Find Your Style
Women
Men
Accessories
Search for clothing, brands, styles...
×
Women
Men
Accessories
Integer Dominator Example
Search
Loading...
No suggestions found
INR Full Form: What is full form of INR?
bankersadda.com
Rational Numbers Formula: Definition, Types, Properties And Examples
pw.live
Integers: Numbers, Definition, Examples, Rules, Formula
adda247.com
Rational Numbers- Definition, Symbol, Properties, Types and Examples
adda247.com
Numerator Denominator Poster - Classroom Display Resource
twinkl.co.in
Mixed Fraction - Definition, Formula, Examples
adda247.com
What is a Denominator? | How to Find The Denominator
twinkl.co.in
What is closure property? - EduRev Class 7 Question
edurev.in
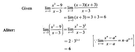
Limit of a Function - Definition, Theorem, Solved Example Problems ...
mech.poriyaan.in
the denominator of a fraction is greater than its numerator by 11. If 8 ...
brainly.in
Limit of a Function - Definition, Theorem, Solved Example Problems ...
mech.poriyaan.in
What is integers and example? - Brainly.in
brainly.in
What is Mixed Integer Programming (MIP)? | NVIDIA Glossary
nvidia.com
Examples of Addition of Integers on a Number line and Obtaining ...
edurev.in
USD/INR Cracks Big: Falls 2% in 4 Days! | Investing.com India
in.investing.com
What is a Denominator? | How to Find The Denominator
twinkl.co.in
Limit of a Function - Definition, Theorem, Solved Example Problems ...
mech.poriyaan.in
What is a Denominator? | How to Find The Denominator
twinkl.co.in
Using Integer Variables | IntelliBuddies® Documentation Portal
docs.intellibuddies.com
Write the denominator of rational number 257÷5000 in the form of 2m×5m ...
brainly.in
1) Write all the 4 different properties of addition and subtraction in ...
brainly.in
Integers: Definition, Number, Rules, Formula and Examples
adda247.com
Concept Explanation
abhyasonline.in
Find q and r for the following pairs of positive integers a and b ...
brainly.in
if the same integer is added to the numerator of the fraction 2/7 and ...
brainly.in
Raj divides numerator and denominator of the rational number 24/30,by a ...
brainly.in
SBI BANK CODE SBCHQ-GEN-PUB-IND-INR MEANING.SBI DIFFERENT TYPES OF ...
digitalhelper.in
Solved: Example 2: Is the function f(x)=x^2 from the set of integers to ...
gauthmath.com
Fourth Grade Common Denominator Fractions Worksheet
twinkl.co.in
write a pair of integers whose sum gives an integers smaller than both ...
brainly.in
Introduction: Integers - Mathematics (Maths) Class 7 PDF Download
edurev.in
Integers: Definition, Number, Rules, Formula and Examples
adda247.com
SOP for Nursing: How to Write sample SOP for MSc nursing?
yocket.com
Integers: Definition, Number, Rules, Formula and Examples
adda247.com
Show that the cube of a positive integer is of the form 6q+r, where q ...
brainly.in
Limit of a Function - Definition, Theorem, Solved Example Problems ...
mech.poriyaan.in
Multiplying fractions by whole numbers poster (teacher made)
twinkl.co.in
Integer Promotions in C - This is called integer promotion. For example ...
studocu.com
Limit of a Function - Definition, Theorem, Solved Example Problems ...
mech.poriyaan.in
Limit of a Function - Definition, Theorem, Solved Example Problems ...
mech.poriyaan.in
50+ Adding Fractions with Unlike Denominators worksheets for 1st Class ...
quizizz.com
Bill Invoice Format in Google Sheets | Free Download - Wise
wise.com
By multiplying the numerator and denominator of a rational number bye ...
brainly.in
For any integer a and 3, there exists unique integers q and r such that ...
brainly.in
The denominator of a fraction is 4 more thantwice its numerator. If 6 ...
brainly.in
identify the rational number and then write the numerator and ...
brainly.in
write a pair of integers whose sum is an integer smaller than both the ...
brainly.in
If the same integer is added to the numerator of the fraction 2/7 and ...
brainly.in
the sum of 2 rational numbers add up to 1/2. if the denominator of the ...
brainly.in
Integers: Definition, Number, Rules, Formula and Examples
adda247.com
Limit of a Function - Definition, Theorem, Solved Example Problems ...
mech.poriyaan.in
rationalize the denominator of the following : 1/√7-3 - Brainly.in
brainly.in
2. Use Euclid division lemma to show that any positive odd integer is ...
brainly.in
let p,q,r be positive integers such that q/p is an integer if p,q,r are ...
brainly.in
Integers: Definition, Number, Rules, Formula and Examples
adda247.com
How to Add Fractions | Step-by-Step Guide | Teaching Wiki
twinkl.co.in
Flowchart: Assignment Solutions - Basics of Python - Software ...
edurev.in
Limit of a Function - Definition, Theorem, Solved Example Problems ...
mech.poriyaan.in
what is the the additive inverse of integers - Brainly.in
brainly.in
Integers: Definition, Number, Rules, Formula and Examples
adda247.com
Integers: Definition, Number, Rules, Formula and Examples
adda247.com
integer timeline project examples Doc Template | pdfFiller
pdffiller.com
Given an example to show that communicator property does not easy for ...
brainly.in
intlinprog | Scilab.in
scilab.in
rationalize the denominator - Brainly.in
brainly.in
Limit of a Function - Definition, Theorem, Solved Example Problems ...
mech.poriyaan.in
what is the denominator of an integer - Brainly.in
brainly.in
draw a flow chart to input a number . if the number is even,display the ...
