Find Your Style
Women
Men
Accessories
Search for clothing, brands, styles...
×
Women
Men
Accessories
Intidrol Inj
Search
Loading...
No suggestions found
PT INR
ptinr.in
WABAG Secures INR 380 Cr Bengaluru Water Reuse Project 💧
marketsetup.in
BUY Curve (CRV) in INR on PocketBits!
pocketbits.in
BUY Hedera Hashgraph (HBAR) in INR on PocketBits!
pocketbits.in
INR Full Form: What is full form of INR?
bankersadda.com
BUY BakerySwap (BAKE) in INR on PocketBits!
pocketbits.in
Bitcoin price today, BTC to INR live price, marketcap and chart | Suncrypto
suncrypto.in
RBI Expands Investment Options for Special Rupee Vostro Accounts in INR ...
taxscan.in
Navi Mumbai Plot Sale in Nerul by CIDCO Fetches INR 1500 Crore for 4 Plots
magicbricks.com
YouTube’s India commitment: INR 21,000 crore paid out to Indian ...
blog.google
Bitcoin price today, BTC to INR live price, marketcap and chart | Suncrypto
suncrypto.in
PT INR
ptinr.in
BNB price today, BNB to INR live price, marketcap and chart | Suncrypto
suncrypto.in
Intidrol 16 Mg 10 Tablet - Alodokter Shop
alodokter.com
Jeevi collection
aakirathecouture.in
What Are the Uses and Benefits of Inj Taxim?
medicoverhospitals.in
Inj Taxim 1gm: Usos, efeitos colaterais e dosagem
medicoverhospitals.in
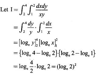
Double Integral: Step-by-Step Calculations and Practice
allen.in
Indefinite Integrals - Mathematics Optional Notes for UPSC PDF Download
edurev.in
ITGR to INR: Convert Integral (ITGR) to Indian Rupee (INR) | Coinbase ...
coinbase.com
Double Integration - Worked Examples, Exercise with Answers
mech.poriyaan.in
Rupee Recovery 2025: What Triggered the Sharp Bounce Back in INR?
finnovate.in
Double Integration - Worked Examples, Exercise with Answers
mech.poriyaan.in
Raya collection Premium Festive Designer Anarkali
aakirathecouture.in
Indefinite Integral - Worked Examples, Exercise with Answers | Integral ...
mech.poriyaan.in
Neelam Collection Premium Indo-western gown
aakirathecouture.in
India and Malaysia can now trade in Indian rupee
currentaffairs.adda247.com
Ashmitha Collection Premium Designer Indo-western outfit
aakirathecouture.in
Double Integration - Worked Examples, Exercise with Answers
mech.poriyaan.in
IPMAT Indore - Assume it is the beginning of the year today. Ankita ...
afterboards.in
Neelam Collection Premium Indo-western gown
aakirathecouture.in
8 Bending of Beams
web.iitd.ac.in
Sikkim State Lottery Result: August 23, 2025, 6 PM Live - Watch ...
freepressjournal.in
Fascinating History Of The Indian Rupee And It’s Evolution
indiatimes.com
CBSE Class 12 Maths Chapter 8 Application of Integrals Formulas List ...
jagranjosh.com
International Trade Settlement in Indian Rupee (INR)
taxguru.in
US Tariffs: India Should Move Away From Dollar Referencing, Analyst Says
sputniknews.in
Rupee gains 27 paise vs US dollar on India Bond inclusion in JPMorgan ...
businesstoday.in
The Story Of The Indian 1 Rupee Note: A Journey Through Time
indiatimes.com
Double Integration - Worked Examples, Exercise with Answers
mech.poriyaan.in
RBI to detail SOP for banks to help expedite rupee trade
currentaffairs.adda247.com
India and Malaysia can now trade in Indian rupee
currentaffairs.adda247.com
Indian Rupee Depreciation Against Dollar
studyiq.com
Sivani collection
aakirathecouture.in
Double Integration - Worked Examples, Exercise with Answers
mech.poriyaan.in
Liberalization of FEMA Regulations for encouraging settlement of cross ...
