Find Your Style
Women
Men
Accessories
Search for clothing, brands, styles...
×
Women
Men
Accessories
Iterate Means
Search
Loading...
No suggestions found
Convert INR To Dirham: Top Currency Exchange Spots And More
traveltriangle.com
JW Kitchen Buffet For INR 950 | Little Black Book, Bangalore
lbb.in
Convert INR To Dirham: Top Currency Exchange Spots And More
traveltriangle.com
10 MustHave Items Under INR 1999 That Will Transform You Into A Style Icon
mensxp.com
Cheapest Ferrari: New Ferrari Portfino Launched At INR 1.3 Cr
mensxp.com
Player Of Code
playerofcode.in
Loops in C: A Complete Guide
ccbp.in
SBI BANK CODE SBCHQ-GEN-PUB-IND-INR MEANING.SBI DIFFERENT TYPES OF ...
digitalhelper.in
Control Memory - Computer Organization and Architecture | EduRev Notes
edurev.in
Java - Iterating Set
learnerslesson.com
Iterating JavaScript Object and getting its keys and values
thewebblinders.in
Cortisol Interaction with Aquaporin-2 Modulates Its Water Permeability ...
mdpi.com
Indian Rupee Depreciation Against Dollar
studyiq.com
What is Loop Testing? |Professionalqa.com
professionalqa.com
3. Defining a flow of program before writing it, is known as: (a ...
brainly.in
Tutorial - Understanding Pointers in C - Part 4 - Hoptop Online Judge
hpoj.cb.amrita.edu
Craftquest
craftquest.in
SBI BANK CODE SBCHQ-GEN-PUB-IND-INR MEANING.SBI DIFFERENT TYPES OF ...
digitalhelper.in
Types of Fire Alarm Systems with Wiring Diagrams or Loops - DEdu Labs ...
dedulabs.in
Ostomy (ileostomy or colostomy) | Dr. Nikhil Agrawal
drnikhilagrawal.com
explain for loop with syntax and example - Brainly.in
brainly.in
D-Dimer Test: Normal Range, Causes and Elevated Results
bajajfinservhealth.in
pls answer correctlyotherswise report class 8 python - Brainly.in
brainly.in
Crashing Lira just made your Turkey vacation 50% cheaper | Condé Nast ...
cntraveller.in
Year 2 Suffixes Loop Cards (teacher made) - Twinkl
twinkl.co.in
Redirect Loops How to Identify and Fix Issue | Sitechecker
sitechecker.pro
Steps to Drip irrigation system design - MyKnowledgeBase.in
myknowledgebase.in
Python with a Dash of C++: Optimizing Recommendation Serving | AI Logs
ai.ragv.in
Check Metering Skid
rsis.co.in
Python with a Dash of C++: Optimizing Recommendation Serving | AI Logs
ai.ragv.in
Differentiate between open loop and closed loop hydraulic system ...
brainly.in
STAMP PAPER (INR 500) • Benir e-Store Solutions
benir.in
Unlocking Divine Guidance: The Angel Numbers Collection by Soulla
soulla.in
Redirect Loops How to Identify and Fix Issue | Sitechecker
sitechecker.pro
A square loop of side a=6 cm carries a current I=1 A. Calculate ...
tardigrade.in
Did You Know About India's Rs 10,000 Rupee Note
indiatimes.com
A particle of mass 200 g is moving i a circle of radius 2 m the ...
brainly.in
Maitri Bhavna Foundation
maitribhavna.org
What the customer-first approach means + 9 strategic steps
zendesk.com
Craftquest
craftquest.in
Programming in C: GATE CSE 2017 Set 1 | Question: 36
gateoverflow.in
V Band Clamp With 2 Segment / 3 Segment / 4 Segment, Twin Bolts Clamp
tboltclamp.in
Their Trip Had All The Best Things To Do For Couples In Bali
traveltriangle.com
Craftquest
craftquest.in
Malav 25 Meter 1.5 Inch (38MM) Hook and Loop Fastener Tape Roll (1 Set ...