brainly.in
The numerator of a fraction is 3 less than its denominator. if the ...
brainly.in
Rationalize the denominator of the real numbers:-(i) 1/√7 (ii) 5/√6+5 ...
brainly.in
Limit of a Function - Definition, Theorem, Solved Example Problems ...
mech.poriyaan.in
Limit of a Function - Definition, Theorem, Solved Example Problems ...
mech.poriyaan.in
Integers: Definition, Number, Rules, Formula and Examples
adda247.com
3 upon 5-root8 + 2 upon 5+root 8 simplify the denominator - Brainly.in
brainly.in
Example 16: Rationalise the denominator of 1/√2 - Brainly.in
brainly.in
Class 10 CBSE Term1 Maths SPECIMEN 2022
iqclasses.in
Express 3+2√5/3-2√5 into denominator as an integer - Brainly.in
brainly.in
Limit of a Function - Definition, Theorem, Solved Example Problems ...
mech.poriyaan.in
Adding and Subtracting Fractions With the Same Denominator Worksheet for
twinkl.co.in
rationalise the denominator of the following (i)2+root3 /2-root3 ...
brainly.in
Limit of a Function - Definition, Theorem, Solved Example Problems ...
mech.poriyaan.in
Indian and International Number System Poster
twinkl.co.in
Write the denominator of 91/25 in the form of 2m,5n where m and n are ...
brainly.in
show that the cube of a positive integer of the form 6q+r,q is an ...
brainly.in
Integers: Definition, Number, Rules, Formula and Examples
adda247.com
GST Export Invoice and Foreign Currency Billing | Sleek Bill
sleekbill.in
Free Purchase Order Template Download | Purchase Order Format for Small ...
stockregister.in
[Expert Answer] The product of two consecutive positive integers is 306 ...
brainly.in
3+root2/ 4root2 Rationalize denominator - Brainly.in
brainly.in
Bill Invoice Format in Excel | Free Download - Wise
wise.com
rationalize the denominator - Brainly.in
brainly.in
convert date to integer - Microsoft Fabric Community
community.fabric.microsoft.com
Comparing Fractions with the Same Denominator PowerPoint and Worksheet
twinkl.co.in
Limit of a Function - Definition, Theorem, Solved Example Problems ...
mech.poriyaan.in
give two examples to show that the quitent of a positive integer ...
brainly.in
rationalize the denominator;;7-3 root 2/7+3 root 2 - Brainly.in
brainly.in
Prove that the square of any positive integer is of the form 5q, 5q+1 ...
brainly.in
rationalize the denominator 1 upon root 3 + root 2 + root 5 - Brainly.in
brainly.in
Limit of a Function - Definition, Theorem, Solved Example Problems ...
mech.poriyaan.in
If we add 1 to the numerator and subtract one from the denominator of a ...
brainly.in
Write the denominator of 91/25 in the form of 2m,5n where m and n are ...
brainly.in
sum of numerator and denominator of a fraction is 1 less than thrice ...
brainly.in
5 more than 6 integer on a number line - Brainly.in
brainly.in
Integers: Definition, Number, Rules, Formula and Examples
adda247.com
Limit of a Function - Definition, Theorem, Solved Example Problems ...
mech.poriyaan.in
DO THIS Find q and r for the following pairs of positive integers a and ...
brainly.in
Write a program that prompts the user to enter two integers and then to ...
brainly.in
Variables in Python – Girish Godage
girishgodage.in
Q.14) Rationalise the denominator of 1/7+3√3 - Brainly.in
brainly.in
Lipid Profile Report Format | MS Word & Pdf
labsmartlis.com
What a p-Value Tells You about Statistical Data - India Dictionary
1investing.in
Limit of a Function - Definition, Theorem, Solved Example Problems ...
mech.poriyaan.in
rationalize the denominator 4 by 2 + root 3 + root 7 - Brainly.in
brainly.in
Example 9: If the product of two integers is 2,240 and one of ...
brainly.in
Example 17: Rationalise the denominator of 1/2+√3 - Brainly.in
brainly.in
simplify root 5 + root 3 divided by root 5 minus root 3 + root 5 minus ...
brainly.in
A positive integer when divided by q leaves remainder 21. When double ...
brainly.in
The integer -48 is _____ than the integer-51 - Brainly.in
brainly.in
View question - Let $f(x)$ be a polynomial with integer coefficients ...
web2.0calc.com
the numerator of a fraction is 3 less than its denominator . if 1 is ...
brainly.in
Related Searches
Multiplication of Integers Examples
Adding Integers Examples
Integer Algebra Example
Integers Non-Examples
Two Intergers Example
Example of Dividing Integers
Rational Integers Examples
Multiplying Integers Examples
Illustrative Example of Integers
Example About Dividing Integers
Dominator Tree Examples
Integar Example
Example Integer Rational Number
Multiple Integers Examples
Dominator Graphs Examples
Intiger Example
Multyipling Integers Examples
Tokens Ading Intergers Examples
Mutiplcation Integers Example
Dividing Integers Examples
Integer Examples Online
Subtracting Integers Examples
10 Examples of Integers
Examples of Integers in Math
Integers in Real Life Examples
Real-World Examples of Negative Integers
Examples of Integers in Real Life Story
Non-Integers Examples
Practical Examples of Integers
Integers Real Life Examples
Ingerger Images Examples
Integers One-Pager Example
Examples of Integers in Real Life
Integers Examples Math
Integers List
Example of an Integer
Example of Integers Numbers
Example of Least Common Denominator and Rename the Similar
Intengers Examples
Random Integer Examples
Search
×
Search
Loading...
No suggestions found