Branching ...
thejat.in
Use 5G with your iPad - Apple Support (IN)
support.apple.com
How Data Mesh helps you capture greater value from your data? | nasscom ...
community.nasscom.in
[Video] Q75 - The quadratic equation x^2 + bx + c = 0 has two roots 4a ...
cracku.in
A Comprehensive Guide to MySQL Data Types - Tech Hyme
techhyme.com
A class sorter contains an arrayof 100 integers. Some of the member of ...
brainly.in
For the first order reaction A arrow 2 B, 1 mole of reactant A gives 0. ...
tardigrade.in
R Programming source code for get User Input | S-Logix
slogix.in
If [ y ], 2 and x are the first three terms of a G.P. where x is an ...
tardigrade.in
[Video] If x is a positive real number such that 4 \\log_{10} x + 4 ...
cracku.in
“When every cell in your body says don’t do it, ask yourself, why not ...
startuppedia.in
Central University of Kerala
cukerala.ac.in
Let N be the number of three digit natural numbers having digits in non ...
tardigrade.in
About mobile data roaming options for your iPhone and iPad - Apple ...
support.apple.com
[Video] What is the daily average rating of Day 3? - An online e ...
cracku.in
Let f: R arrow R be defined as where a, b, c ∈ R and [t] denotes ...
tardigrade.in
[Video] Let n be any natural number such that 5^{n-1}
cracku.in
JEE Advanced (Matrix Match and Integer Answer): Electrostatics ...
edurev.in
Calculate the emf of the following cell at 25 ° C : Al (s) |Al 3+ (0. ...
philoid.in
ThinkCyte unveils cloud-based platform for AI-driven cell morphology ...
magzter.com
Figure shows a 2.0 V potentiometer used for the determination of ...
tardigrade.in
Use Euclid’s division lemma to show that the square of any positive ...
ask.learncbse.in
Event Details
cukerala.ac.in
Let f, g and h be the real valued functions defined on R as f(x ...
tardigrade.in
8.x=" HELLO " creates a variable of? a.integer data type b.float data ...
brainly.in
Event Details
cukerala.ac.in
Study reveals breakthrough in treating children with sickle cell ...
theweek.in
50+ Subtraction and Ten Frames worksheets for 7th Class on Quizizz ...
quizizz.com
Understanding and Mitigating CVE-2024-38796: Integer Overflow in ...
ogma.in
MyGov - Digital India | Leading the transformation in India for ease of ...
digitalindia.gov.in
Mixed-integer linear programming models to optimize demand response ...
allevents.in
NOC:Introduction to programming in C NPTEL Study Materials - Video ...
nptelprep.in
IT CELL
hyderabadpolice.gov.in
show that any positive odd integer is of the form 4q+1 or 4q+3 where q ...
brainly.in
What is smallest integer number? - EduRev Class 6 Question
edurev.in
[Solved] In unknown age category, the ratio of males (unknown age ...
cracku.in
Dbms manual - 1. Database Schema for a customer-sale scenario Customer ...
studocu.com
Image to Integer | Testing Waters
gitbook.testingwaters.in
IPMAT Indore - In the xy-plane let A = (- 2, 0), B = (2, 0) . Define ...
afterboards.in
The integer -48 is _____ than the integer-51 - Brainly.in
brainly.in
Grade R Data Handling Big 5 Animals Bar Graph
twinkl.co.in
Accell Cyclophilin B Control siRNA
horizondiscovery.com
we stotre numbers in both integer data type and char data type, my ...
brainly.in
Related Searches
Integer Data
Integer Data Type
How to Cell Data
Tipe Data Integer
Data Integer Adalah
Integer Data Type Example
Jenis Data Integer
Integer Data Type in C
Excel VBA Get Integer Data in Cell
Integer Data Type C++
Integer Data Illust
Integer Computer Data
Representation of Integer Data
What Is Integer Data Type
Integer Data Type Chart
Real vs Integer Data Type
Batas Tipe Data Integer
What Does Strings of Data in Integer Look Lie
Integer Data Type List
Single Cell Raw Data Results
Int Data Type
Integer Data Type Limit
What Do Lines of Data in Integer Look Lie
APA Itu Tipe Data Integer
How to Get GB Data in Cellc
What Is Data Must Be an Integer
Integer Data Type in Pega
Integer Data Type in Python
Cllecting Data Integers
PHP Data Types
Single Cell Data Integration
Integer Data Types PPT
Integer Data Type in SQL
R Data Types
Contoh Struktur Data Integer Python
What Is Meant by Data Integer
Diagram of Data Stored in Integer Array
How to Input the Integer Only From a Cell
Integer Float String Boolean
Integers in Pyhton
5 Data Types Like Integer
Integer Variable
Data Cell Project Red
Data Types in C Language
Integer Data Types TwinCAT
How to Define Integer Data Type in SQL
Summary Graphic for Single Cell Data Paper
What Is the Function and Purpose of Numeric Integer in Data
Integer Data Type Examples in Java
Data Types Size in Java
Search
×
Search
Loading...
No suggestions found