Find Your Style
Women
Men
Accessories
Search for clothing, brands, styles...
×
Women
Men
Accessories
Isoscelesright Triangle
Search
Loading...
No suggestions found
Area of Isosceles Triangle: Formula, Methods, and Applications.
allen.in
Area of Triangle Formula, Area of Isosceles, Equilateral, Right Angled ...
adda247.com
Isosceles Triangle- Definition, Properties, Angles, Formula & Types
adda247.com
Isosceles Triangle- Definition, Properties, Angles, Formula & Types
adda247.com
ΔABC is an isosceles triangle with AB=AC side BA is produced to D such ...
bhushantech.in
∆PQR is an isosceles right angled triangle. measure angle R=90°. Then ...
brainly.in
1) prove that the sum of all angles of a triangle is 180. in an ...
brainly.in
Isosceles Triangle - Properties, Angles, Area, Formula and Types
careerpower.in
Isosceles Triangle - Properties, Angles, Area, Formula and Types
careerpower.in
Isosceles Triangle- Definition, Properties, Angles, Formula & Types
adda247.com
Isosceles Triangle- Definition, Properties, Angles, Formula & Types
adda247.com
If two vertices of an isosceles right triangle areA(–1, –7) and B(–7 ...
brainly.in
What is a Right-angled Triangle? Definition and Examples
twinkl.co.in
∆PQR is an isosceles right Triangle, right angled at r. prove that PQ^2 ...
brainly.in
The base of vertices of an isosceles triangle P Q R are Q (1,3) an d R ...
tardigrade.in
ABC is an isosceles triangle inscribed in a circle of radius r. If AB ...
allen.in
The diagram shows two isosceles right-triangles with sides as marked ...
brainly.in
Isosceles Triangle - Properties, Angles, Area, Formula and Types
careerpower.in
Isosceles Triangle- Definition, Properties, Angles, Formula & Types
adda247.com
Base of an isosceles right triangle is 30 cm find its area? - EduRev ...
edurev.in
The figure given below shows a semicircle, inwhich an isosceles right ...
brainly.in
Prove that the least perimeter of an isosceles triangle in which a ...
ask.learncbse.in
What is an Isosceles Triangle? | Area of Isosceles Triangles
twinkl.co.in
Find the dimensions of the isosceles triangle of largest area that can ...
ask.learncbse.in
ABC is an isosceles triangle in which AB=AC. By drawing AP ...
brainly.in
: If the area of an isosceles right triangle is 8 cm², what is the ...
brainly.in
Find the perimeter of an isosceles right triangle whose area is 200 cm ...
brainly.in
If the square of the hypotenuse of an isosceles right triangle is 98sq ...
brainly.in
∆ABC and ∆DBC are two isosceles triangles on the same base BC and ...
ask.learncbse.in
find the volume of isosceles right angled triangular prism. - Brainly.in
brainly.in
Area of Isosceles Triangle: Formula, Methods, and Applications.
allen.in
Find the height of an Isosceles triangle whose each of the equal side ...
brainly.in
try is a right angled isosceles triangle then cos T + cos R + cos Y is ...
brainly.in
ABC is an isosceles right triangle in which angle C=90° ,find AB2 if AC ...
brainly.in
In the given figure, ΔABC is an equilateral triangle and ΔBDC is an ...
philoid.in
Area of Isosceles Triangle: Formula, Methods, and Applications.
allen.in
Right Angle Triangle
adda247.com
Isosceles Triangle - Properties, Angles, Area, Formula and Types
careerpower.in
: If the area of an isosceles right triangle is 8 cm², what is the ...
brainly.in
A square is inscribed in an isosceles right triangle so that the square ...
esaral.com
Draw an isosceles triangle with the base 5cm and height 4cm. Draw a ...
brainly.in
Construct an isosceles right-angled triangle ABC where m ∠ACB = 90° and ...
ask.learncbse.in
THE BASE OF ISOSCELES RIGHT TRIANGLE IS 30 cm.FIND ITS AREA BY USING ...
brainly.in
Draw the circumcircle for i. an equilateral triangle of side 6cm. ii ...
philoid.in
Find the area of an isosceles right triangle whose hypotenuse is 18 cm ...
brainly.in
A square is inscribed in an isosceles right triangle so that the square ...