ey.com
Tiya collection
aakirathecouture.in
Triple Integral in Cartesian Coordinates - Worked Examples, Exercise ...
mech.poriyaan.in
List Of Countries That Have Opened Special Rupee Vostro Accounts
indiatimes.com
Triple Integral in Cartesian Coordinates - Worked Examples, Exercise ...
mech.poriyaan.in
Double Integration - Worked Examples, Exercise with Answers
mech.poriyaan.in
Radha Series 2 Premium Embroidered Anarkali
aakirathecouture.in
Double Integration - Worked Examples, Exercise with Answers
mech.poriyaan.in
Applications of Integral - Definition, Worked Examples, Exercise with ...
mech.poriyaan.in
Rupee likely to go to 81 82 to the US dollar, or even higher. Here’s ...
businesstoday.in
Double Integration - Worked Examples, Exercise with Answers
mech.poriyaan.in
Rupee under threat from rising interest rates in U.S., Europe? There ...
indiatoday.in
List Of 15 Languages That Appear On Indian Rupee Note
indiatimes.com
Triple Integral in Cartesian Coordinates - Worked Examples, Exercise ...
mech.poriyaan.in
(b) numerical double integrals by trapezoidal and simpson's 1/3rd Rules ...
eee.poriyaan.in
Kanishka Lavender Crush Silk Festive Anarkali with Scalloped Dupatta
aakirathecouture.in
Liberalization of FEMA Regulations for encouraging settlement of cross ...
ey.com
Double Integration - Worked Examples, Exercise with Answers
mech.poriyaan.in
Triple Integral in Cartesian Coordinates - Worked Examples, Exercise ...
mech.poriyaan.in
CBSE Class 12 Maths Chapter 8 Application of Integrals Formulas List ...
jagranjosh.com
இந்தியா மலோசியா இனி டாலர், யூரோ தேவையே இல்லை.. ரூபாய் மட்டும் போதும் ...
tamil.goodreturns.in
Double Integration - Worked Examples, Exercise with Answers
mech.poriyaan.in
Triple Integral in Cartesian Coordinates - Worked Examples, Exercise ...
mech.poriyaan.in
Radha Series 2 – Premium Designer Anarkali Set in Pastel Pink & Gold
aakirathecouture.in
Definite and Indefinite Integrals: Calculating Areas and Finding ...
apurvainstitute.in
Applications of Integral - Definition, Worked Examples, Exercise with ...
mech.poriyaan.in
Liberalization of FEMA Regulations for encouraging settlement of cross ...
ey.com
Double Integration - Worked Examples, Exercise with Answers
mech.poriyaan.in
Nagma collection
aakirathecouture.in
Triple Integral in Cartesian Coordinates - Worked Examples, Exercise ...
mech.poriyaan.in
Ashmitha Collection Premium Designer Indo-western outfit
aakirathecouture.in
Zoya series3
aakirathecouture.in
Akrithi - Designer lehenga
aakirathecouture.in
Akrithi - Designer lehenga
aakirathecouture.in
(b) numerical double integrals by trapezoidal and simpson's 1/3rd Rules ...
eee.poriyaan.in
Liberalization of FEMA Regulations for encouraging settlement of cross ...
ey.com
Tamil Nadu rupee symbol row - Rupee symbol row in Tamil Nadu rupee ...
