Find Your Style
Women
Men
Accessories
Search for clothing, brands, styles...
×
Women
Men
Accessories
Intj Entp Functions
Search
Loading...
No suggestions found
Mahindra Scorpio Intelli-Hybrid Launched at INR 12.84 Lakh
sagmart.com
SOLO 1 FUNCTION MANUAL BED Products at price INR 16250 in Kothrud ...
medochealthcare.in
SOLO 1 FUNCTION MANUAL BED Products at price INR 16250 in Kothrud ...
medochealthcare.in
2017 Toyota Corolla Altis Facelift Launched in India at INR 15.87 Lakh
sagmart.com
Anant Ambani's Patek Philippe luxury watch costs over INR 18 crores
lifestyleasia.com
10 Best Unique Ideas Wedding Gift For Couples Under 5,000 INR | LBB
lbb.in
Lexus LS 500h Launched in India, Priced at INR 1.7 crore | sagmart.com
sagmart.com
New Hyundai Elantra Launched in India, Starting at INR 12.99 Lakh
sagmart.com
Toyota Camry Hybrid Price Slashed Up To INR 2.3 lakhs in India
sagmart.com
Audi Q7 40TFSI Launched in India, Priced At INR 67.76 lakh
sagmart.com
Inverse Trigonometric Functions: Definition, Formulas, Domain and Range
allen.in
பயிற்சி 4.5: நேர்மாறு முக்கோணவியல் சார்புகள் ( Inverse Trigonometric ...
brainkart.in
The Many Faces of Personality Type: The INTJ, ENTJ, INTP, and ENTP ...
amazon.in
HRInfo.in: An Excel AddIn to show Currency in Indian format and Words
hrinfo.in
Control Memory - Computer Organization and Architecture | EduRev Notes
edurev.in
Data manipulation and analysis
isid.ac.in
R Programming sample source code for Functions in R | S-Logix
slogix.in
Nietzsche’s (INTJ) Aesthetics of Night and Hume’s (ENTP) Aesthetics of ...
amazon.in
Entp Personality Type, Infj Type, Myers Briggs Personality Types, Myers ...
pinterest.com
R sample code for implement Binomial Distribution | S-Logix
slogix.in
Ever wonder what all the MBTI theory you read about online looks like ...
pinterest.com
Polyphenols in Plants: Structure, Biosynthesis, Abiotic Stress ...
mdpi.com
R Programming sample source code for Functions in R | S-Logix
slogix.in
Pin de C. Gill em INFJ | Humor
pinterest.com
apply, sapply, lapply, tapply functions used in R | S-Logix
slogix.in
User-Defined Functions in C | Scaler Topics
saludolearning.in
Buy An Introduction to Data Analysis using Aggregation Functions in R ...
amazon.in
Composite Functions: Properties, Definition & Examples | AESL
aakash.ac.in
Miscellaneous String and Character Functions - Syntax with Example C ...
cse.poriyaan.in
Niranjan Singh's coding blog | Quick Start: Create and Deploy C# ...
niranjankala.in
The plots of radial distribution functions for various orbitals of ...
tardigrade.in
Matching Objects with their functions - Activity Sheet
twinkl.co.in
Grade R Pattern Activities | Maths Pack | South Africa
twinkl.co.in
சார்புகள் - வரையறை, சூத்திரம், வகைகள், சில சிறப்பு சார்புகள் ...
brainkart.in
ENTP Sticker – Fantastick
fantastick.in
Mind Maps for Relations and Functions Revision - Class 12, JEE
esaral.com
16 Genshin Impact MBTI Types: Which Character Resembles You The Most?
gurugamer.com
Mind Maps for Relations and Functions Revision - Class 12, JEE
esaral.com
HRInfo.in: An Excel AddIn to show Currency in Indian format and Words
hrinfo.in
Which of the following relations from R→. R are functions? (a) y= 3x 2 ...
brainly.in
SToK ST-MC02 Compatible with Old & New INR- Rs.10, 20, 50,100,200, 500 ...
amazon.in
SToK Note Counting Machine Compatible with Old & New INR- Rs.10, 20 ...
amazon.in
COSBIX Advanced Mixed Note Value Counting Machine (C9700-S) with Fake ...
amazon.in
Superset Registrations - Job Function(s) Engineering - Web / Software ...
studocu.com
Superset Registrations - Job Function(s) Engineering - Web / Software ...
studocu.com
Your Ultimate Shopify Discount App with Shopify Functions – Every ...
everypossiblediscount.com
Jaguar F-Pace SUV Officially Arrives in India With a Grand Entry ...
sagmart.com
Evolution of Human Resource Functions in India: From Administrative ...
bankingschool.co.in
𝗟𝗶𝗯𝗲𝗿𝘁𝘆..??|#INTJ-T/8w7#Mᴇlᴀnᴄhᴏliᴄ — Teletype
teletype.in
B&R Automation Studio Timer Function Blocks Programming | TON | TOF ...
plcblog.in
Buy Really R.A.D. Robots Fartbro - Electronic Remote Control Farting ...