philoid.in
ΔABC is an isosceles right angled triangle, in which a rectangle is ...
brainly.in
A ray of light PQ enters isosceles right angle prism ABC of refractive ...
brainly.in
Find the sides of an isosceles right triangle of hypotenuse 5 root 2 cm ...
brainly.in
each of the two equal sides of an isosceles right triangle is 10 cm ...
brainly.in
construct an isosceles right triangle with perimeter 11cm - Brainly.in
brainly.in
Triangle abc is an isosceles right triangle,with ab as hypotenuse.find ...
brainly.in
What type of triangle is it?1)Equilateral2)Isosceles3) right triangle4 ...
brainly.in
View question - The hypotenuse of an isosceles right triangle
web2.0calc.com
Draw an isosceles right triangle of hypotenuse 4 centimetres.
philoid.in
Prove that in a isosceles right triangle the small angles are equal to ...
brainly.in
A children's park is in the shape of isosceles triangle said PQR with ...
brainly.in
Triangle QST is isosceles, and Line segment R T bisects AngleT ...
brainly.in
triangle PQR is isosceles triangle with PR=QR . RO is the bisector of ...
brainly.in
ABC is an isosceles right triangle in which angle C=90° ,find AB2 if AC ...
brainly.in
An isosceles right triangle has area 32 cm2, then hypotenuse is 8 cm ...
brainly.in
2) In the isosceles APQR, angle P=50º. The circle passing through Q and ...
brainly.in
AABC is an isosceles right triangle in which ¿A - 90°, BC -6 cm, find ...
brainly.in
PQR is a triangle right-angled at Q. A line through the mid-point M of ...
brainly.in
∆PQR is an isosceles right angled triangle. measure angle R=90°. Then ...
brainly.in
find the area of an isosceles right triangle if one of the right sides ...
brainly.in
Types of Triangles
hunarindia.org.in
Altitude of Triangle: Definition, Properties, Characteristics of Altitude.
allen.in
the hypotenuse of an isosceles right triangle is 10 centimetre find its ...
brainly.in
the hypotenuse of an isosceles right angled triangle is 12cm . Find its ...
brainly.in
In ∆PQR, PQ = QR and ∠R = 50°, then find the measure of ∠Q. - Brainly.in
brainly.in
In the given figure, if PQR is an isosceles triangle such that PQ = PR ...
brainly.in
Possible measure of angles a right angled isosceles triangle - Brainly.in
brainly.in
Draw an isosceles right triangle of hypotenuse 4 centimetres.
philoid.in
Types of Triangles and Similarity
campusgate.in
prove that the angles opposite to equal sides of an isosceles triangle ...
brainly.in
Area of an isosceles right triangle is 8 cm square. find its hypotenuse ...
brainly.in
The ratio of areas of incircle and circumcircle of an isosceles right ...
brainly.in
In isosceles triangle ABC, if AB = AC = 25 cm and BC = 14 cm, then the ...
brainly.in
draw an isosceles triangle with base 5 cm and height 4 cm. Draw a ...
brainly.in
Draw an isosceles triangle with base 5 cm and the other sides 3.5 cm ...
brainly.in
: If the area of an isosceles right triangle is 8 cm², what is the ...
brainly.in
Is the square of hypotenuse of an isosceles right triangle is 288 ...
brainly.in
[Video] In a right-angled triangle ∆ABC, the altitude AB is 5 cm, and ...
cracku.in
ABC is an isosceles right triangles right angled at a c prove that AB² ...
brainly.in
In an isosceles triangle PQR with PQ = PR, S and T are points on QR ...
brainly.in
How to find the third side of an isosceles triangle with only 2 sides ...
brainly.in
Types of Triangles
careerpower.in
the diagram shows and isosceles triangle. work out the perimeter of the ...
brainly.in
∆ pqr is a right angle triangle,right angle to at R. RS perpendicular ...
brainly.in
draw an isosceles triangle with base 5 cm and height 4 cm. Draw a ...
brainly.in
Altitude of Triangle: Definition, Properties, Characteristics of Altitude.
allen.in
If the square of hypotenuse of an isosceles right triangle is 288 cm ...
brainly.in
View question - The hypotenuse of an isosceles right triangle is $14 ...
web2.0calc.com
9) In an isosceles triangle PQR, angle ZQ = angle ZR = 2/_P. Find the ...