indiatoday.in
CBSE Class 12 Maths Chapter 7 Integrals Revision Notes: Download PDF
jagranjosh.com
Sri Lanka and Russia in talks to use the rupee in foreign trade
currentaffairs.adda247.com
Akrithi - Designer lehenga
aakirathecouture.in
Indian Wear, Ethnic Wear for Girls
littlemuffet.in
Aishu
aakirathecouture.in
Double Integration - Worked Examples, Exercise with Answers
mech.poriyaan.in
Products | PREVEGO HEALTHCARE & RESEARCH PVT LTD in Mumbai, India
prevegohealthcare.in
Why the Indian Rupee is Falling: Key Reasons and Economic Impact
prepp.in
Poorni
aakirathecouture.in
Ashmitha Collection Premium Designer Indo-western outfit
aakirathecouture.in
Applications of Integral - Definition, Worked Examples, Exercise with ...
mech.poriyaan.in
Simran pastel blue
aakirathecouture.in
Continuous Time Fourier Series - Cosine Fourier Series, Exponential ...
ece.poriyaan.in
CBSE Class 12 Maths Chapter 7 Integrals Revision Notes: Download PDF
jagranjosh.com
ADB Raises Rs.12.5 Billion in Largest Indian Rupee Green Bond
constructionworld.in
Questions and Answers - Solved Problems | Multiple Integrals | Matrices ...
mech.poriyaan.in
BCC Fuba India Limited Completes 51% Acquisition of Iogems Technologies ...
indiaipo.in
Yuthi collection
aakirathecouture.in
List Of Countries That Have Opened Special Rupee Vostro Accounts
indiatimes.com
Meena 2 Collection
aakirathecouture.in
KETOROVAC INJ -PREVEGO HEALTHCARE & RESEARCH PVT LTD, Mumbai
prevegohealthcare.in
Integrals in column I are α times the integrals in column III. Column ...
tardigrade.in
Liberalization of FEMA Regulations for encouraging settlement of cross ...
ey.com
Integrals: Centre of Mass and Centre of Gravity - Worked Examples ...
mech.poriyaan.in
List of Maharatna Companies in India 2026
pocketful.in
(b) numerical double integrals by trapezoidal and simpson's 1/3rd Rules ...
eee.poriyaan.in
Shanvi
aakirathecouture.in
Questions and Answers - Solved Problems | Integral Calculus | Matrices ...
mech.poriyaan.in
Liberalization of FEMA Regulations for encouraging settlement of cross ...
ey.com
VIT - Research Facility
crf.vit.ac.in
Zoya series3
aakirathecouture.in
Dhiya
aakirathecouture.in
Singular integrals grals - solution of standard types of first order ...
mech.poriyaan.in
Alina - Premium Designer Anarkali
aakirathecouture.in
(b) numerical double integrals by trapezoidal and simpson's 1/3rd Rules ...
eee.poriyaan.in
Triple Integral in Cartesian Coordinates - Worked Examples, Exercise ...
mech.poriyaan.in
Integration Formula for Class 12th, Concepts and Examples
careerpower.in
BCC Fuba India Limited Completes 51% Acquisition of Iogems Technologies ...
indiaipo.in
Related Searches
1 EUR to INR
US Dollar to INR
INR Levels
INR to Dollar Converter
INR Normal Range
Rupees Wallpaper
Money Indian Rupees
USD to INR Today
Indian Rupee
Currency Indian Rupees
Expanding Trade in INR
CHF to INR
1 INR to INR
INR to NPR
INR Logo
Dollar to INR Live
1 LKR to INR
INR Ratio
Normal INR
1 AED to INR
Aus INR
Supratherapeutic INR
INR Nspt
Low INR
INR Calculation Formula
INR Draw
India Currency to USD
Meaning of INR
What Lowers INR
American Dollar to Indian Rupee Rate
Proportion of INR
Denominatio of INR
US Dollar to Indian Rupee
What Does INR Mean
What Decreases INR
1 INR
INR Values
INR 2
Dollar to INR Converter
INR Full Form
LTC to INR
NIS to INR
INR Blood Test
1 MVR to INR
Dollar to INR Chart
Nilai INR
Maksud INR
INR Full Fourm
20RS INR
INR Issuer
Search
×
Search
Loading...
No suggestions found