ubuy.co.in
SAFETIME Functional Nutrition MAGTEIN Magnesium L Threonate Cognitive ...
amazon.in
Tuple Functions-converted - PYTHON TUPLE FUNCTIONS Python includes the ...
studocu.com
Hanutech Heavy Duty Manual Value Note Counting Machine Compatible with ...
amazon.in
பயிற்சி 4.5: நேர்மாறு முக்கோணவியல் சார்புகள் ( Inverse Trigonometric ...
brainkart.in
Buy THINKCAR Thinktool Mini OBD2 Scanner Full System Scan Tool Car ...
ubuy.co.in
பயிற்சி 4.5: நேர்மாறு முக்கோணவியல் சார்புகள் ( Inverse Trigonometric ...
brainkart.in
Composite Functions: Properties, Definition & Examples | AESL
aakash.ac.in
завертин #𝗜𝗡𝗧𝗣/𝗘𝗡𝗧𝗣 — Teletype
teletype.in
பயிற்சி 4.5: நேர்மாறு முக்கோணவியல் சார்புகள் ( Inverse Trigonometric ...
brainkart.in
HRInfo.in: An Excel AddIn to show Currency in Indian format and Words
hrinfo.in
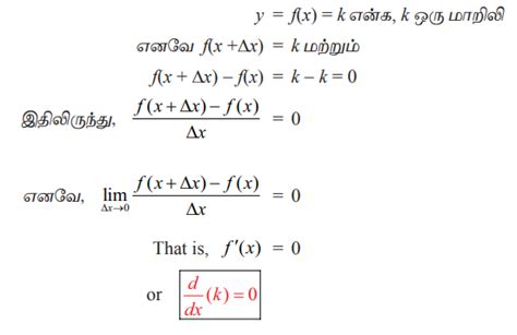
அடிப்படைச் சார்புகளின் வகைக்கெழு (Derivatives of basic elementary ...
brainkart.in
பாடச்சுருக்கம் - நேர்மாறு முக்கோணவியல் சார்புகள் | Summary - Inverse ...
brainkart.in
Ksanaxᴸᴹ || INTJ — Teletype
teletype.in
COSBIX Latest Smart Currency Counting Machine "C-3900" - Advanced Cash ...
amazon.in
சார்புகள் - வரையறை, சூத்திரம், வகைகள், சில சிறப்பு சார்புகள் ...
brainkart.in
Top 10 Trending School Supplies Every Student Should Own For The Year.
prakashsales.in
🦇 ⊝ 𝕹𝖊♱♱𝖎𝖊 ⊝💄💋 | #INTJ #TЧРЭОИЭGДТIVЭ — Teletype
teletype.in
Trendy and Functional Corporate Gift Ideas for Employees in 2022 ...
solara.in
P. R. POTE PATIL COLLEGE OF ENGG & MANAGEMENT
prpotepatilengg.ac.in
பயிற்சி 3.3 : முக்கோணவியல் சார்புகளும் மற்றும் அதன் பண்புகளும் - கணக்கு ...
brainkart.in
SToK ST-MC02 Compatible with Old & New INR- Rs.10, 20, 50,100,200, 500 ...
amazon.in
பயிற்சி 4.5: நேர்மாறு முக்கோணவியல் சார்புகள் ( Inverse Trigonometric ...
brainkart.in
𝗲𝗸𝘀𝘁𝗿𝗮𝘃𝗲𝗿𝘁[🎀🦴🍼]•[🥩🪽🍮] #ENTP #she/her #gyaru #абернись — Teletype
teletype.in
Discover & Shop Sheen Studio Products Online With Reviews & Information ...
lbb.in
E-XMBSXCH80100-R-N-2 | X-Axis Motorized Positioning Stages, Long stroke ...
in.misumi-ec.com
அடிப்படைச் சார்புகளின் வகைக்கெழு (Derivatives of basic elementary ...
brainkart.in
𝜗𝜚 ꜰᴜɴᴄʜᴏs ๋࣭ ˖ 🪽 [ INTJ ] キスしてˎˊ˗ — Teletype
teletype.in
பயிற்சி 4.5: நேர்மாறு முக்கோணவியல் சார்புகள் ( Inverse Trigonometric ...
brainkart.in
Buy COMPLETE GUIDE TO THE BEST ELECTRICAL RS AND THEIR USES: Electrical ...
desertcart.in
அடிப்படைச் சார்புகளின் வகைக்கெழு (Derivatives of basic elementary ...
brainkart.in
நேர்மாறு முக்கோணவியல் சார்புகளின் பண்புகள் (Properties of Inverse ...
brainkart.in
T.R.R GOVERNMENT DEGREE COLLEGE
gdckandukur.ac.in
E-XMBSXH6030-R-A-4 | X-Axis Motorized Positioning Stages, Long stroke ...
in.misumi-ec.com
நேர்மாறு முக்கோணவியல் சார்புகளின் பண்புகள் (Properties of Inverse ...