brainly.in
An isosceles triangle has perimeter 30 cm and each of the equal sides ...
ask.learncbse.in
In an isosceles triangle, if the vertex angle is twice the sum of the ...
esaral.com
the base of an isoscelless right triangle is 30 CM find its area ...
brainly.in
the square if the hypotenuse of an isosceles right angled triangle is ...
brainly.in
Q3.Given that ABC is an equilateral triangle and BDC is an isosceles ...
brainly.in
Isosceles Triangles Worksheet - Primary Resources
twinkl.co.in
In the given figure, triangle PQR is an isosceles triangle in which PQ ...
brainly.in
Découvrez triangle rectangle isocèle: guide rapide et astuces ...
centretudes.ca
the area of isoceles right triangle is 24.5 cm². what is the length of ...
brainly.in
1.perimeter and area of quadrilateral???2. the base of an isosceles ...
brainly.in
∆ABC is an isosceles right triangle in which ∠A = 90° and BC = 6 cm ...
brainly.in
Vertical angles of two isosceles Triangles are equal. If there areas in ...
brainly.in
BDEF IS A SQUARE INSCRIBED IN AN ISOSCELES RIGHT TRIANGLE PBQ RIGHT ...
brainly.in
Theorem: Opposite angles of an isosceles trapezoid are supplementary, R ...
brainly.in
A plot is in the shape of a right triangle. In the given triangle PQR ...
brainly.in
Types of Triangles
careerpower.in
If Δ ABC is isosceles with AB = AC and C (O, r) is
esaral.com
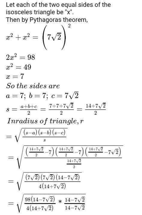
if the hypotenuse of an isosceles right triangle is 7 root 2 centimetre ...
brainly.in
Calculate the area of an isosceles triangle using Heron's formula if ...
brainly.in
View question - Triangle ABC is an isosceles right triangle. Find s for ...
web2.0calc.com
In the figure, ABC is a right angled triangle and ∠BAC = 90° degree ...
brainly.in
join it.....Draw an isosceles triangle ABC , in which AB=AC . Draw ...
brainly.in
1. In an isosceles triangle PQR, with PQ = PR, the bisectors ofQ and R ...
brainly.in
Difference between equilateral isosceles and scalene triangle - Brainly.in
brainly.in
ABC is an isosceles triangle in which altitudes BE and CF are drawn to ...
brainly.in
Related Searches
What Is an Obtuse Isosceles Triangle
Isosceles Right Triangle Sides
Area of an Isosceles Right Triangle
Isosceles Right Triangle Hypotenuse
Angles of an Isosceles Triangle
Perimeter of a Isosceles Triangle
Isosceles Triangle Leg
Right Angle Isosceles Triangle
Centroid of Isosceles Triangle
Isosceles Trapezoid
Scalene Angle
Types of Isosceles Triangle
Isosceles Right Triangle Side Lengths
Isosceles Triangle Examples
Isosceles Triangle Equation
Isosceles Triangle Worksheet
Base of an Isosceles Triangle
Isosceles Right Triangle Hypotenuse Formula
Isosceles Triangle Interior Angles
45-Degree Triangle
Acute-Angled Isosceles Triangle
Isosceles Triangle Measure
Isosceles Right Triangle Cross Section
Acute Equilateral Triangle
Isosceles Triangle Length Formula
Right Angle Triangle Degrees
Pythagorean Theorem Isosceles Triangle
Scalene Right Triangle vs Isosceles Right
What Does a Isosceles Triangle Look Like
Isosceles Right Triangle Properties
Isosceles Triangle Vectors
Isosceles Triangle Labeled
Isosceles Triangle Shape
Isosceles Triangle Facts
Isosceles Triangle Proof
Isosceles Triangle Red
Triangle Side Equations
Vertex Angle of Isosceles Triangle
Right Triangle Adjacent Side
Scalene Isosceles and Equilateral Triangles
Iso-Lateral Triangle
Scalenes
ABC Angle Triangle
Trig for Isosceles Triangles
Right Triangle Objects
Congruent Isosceles Triangle
Isosceles Triangle Hypotenuse
Hypotenuse of Isosceles Triangle
A Right Triangle
Area of Isosceles Triangle
Search
×
Search
Loading...
No suggestions found