amazon.in
Franking Charges: Meaning, Benefits and Difference 2025
nobroker.in
Buy Amarine Made Pack of 10 Casted Stainless Steel Bimini Boat Top PAD ...
ubuy.co.in
Buy Junipers 80 Piece Green Gentle Gardening Plant & Flower Lever Loop ...
ubuy.co.in
a wire has a resistance R is cut into two equal pieces the two parts ...
brainly.in
Maruti dealers and showrooms in Ahmedabad | Kiran Maruti
kiranmotors.co.in
Please answer this question. - Brainly.in
brainly.in
7 Best Face washes Under Rs 199 for Men
mensxp.com
A particle of mass 200 g is moving i a circle of radius 2 m the ...
brainly.in
K-Means Clustering Algorithm – What Is It and Why Does It Matter?
nvidia.com
Running Lean: Iterate from Plan A to a Plan That Works (Lean Series ...
amazon.in
Find out Gross Profit / Gross Loss Purchases Rs. 30,000 , Sales Rs ...
brainly.in
management is a dynamic function and it is (a) intangible ( b ...
brainly.in
Max implemented UI changes 30% faster using Jetpack Compose - Blog
appsmanager.in
Comparing Clustering Methods Applied to Tinnitus within a Bootstrapped ...
mdpi.com
K-Means vs K-Nearest Neighbors (KNN): Understanding the Difference and ...
akstats.in
Circuit Design Software | Electronics & Circuitry Design | Autodesk
autodesk.com
what does loop mean in physics is it ring or disc - Brainly.in
brainly.in
3.__________means repeated execution of a statement. - Brainly.in
brainly.in
for v in [1, 2, 3], will make the loop to execute - Brainly.in
brainly.in
what is the meaning of loop ? - Brainly.in
brainly.in
Our Flag Means Death Season 2 Comes to Max This October
in.ign.com
How to iterate a List ...| JBoss.org Content Archive (Read Only)
developer.jboss.org
Dynamic component Card view Error - Discussion - Android Builder Community
community.androidbuilder.in
what does loop mean in physics is it ring or disc - Brainly.in
brainly.in
LEGEEON Blackout US Navy Seals Insignia DEVGRU SOCOM Morale Tactical ...
desertcart.in
Let five geometric means are inserted between 32/3 and 243/2then find ...
brainly.in
Introduction to K-means Clustering - Data Clustering Algorithms | T/DG ...
blog.thedigitalgroup.com
Buy Good Energy: The Surprising Connection Between Metabolism and ...
amazon.in
US Military To Deploy Navy Ships, USS Gerald R Ford Closer To Israel To ...
timesnownews.com
what is subtotal what is subtotal what is subtotal - Brainly.in
brainly.in
V Band Clamp With 2 Segment / 3 Segment / 4 Segment, Twin Bolts Clamp
tboltclamp.in
Air Transportation Poster | Display Posters
twinkl.co.in
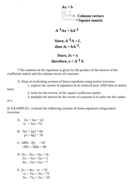
18PB - Pp = 87 -2PB + 36PP =98 - Brainly.in
brainly.in
K-Means Clustering Algorithm – What Is It and Why Does It Matter?
nvidia.com
Virtual Labs
fab-coep.vlabs.ac.in
Inoculating Loops, Needles, and Scrapers from Cole-Parmer India
coleparmer.in
Write a menu driven program in python to convert the given temperature ...
brainly.in
Two men carry a weight of 2 kn by means of two ropes fixed to the ...
brainly.in
Top Darjeeling Tour Packages with Price - Hello Travel Buzz
hellotravel.com
2023 Honda Civic Type R unveiled as the most powerful model in 30 years ...
overdrive.in
Maruti Wagon R Price, Specs, Images, Colours & Reviews
autovista.in
Chart Means of Communication
spectrumchart.com
LEGEEON Blackout US Navy Seals Insignia DEVGRU SOCOM Morale Tactical ...