brainkart.in
சார்புகள் - வரையறை, சூத்திரம், வகைகள், சில சிறப்பு சார்புகள் ...
brainkart.in
நேரிய, இருபடி, முப்படி மற்றும் தலைகீழ்ச் சார்புகளுக்கான வரைபடங்களை ...
brainkart.in
ʏᴜɴsʜᴇᴋ.𓂅 [🐈⬛️🐾] #Mr.ᴩᴇnis #𝙄𝙉𝙏𝙅 — Teletype
teletype.in
Anti-Inflammatory Neutrophil Functions in the Resolution of ...
mdpi.com
அடிப்படைச் சார்புகளின் வகைக்கெழு (Derivatives of basic elementary ...
brainkart.in
Maruti dealers and showrooms in Ahmedabad | Kiran Maruti
kiranmotors.co.in
GCCs in Sales and Marketing functions in India | nasscom | The Official ...
community.nasscom.in
Buy Executive Functions Book Online at Low Prices in India | Executive ...
amazon.in
அடிப்படைச் சார்புகளின் வகைக்கெழு (Derivatives of basic elementary ...
brainkart.in
Greenchef Frizzle one touch cooking 8 in 1 multi functions Air Fryer ...
flipkart.com
Video Gaming Linked to Improved Cognitive Functions in Children in New ...
in.ign.com
Ds Assignment Ans - sdfghyuiop - Explain any four string functions with ...
studocu.com
சார்புகள் - வரையறை, சூத்திரம், வகைகள், சில சிறப்பு சார்புகள் ...
brainkart.in
பயிற்சி 1.4 : சார்புகளின் வகைகள் - கேள்வி பதில்கள் மற்றும் தீர்வுகள் ...
brainkart.in
Baby you know! #INTJ #викатолькоштанынеснимай #душименяюра — Teletype
teletype.in
fMRI reveal Deficits in Emotion, Cognition, Memory and Sensori-motor ...
medicaldialogues.in
Buy WIFI Wireless Programming Adapter Universal Communicator for ...
desertcart.in
நேர்மாறு முக்கோணவியல் சார்புகளின் பண்புகள் (Properties of Inverse ...
brainkart.in
சார்புகள் - வரையறை, சூத்திரம், வகைகள், சில சிறப்பு சார்புகள் ...
brainkart.in
Mammary Glands Function, Development, Types & Structure of Breast | AESL
aakash.ac.in
T.R.R GOVERNMENT DEGREE COLLEGE
gdckandukur.ac.in
Math Functions
iitk.ac.in
Functions - course material for visual basic - FUNCTIONS The function ...
studocu.com
சார்புகள் - வரையறை, சூத்திரம், வகைகள், சில சிறப்பு சார்புகள் ...
brainkart.in
சார்புகள் - வரையறை, சூத்திரம், வகைகள், சில சிறப்பு சார்புகள் ...
brainkart.in
Library Functions in C - Library Functions in C Library functions in C ...
studocu.com
Determine whether each of these functions is a bijection from r to r. a ...
brainly.in
Human Brain Diagram, Parts and Functions
careerpower.in
11 Year Girl Lehenga - Buy 11 Year Girl Lehenga online at Best Prices ...
flipkart.com
Input Output Functions - Input/Output Functions in C For data input and ...
studocu.com
Solved Example Problems based on formation of p.d.e by elimination of ...
civil.poriyaan.in
A function f: R→R defined as f(x) = x2-4x+5 is: (A) injective but not ...
iqclasses.in
Difference between Library Function and User-Defined function. - Brainly.in
brainly.in
𝐸𝑔𝑜𝑖𝑠𝑡. [INTJ- T] — Teletype
teletype.in
Related Searches
Intj Entp
Intj and Entp Meme
Entp vs Intj
ENTJ INTP
Entp Intj Team
INFJ vs INTP
Entp Functions
Intj and Entp Friendship
Intj X Entp
ENTP and Intj Duo
ISTJ and Entp
Entp INFJ Relationship
Entp Intj 관계성
Entp Imtj
MBTI Intj
Estp Intj Relationship
Intj Cognitive Functions
MBTI Type Intj
INTJ Personality
ENFP Chart
Intj Cute
Types of Intj
Entp Memes Funny
Entp Intj Pairing
Does Intj Love Entp
INFJ Cpgnitive Function
Intj vs Entp in a Debate
INFJ Means
Intj vs Estj
MBTI 8 Functions
Intj Ambivertentj
Intj T-Type
Misadventures of an ENTP and Intj
Cognitive Funcions of Entp
What Entp Person
ENTJ X Intj Art
Istj Function Stack
Mbit Istj
Entp Relations
Intj Peole
Intj Philosophers
INTP vs Intj vs NTS
ENTP and Intj Relationship Compatibility
INTP Xintj
INFP INTP Compatibility
Entp Relationships
MBTI Intj Cognitive Fumction
Intj Cognitive Funcitons
ENTJ Function Stak
Entp MBTI Woman
Search
×
Search
Loading...
No suggestions found