desertcart.in
8 Best Things To Do In Isle Of Skye For An Amazing 2025 Holiday
traveltriangle.com
Score Kheema Pav, Pepper Chicken & Great Coffee At This Classic ...
lbb.in
Amazon.in: R. J. Palacio: books, biography, latest update
amazon.in
why is ROM called permanent memory - Brainly.in
brainly.in
Billion-Dollar Bank Says It May Freeze, Terminate Accounts Sending ...
cryptopanic.com
13 'Warehouses perform many functions.' Explain briefly any three such ...
brainly.in
5 Sneakers Under INR. 2000 you need to buy
mensxp.com
An adventurous honeymoon trip to Sikkim & Darjeeling
traveltriangle.com
Two circle of radius 10 m intersect each other such thatthe distance ...
brainly.in
Wintrobe's Clinical Hematology eBook : Greer, John P., Arber, Daniel A ...
amazon.in
Why the Pro Bowl means so much to first-timers like Justin Herbert ...
espn.in
Best Watches For Men: 7 Super Funky Watches Under Rs 1500 You Need In ...
mensxp.com
10 Places to visit Chennai that will showcase the real India
mistay.in
Go on number 3 &4 Note! Mark you brainliest if you answer this ...
brainly.in
Buy Apple Watch Series 8 [GPS 45mm] Smart Watch w/ Silver Aluminum Case ...
ubuy.co.in
What is computer virus and explain types of computer virus - Brainly.in
brainly.in
Unlimited Cocktails And Drinks In Andheri | LBB, Mumbai
lbb.in
HOPPLÖS chopping board, green, 24x15 cm (9 ½x6") - IKEA
ikea.com
draw pictures of five means of electronic and mass communication ...
brainly.in
Do we can change i++ default value which is one to any other ...
brainly.in
Modes of Transport Roadway, Railway, Waterway and Airway
adda247.com
Working capital turnover ratio - Brainly.in
brainly.in
Q.4 a) Compare K-means with K-Medoids algorithms for clustering with ...
brainly.in
What is computer virus and explain types of computer virus - Brainly.in
brainly.in
रेलवे में CC का मतलब क्या होता है | CC Means in Train
avsahpaathi.in
HOPPLÖS Chopping board, green - IKEA
ikea.com
Ques.1 "Advertising aims at building up of positive attitude and a long ...
brainly.in
Sentinel Controlled Loops
bitdeploy.in
HOW TO PRINT THIS PATTERN? 1,22,333,4444,55555 LEARN THIS CONCEPT IN ...
programingwizards.blogspot.com
Disney Mickey Mouse X Keith Haring Collection By Swatch
watchtime.in
Breaking: Collegium Unanimously Agrees To Re-iterate The Recommendation ...
livelaw.in
GrammarThe girl _____ (playing/will play/was playing) in the park when ...
brainly.in
Related Searches
INR Blood Test Machine
INR Meaning
Elevated INR
INR Range
Blood INR Chart
High INR
PT/INR Test
Low INR Meaning
INR Ratio
Normal INR
PT/INR Labs
INR Values
INR Form
INR Adjustment Chart
Coumadin INR Levels Chart
INR Meaning Medical
Normal Prothrombin Time
INR Times
Isi INR
What Does INR of 6 Mean
Elevated INR Treatment
INR Diagram
Therapeutic INR
INR vs Isi
INR Lab Value
PT/INR Testing
INR Definition
INR Medical Term
What Is INR
INR Medical Abbreviation
aPTT Normal Range
INR Monitoring
INR Full Form
INR Warfarin Dosing
Lab Values Nursing
INR Calculation
INR Interpretation
INR Numbers
INR Medicine
International Normalized Ratio INR
INR Equation
PT/INR Shorthand
INR Formula
INR and Exercise
PT/INR Results
INR Goals
INR Index
Calculate INR
PT/INR Conversion Chart
Increased Prothrombin Time
Search
×
Search
Loading...
No suggestions found